Номер 1.160, страница 67 - гдз по алгебре 10 класс учебник Арефьева, Пирютко

Алгебра, 10 класс Учебник, авторы: Арефьева Ирина Глебовна, Пирютко Ольга Николаевна, издательство Народная асвета, Минск, 2019, голубого цвета

Авторы: Арефьева И. Г., Пирютко О. Н.

Тип: Учебник

Издательство: Народная асвета

Год издания: 2019 - 2026

Цвет обложки: голубой с графиком

Допущено Министерством образования Республики Беларусь

Популярные ГДЗ в 10 классе

Глава 1. Тригонометрия. Параграф 5. Функции у=sin(x) и y=cos(x). Их свойства и графики - номер 1.160, страница 67.

№1.160 (с. 67)
Условие. №1.160 (с. 67)
скриншот условия
Алгебра, 10 класс Учебник, авторы: Арефьева Ирина Глебовна, Пирютко Ольга Николаевна, издательство Народная асвета, Минск, 2019, голубого цвета, страница 67, номер 1.160, Условие

1.160. Используя свойство периодичности функции $f(x) = \sin x$, найдите:

а) $\sin \frac{13\pi}{6}$;

б) $\sin \frac{19\pi}{3}$;

в) $\sin \frac{17\pi}{4}$;

г) $\sin \frac{13\pi}{2}$.

Верно ли, что числа $-10\pi$; $-4\pi$; $-2\pi$; $2\pi$; $16\pi$; $100\pi$ являются периодами данной функции?

Решение. №1.160 (с. 67)
Алгебра, 10 класс Учебник, авторы: Арефьева Ирина Глебовна, Пирютко Ольга Николаевна, издательство Народная асвета, Минск, 2019, голубого цвета, страница 67, номер 1.160, Решение
Решение 2. №1.160 (с. 67)

Функция $f(x) = \sin x$ является периодической с наименьшим положительным периодом $T = 2\pi$. Это означает, что для любого целого числа $k$ выполняется равенство $\sin(x + 2\pi k) = \sin x$. Мы используем это свойство для упрощения выражений, отбрасывая целое число полных периодов ($2\pi k$).

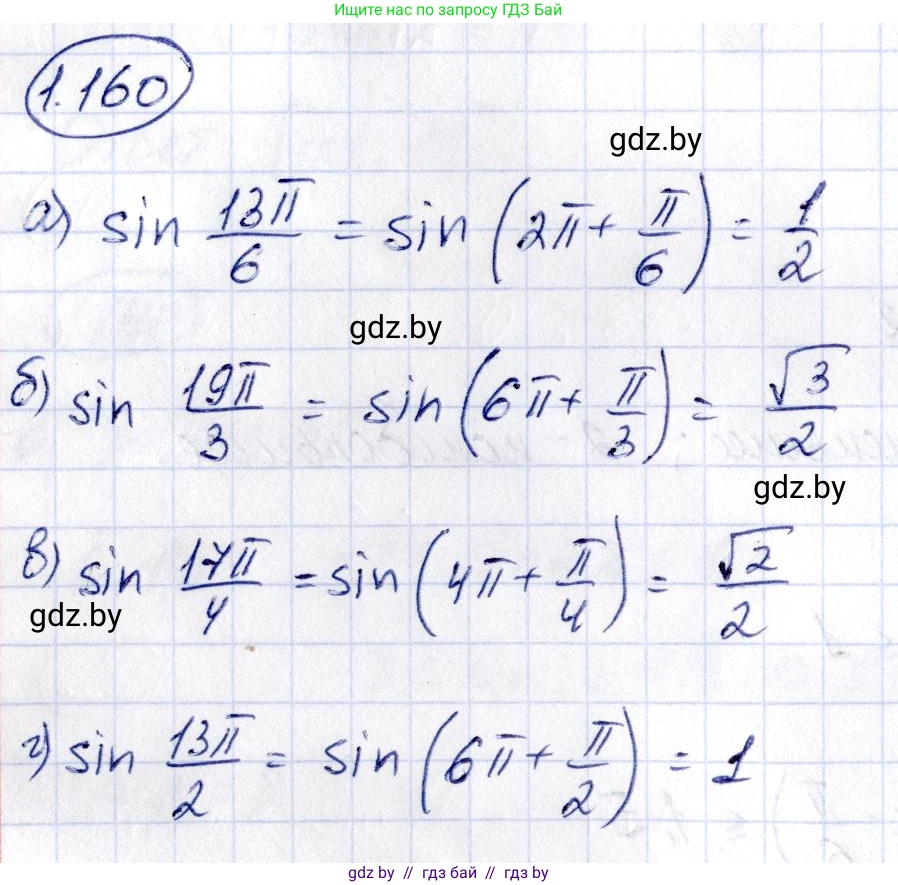
а) Чтобы найти $\sin\frac{13\pi}{6}$, выделим из аргумента целое число периодов. Для этого представим неправильную дробь в виде смешанного числа: $\frac{13}{6} = 2\frac{1}{6}$.
Тогда $\frac{13\pi}{6} = (2 + \frac{1}{6})\pi = \boldsymbol{2}\pi + \frac{\pi}{6}$.
Используя свойство периодичности, отбрасываем $2\pi$ (один период):
$\sin\frac{13\pi}{6} = \sin(2\pi + \frac{\pi}{6}) = \sin\frac{\pi}{6} = \frac{1}{2}$.
Ответ: $\frac{1}{2}$.

