Номер 16.16, страница 91 - гдз по алгебре 10 класс сборник задач Арефьева, Пирютко
Авторы: Арефьева И. Г., Пирютко О. Н.
Тип: Сборник задач
Издательство: Народная асвета
Год издания: 2020 - 2026
Уровень обучения: базовый и повышенный
Цвет обложки: белый, голубой с графиком
Допущено Министерством образования Республики Беларусь
Популярные ГДЗ в 10 классе
Глава 3. Тригонометрия. Параграф 16. Формулы двойного аргумента - номер 16.16, страница 91.
№16.16 (с. 91)
Условие. №16.16 (с. 91)
скриншот условия
16.16. Решите уравнение:
a) $12\sin x - \sin 2x = 12 + 12\cos x$;
б) $7 + \sin 2x = 7\sin x + 7\cos x$.
Решение. №16.16 (с. 91)
Решение 2. №16.16 (с. 91)
а) $12\sin x - \sin 2x = 12 + 12\cos x$
Для решения данного уравнения используем формулу синуса двойного угла: $\sin 2x = 2\sin x \cos x$.
$12\sin x - 2\sin x \cos x = 12 + 12\cos x$
Перенесем все члены уравнения в одну сторону и сгруппируем их:
$12\sin x - 12\cos x - 12 - 2\sin x \cos x = 0$
$12(\sin x - \cos x) - 12 - 2\sin x \cos x = 0$
Это уравнение удобно решать с помощью введения новой переменной. Пусть $t = \sin x - \cos x$.
Возведем обе части этого равенства в квадрат:
$t^2 = (\sin x - \cos x)^2 = \sin^2 x - 2\sin x \cos x + \cos^2 x$
Используя основное тригонометрическое тождество $\sin^2 x + \cos^2 x = 1$, получаем:
$t^2 = 1 - 2\sin x \cos x$
Отсюда выразим $2\sin x \cos x$: $2\sin x \cos x = 1 - t^2$.
Теперь подставим $t$ и выражение для $2\sin x \cos x$ в уравнение $12(\sin x - \cos x) - 12 - 2\sin x \cos x = 0$:
$12t - 12 - (1 - t^2) = 0$
$12t - 12 - 1 + t^2 = 0$
Получили квадратное уравнение относительно $t$: $t^2 + 12t - 13 = 0$.
Найдем корни этого уравнения по теореме Виета. Сумма корней равна $-12$, а произведение равно $-13$. Корни: $t_1 = 1$ и $t_2 = -13$.
Теперь выполним обратную замену для каждого корня.
Случай 1: $t = 1$.
$\sin x - \cos x = 1$.
Умножим обе части уравнения на $\frac{\sqrt{2}}{2}$ (или разделим на $\sqrt{2}$):
$\frac{\sqrt{2}}{2}\sin x - \frac{\sqrt{2}}{2}\cos x = \frac{\sqrt{2}}{2}$
Используя формулу синуса разности $\sin(\alpha - \beta) = \sin\alpha\cos\beta - \cos\alpha\sin\beta$ и зная, что $\cos(\frac{\pi}{4}) = \sin(\frac{\pi}{4}) = \frac{\sqrt{2}}{2}$, получаем:
$\sin x \cos(\frac{\pi}{4}) - \cos x \sin(\frac{\pi}{4}) = \frac{\sqrt{2}}{2}$
$\sin(x - \frac{\pi}{4}) = \frac{\sqrt{2}}{2}$
Отсюда получаем две серии решений:
1) $x - \frac{\pi}{4} = \frac{\pi}{4} + 2\pi k \implies x = \frac{\pi}{2} + 2\pi k$, где $k \in \mathbb{Z}$.
2) $x - \frac{\pi}{4} = \pi - \frac{\pi}{4} + 2\pi k \implies x - \frac{\pi}{4} = \frac{3\pi}{4} + 2\pi k \implies x = \pi + 2\pi k$, где $k \in \mathbb{Z}$.
Случай 2: $t = -13$.
$\sin x - \cos x = -13$.
Известно, что множество значений функции $y = a\sin x + b\cos x$ есть отрезок $[-\sqrt{a^2+b^2}, \sqrt{a^2+b^2}]$. Для функции $y = \sin x - \cos x$ область значений — это $[-\sqrt{1^2+(-1)^2}, \sqrt{1^2+(-1)^2}]$, то есть $[-\sqrt{2}, \sqrt{2}]$.
Поскольку $-13$ не принадлежит отрезку $[-\sqrt{2}, \sqrt{2}]$, уравнение $\sin x - \cos x = -13$ не имеет решений.
Таким образом, решениями исходного уравнения являются только те, что получены в первом случае.
Ответ: $x = \frac{\pi}{2} + 2\pi k, \quad x = \pi + 2\pi k, \quad k \in \mathbb{Z}$.
