Номер 8, страница 4 - гдз по алгебре 10 класс учебник Арефьева, Пирютко

Алгебра, 10 класс Учебник, авторы: Арефьева Ирина Глебовна, Пирютко Ольга Николаевна, издательство Народная асвета, Минск, 2019, голубого цвета

Авторы: Арефьева И. Г., Пирютко О. Н.

Тип: Учебник

Издательство: Народная асвета

Год издания: 2019 - 2026

Цвет обложки: голубой с графиком

Допущено Министерством образования Республики Беларусь

Популярные ГДЗ в 10 классе

Повторение курса алгебры 7—9-х классов - номер 8, страница 4.

№8 (с. 4)
Условие. №8 (с. 4)
скриншот условия
Алгебра, 10 класс Учебник, авторы: Арефьева Ирина Глебовна, Пирютко Ольга Николаевна, издательство Народная асвета, Минск, 2019, голубого цвета, страница 4, номер 8, Условие

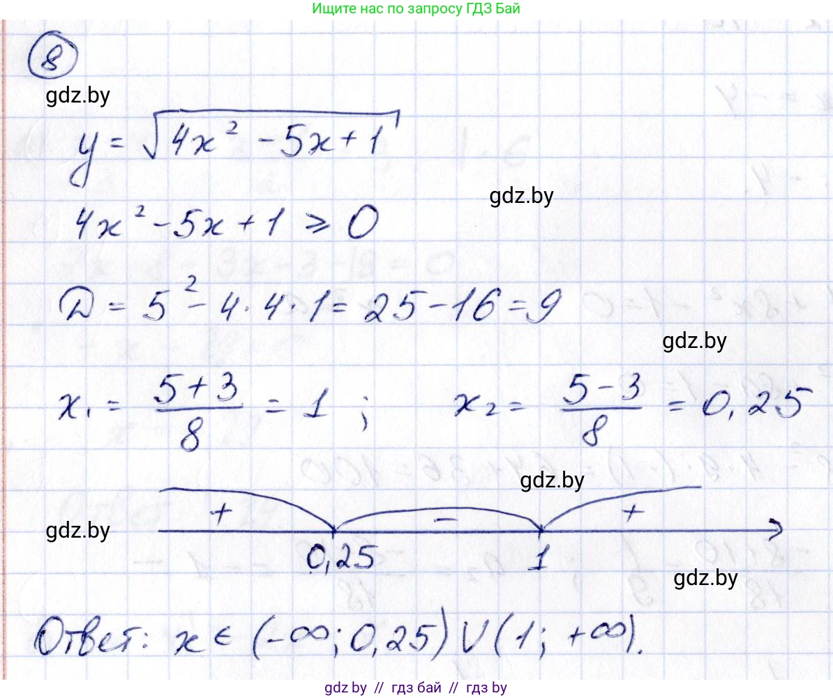
8. Найдите область определения функции $y = \sqrt{4x^2 - 5x + 1}$.

Решение. №8 (с. 4)
Алгебра, 10 класс Учебник, авторы: Арефьева Ирина Глебовна, Пирютко Ольга Николаевна, издательство Народная асвета, Минск, 2019, голубого цвета, страница 4, номер 8, Решение
Решение 2. №8 (с. 4)

Область определения функции (ОДЗ) $y = \sqrt{4x^2 - 5x + 1}$ находится из условия, что выражение, стоящее под знаком квадратного корня, должно быть неотрицательным. Это приводит к следующему неравенству:

$4x^2 - 5x + 1 \ge 0$

Для решения данного квадратичного неравенства сначала найдем корни соответствующего квадратного уравнения: $4x^2 - 5x + 1 = 0$.

Вычислим дискриминант (D):

$D = b^2 - 4ac = (-5)^2 - 4 \cdot 4 \cdot 1 = 25 - 16 = 9$

Поскольку $D > 0$, уравнение имеет два различных действительных корня:

$x_1 = \frac{-b - \sqrt{D}}{2a} = \frac{5 - \sqrt{9}}{2 \cdot 4} = \frac{5 - 3}{8} = \frac{2}{8} = \frac{1}{4}$

$x_2 = \frac{-b + \sqrt{D}}{2a} = \frac{5 + \sqrt{9}}{2 \cdot 4} = \frac{5 + 3}{8} = \frac{8}{8} = 1$

Графиком функции $f(x) = 4x^2 - 5x + 1$ является парабола, ветви которой направлены вверх, так как старший коэффициент $a = 4 > 0$. Следовательно, неравенство $4x^2 - 5x + 1 \ge 0$ выполняется на промежутках, где парабола находится не ниже оси Ox, то есть для значений $x$, которые меньше или равны меньшему корню ($x \le \frac{1}{4}$), и для значений $x$, которые больше или равны большему корню ($x \ge 1$).

Таким образом, область определения функции есть объединение промежутков $(-\infty; \frac{1}{4}]$ и $[1; +\infty)$.

Ответ: $x \in (-\infty; \frac{1}{4}] \cup [1; +\infty)$

Помогло решение? Оставьте отзыв в комментариях ниже.

Присоединяйтесь к Телеграм-группе @gdz_by_belarus

Присоединиться

Мы подготовили для вас ответ c подробным объяснением домашего задания по алгебре за 10 класс, для упражнения номер 8 расположенного на странице 4 к учебнику 2019 года издания для учащихся школ и гимназий.

Теперь на нашем сайте ГДЗ.ТОП вы всегда легко и бесплатно найдёте условие с правильным ответом на вопрос «Как решить ДЗ» и «Как сделать» задание по алгебре к упражнению №8 (с. 4), авторов: Арефьева (Ирина Глебовна), Пирютко (Ольга Николаевна), учебного пособия издательства Народная асвета.