б) Чтобы найти $\sin\frac{19\pi}{3}$, выделим целую часть из дроби $\frac{19}{3} = 6\frac{1}{3}$.
Тогда $\frac{19\pi}{3} = (6 + \frac{1}{3})\pi = \boldsymbol{6}\pi + \frac{\pi}{3}$.
Так как $6\pi = 3 \cdot 2\pi$, отбрасываем три полных периода:
$\sin\frac{19\pi}{3} = \sin(6\pi + \frac{\pi}{3}) = \sin\frac{\pi}{3} = \frac{\sqrt{3}}{2}$.
Ответ: $\frac{\sqrt{3}}{2}$.

в) Чтобы найти $\sin\frac{17\pi}{4}$, выделим целую часть из дроби $\frac{17}{4} = 4\frac{1}{4}$.
Тогда $\frac{17\pi}{4} = (4 + \frac{1}{4})\pi = \boldsymbol{4}\pi + \frac{\pi}{4}$.
Так как $4\pi = 2 \cdot 2\pi$, отбрасываем два полных периода:
$\sin\frac{17\pi}{4} = \sin(4\pi + \frac{\pi}{4}) = \sin\frac{\pi}{4} = \frac{\sqrt{2}}{2}$.
Ответ: $\frac{\sqrt{2}}{2}$.

г) Чтобы найти $\sin\frac{13\pi}{2}$, выделим целую часть из дроби $\frac{13}{2} = 6\frac{1}{2}$.
Тогда $\frac{13\pi}{2} = (6 + \frac{1}{2})\pi = \boldsymbol{6}\pi + \frac{\pi}{2}$.
Так как $6\pi = 3 \cdot 2\pi$, отбрасываем три полных периода:
$\sin\frac{13\pi}{2} = \sin(6\pi + \frac{\pi}{2}) = \sin\frac{\pi}{2} = 1$.
Ответ: $1$.


Любое число вида $T = 2\pi k$, где $k$ - любое целое число, не равное нулю ($k \in \mathbb{Z}, k \neq 0$), является периодом функции $f(x) = \sin x$. Проверим, можно ли представить каждое из данных чисел ($-10\pi, -4\pi, -2\pi, 2\pi, 16\pi, 100\pi$) в таком виде:

  • $-10\pi = 2\pi \cdot (-5)$ (здесь $k=-5$, целое)
  • $-4\pi = 2\pi \cdot (-2)$ (здесь $k=-2$, целое)
  • $-2\pi = 2\pi \cdot (-1)$ (здесь $k=-1$, целое)
  • $2\pi = 2\pi \cdot 1$ (здесь $k=1$, целое)
  • $16\pi = 2\pi \cdot 8$ (здесь $k=8$, целое)
  • $100\pi = 2\pi \cdot 50$ (здесь $k=50$, целое)

Так как для каждого числа нашлось соответствующее целое $k$, все они являются периодами функции синус.

Ответ: Да, все перечисленные числа являются периодами функции $f(x) = \sin x$.

Помогло решение? Оставьте отзыв в комментариях ниже.

Присоединяйтесь к Телеграм-группе @gdz_by_belarus

Присоединиться

Мы подготовили для вас ответ c подробным объяснением домашего задания по алгебре за 10 класс, для упражнения номер 1.160 расположенного на странице 67 к учебнику 2019 года издания для учащихся школ и гимназий.

Теперь на нашем сайте ГДЗ.ТОП вы всегда легко и бесплатно найдёте условие с правильным ответом на вопрос «Как решить ДЗ» и «Как сделать» задание по алгебре к упражнению №1.160 (с. 67), авторов: Арефьева (Ирина Глебовна), Пирютко (Ольга Николаевна), учебного пособия издательства Народная асвета.