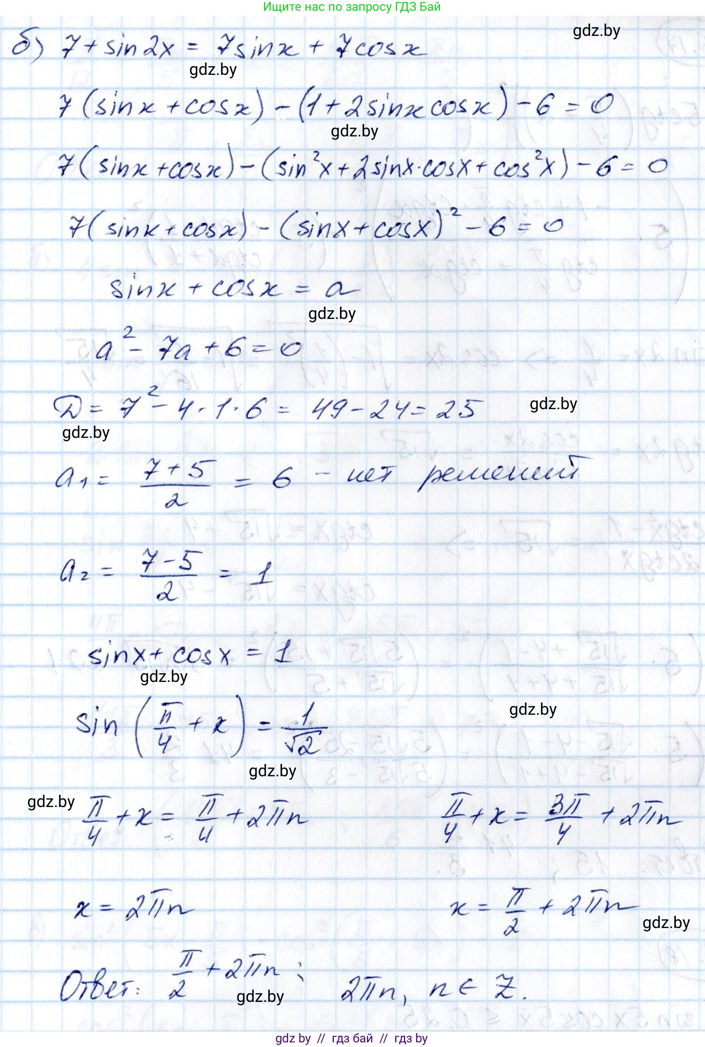
б) $7 + \sin 2x = 7\sin x + 7\cos x$
Перепишем уравнение, сгруппировав слагаемые:
$\sin 2x + 7 = 7(\sin x + \cos x)$
Данное уравнение решается аналогично предыдущему, с помощью введения замены. Пусть $t = \sin x + \cos x$.
Возведем это равенство в квадрат:
$t^2 = (\sin x + \cos x)^2 = \sin^2 x + 2\sin x \cos x + \cos^2 x$
Так как $\sin^2 x + \cos^2 x = 1$ и $2\sin x \cos x = \sin 2x$, получаем:
$t^2 = 1 + \sin 2x$
Отсюда выражаем $\sin 2x = t^2 - 1$.
Подставим $t$ и выражение для $\sin 2x$ в уравнение $\sin 2x + 7 = 7(\sin x + \cos x)$:
$(t^2 - 1) + 7 = 7t$
$t^2 + 6 = 7t$
Получили квадратное уравнение относительно $t$: $t^2 - 7t + 6 = 0$.
Найдем корни по теореме Виета. Сумма корней равна $7$, произведение равно $6$. Корни: $t_1 = 1$ и $t_2 = 6$.
Выполним обратную замену для каждого корня.
Случай 1: $t = 1$.
$\sin x + \cos x = 1$.
Разделим обе части на $\sqrt{2}$:
$\frac{1}{\sqrt{2}}\sin x + \frac{1}{\sqrt{2}}\cos x = \frac{1}{\sqrt{2}}$
Используя формулу синуса суммы $\sin(\alpha + \beta) = \sin\alpha\cos\beta + \cos\alpha\sin\beta$ и зная, что $\cos(\frac{\pi}{4}) = \sin(\frac{\pi}{4}) = \frac{\sqrt{2}}{2}$, получаем:
$\sin x \cos(\frac{\pi}{4}) + \cos x \sin(\frac{\pi}{4}) = \frac{\sqrt{2}}{2}$
$\sin(x + \frac{\pi}{4}) = \frac{\sqrt{2}}{2}$
Отсюда получаем две серии решений:
1) $x + \frac{\pi}{4} = \frac{\pi}{4} + 2\pi n \implies x = 2\pi n$, где $n \in \mathbb{Z}$.
2) $x + \frac{\pi}{4} = \pi - \frac{\pi}{4} + 2\pi n \implies x + \frac{\pi}{4} = \frac{3\pi}{4} + 2\pi n \implies x = \frac{\pi}{2} + 2\pi n$, где $n \in \mathbb{Z}$.
Случай 2: $t = 6$.
$\sin x + \cos x = 6$.
Множество значений функции $y = \sin x + \cos x$ есть отрезок $[-\sqrt{1^2+1^2}, \sqrt{1^2+1^2}]$, то есть $[-\sqrt{2}, \sqrt{2}]$.
Поскольку $6$ не принадлежит отрезку $[-\sqrt{2}, \sqrt{2}]$, уравнение $\sin x + \cos x = 6$ не имеет решений.
Следовательно, решениями исходного уравнения являются только те, что получены в первом случае.
Ответ: $x = 2\pi n, \quad x = \frac{\pi}{2} + 2\pi n, \quad n \in \mathbb{Z}$.
Другие задания:
Помогло решение? Оставьте отзыв в комментариях ниже.
Присоединяйтесь к Телеграм-группе @gdz_by_belarus
ПрисоединитьсяМы подготовили для вас ответ c подробным объяснением домашего задания по алгебре за 10 класс, для упражнения номер 16.16 расположенного на странице 91 к сборнику задач 2020 года издания для учащихся школ и гимназий.
Теперь на нашем сайте ГДЗ.ТОП вы всегда легко и бесплатно найдёте условие с правильным ответом на вопрос «Как решить ДЗ» и «Как сделать» задание по алгебре к упражнению №16.16 (с. 91), авторов: Арефьева (Ирина Глебовна), Пирютко (Ольга Николаевна), базовый и повышенный уровень обучения учебного пособия издательства Народная асвета.