Номер 13.5, страница 74 - гдз по алгебре 10 класс сборник задач Арефьева, Пирютко
Авторы: Арефьева И. Г., Пирютко О. Н.
Тип: Сборник задач
Издательство: Народная асвета
Год издания: 2020 - 2026
Уровень обучения: базовый и повышенный
Цвет обложки: белый, голубой с графиком
Допущено Министерством образования Республики Беларусь
Популярные ГДЗ в 10 классе
Глава 3. Тригонометрия. Параграф 13. Тригонометрические уравнения. Тригонометрические неравенства - номер 13.5, страница 74.
№13.5 (с. 74)
Условие. №13.5 (с. 74)
скриншот условия
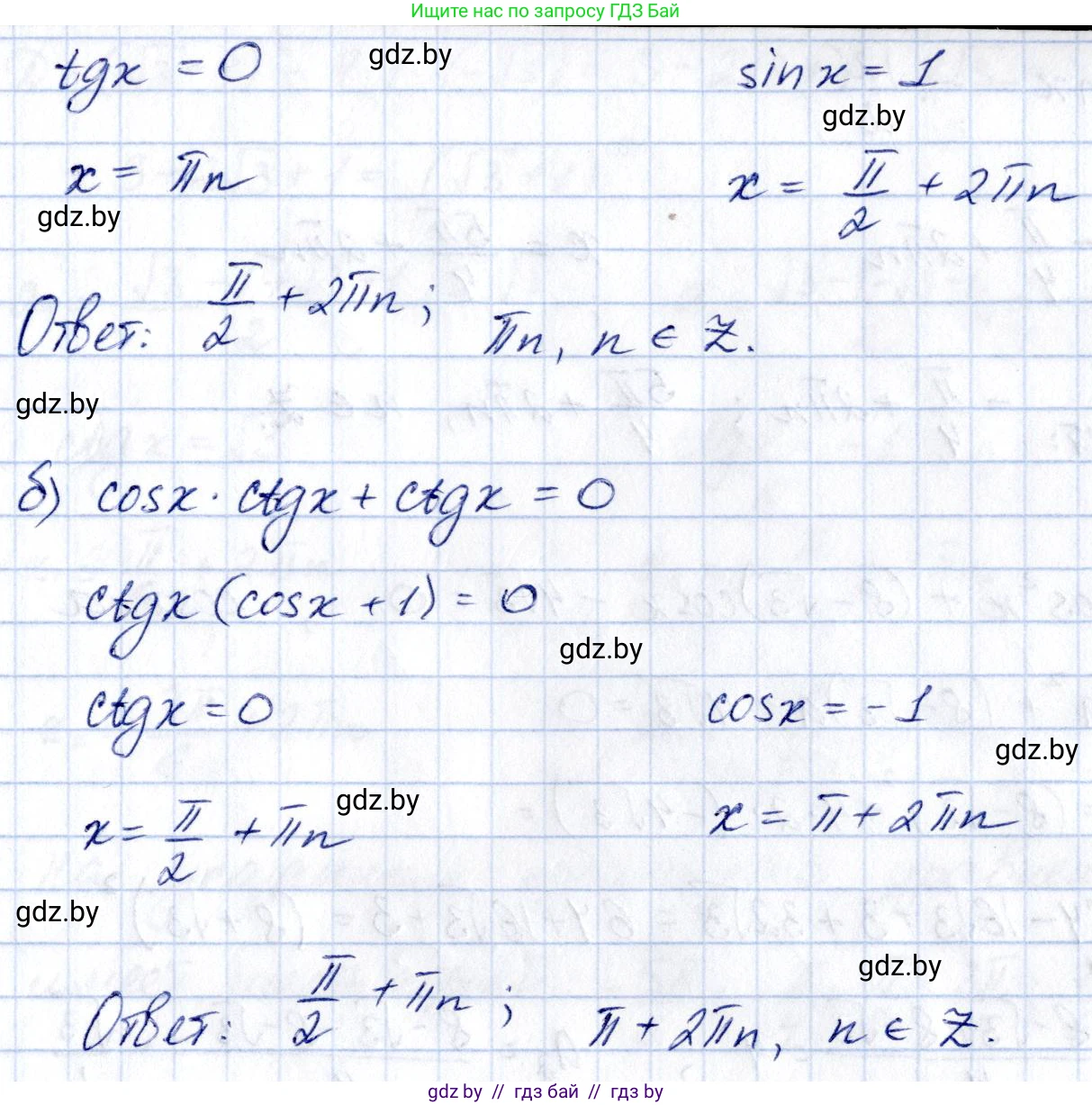
13.5. Решите уравнение:
а) $\sin x \operatorname{tg} x - \operatorname{tg} x = 0$;
б) $\cos x \operatorname{ctg} x + \operatorname{ctg} x = 0$.
Решение. №13.5 (с. 74)
Решение 2. №13.5 (с. 74)
а) Решим уравнение $ \sin x \tg x - \tg x = 0 $.
Сначала определим область допустимых значений (ОДЗ). Функция $ \tg x = \frac{\sin x}{\cos x} $ определена, когда знаменатель не равен нулю, то есть $ \cos x \neq 0 $. Это означает, что $ x \neq \frac{\pi}{2} + \pi k $, где $ k \in \mathbb{Z} $.
Теперь решим само уравнение. Вынесем общий множитель $ \tg x $ за скобки:
$ \tg x (\sin x - 1) = 0 $
Произведение равно нулю тогда и только тогда, когда хотя бы один из множителей равен нулю, а другие при этом имеют смысл. Рассмотрим два случая:
1) $ \tg x = 0 $
Решением этого уравнения является серия корней $ x = \pi n $, где $ n \in \mathbb{Z} $.
Проверим, удовлетворяют ли эти корни ОДЗ. Для $ x = \pi n $, $ \cos(\pi n) = (-1)^n $. Так как $ (-1)^n $ никогда не равно нулю, все значения этой серии входят в ОДЗ и являются решениями исходного уравнения.
2) $ \sin x - 1 = 0 $
$ \sin x = 1 $
Решением этого уравнения является серия корней $ x = \frac{\pi}{2} + 2\pi m $, где $ m \in \mathbb{Z} $.
Однако эти значения не входят в ОДЗ, так как при $ x = \frac{\pi}{2} + 2\pi m $ значение $ \cos x $ равно нулю, и, следовательно, тангенс не определен. Значит, эти значения не являются корнями исходного уравнения.
Объединяя результаты, получаем итоговое решение.
Ответ: $ x = \pi n, n \in \mathbb{Z} $.
б) Решим уравнение $ \cos x \ctg x + \ctg x = 0 $.
Определим область допустимых значений (ОДЗ). Функция $ \ctg x = \frac{\cos x}{\sin x} $ определена, когда ее знаменатель не равен нулю, то есть $ \sin x \neq 0 $. Это означает, что $ x \neq \pi k $, где $ k \in \mathbb{Z} $.
Вынесем общий множитель $ \ctg x $ за скобки:
$ \ctg x (\cos x + 1) = 0 $
Рассмотрим два случая, когда произведение равно нулю:
1) $ \ctg x = 0 $
Это уравнение равносильно уравнению $ \cos x = 0 $ (при условии $ \sin x \neq 0 $).
Решением уравнения $ \cos x = 0 $ является серия корней $ x = \frac{\pi}{2} + \pi n $, где $ n \in \mathbb{Z} $.
Проверим, входят ли эти значения в ОДЗ. При $ x = \frac{\pi}{2} + \pi n $, $ \sin x = \sin(\frac{\pi}{2} + \pi n) = (-1)^n $. Это значение не равно нулю, следовательно, все корни этой серии входят в ОДЗ и являются решениями.
2) $ \cos x + 1 = 0 $
$ \cos x = -1 $
Решением этого уравнения является серия корней $ x = \pi + 2\pi m = (2m+1)\pi $, где $ m \in \mathbb{Z} $.
Эти значения не входят в ОДЗ, так как при $ x = (2m+1)\pi $ значение $ \sin x $ равно нулю, и, следовательно, котангенс не определен. Значит, эти значения не являются корнями исходного уравнения.
Таким образом, решением уравнения являются только значения из первого случая.
Ответ: $ x = \frac{\pi}{2} + \pi n, n \in \mathbb{Z} $.
Другие задания:
Помогло решение? Оставьте отзыв в комментариях ниже.
Присоединяйтесь к Телеграм-группе @gdz_by_belarus
ПрисоединитьсяМы подготовили для вас ответ c подробным объяснением домашего задания по алгебре за 10 класс, для упражнения номер 13.5 расположенного на странице 74 к сборнику задач 2020 года издания для учащихся школ и гимназий.
Теперь на нашем сайте ГДЗ.ТОП вы всегда легко и бесплатно найдёте условие с правильным ответом на вопрос «Как решить ДЗ» и «Как сделать» задание по алгебре к упражнению №13.5 (с. 74), авторов: Арефьева (Ирина Глебовна), Пирютко (Ольга Николаевна), базовый и повышенный уровень обучения учебного пособия издательства Народная асвета.