Номер 1.179, страница 69 - гдз по алгебре 10 класс учебник Арефьева, Пирютко

Алгебра, 10 класс Учебник, авторы: Арефьева Ирина Глебовна, Пирютко Ольга Николаевна, издательство Народная асвета, Минск, 2019, голубого цвета

Авторы: Арефьева И. Г., Пирютко О. Н.

Тип: Учебник

Издательство: Народная асвета

Год издания: 2019 - 2026

Цвет обложки: голубой с графиком

Допущено Министерством образования Республики Беларусь

Популярные ГДЗ в 10 классе

Глава 1. Тригонометрия. Параграф 5. Функции у=sin(x) и y=cos(x). Их свойства и графики - номер 1.179, страница 69.

№1.179 (с. 69)
Условие. №1.179 (с. 69)
скриншот условия
Алгебра, 10 класс Учебник, авторы: Арефьева Ирина Глебовна, Пирютко Ольга Николаевна, издательство Народная асвета, Минск, 2019, голубого цвета, страница 69, номер 1.179, Условие

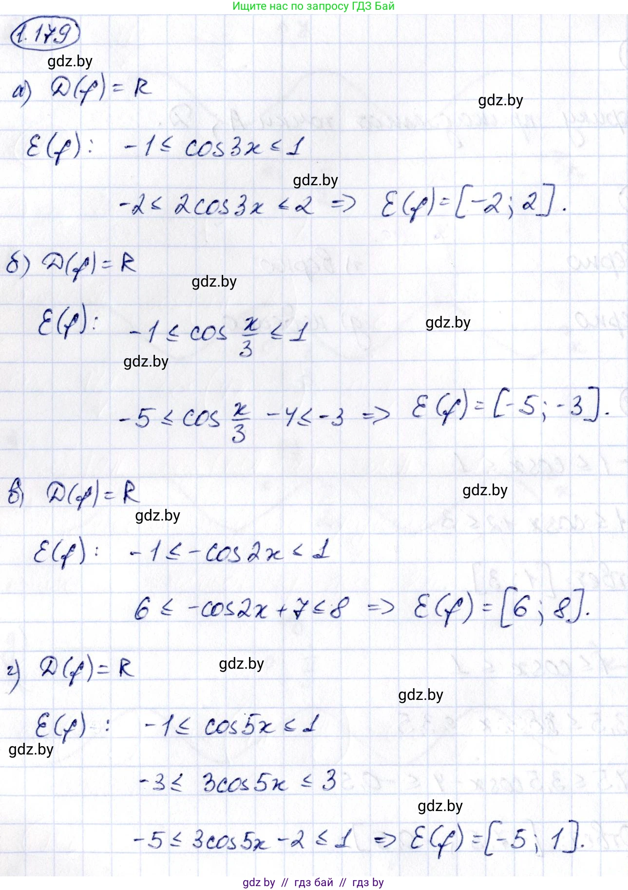
1.179. Найдите область определения и множество значений функции:

а) $f(x) = 2\cos3x$;

б) $g(x) = \cos\frac{x}{3} - 4$;

в) $h(x) = -\cos2x + 7$;

г) $p(x) = 3\cos5x - 2$.

Решение. №1.179 (с. 69)
Алгебра, 10 класс Учебник, авторы: Арефьева Ирина Глебовна, Пирютко Ольга Николаевна, издательство Народная асвета, Минск, 2019, голубого цвета, страница 69, номер 1.179, Решение
Решение 2. №1.179 (с. 69)

Для нахождения области определения (D) и множества значений (E) для каждой функции, мы будем исходить из свойств основной функции косинуса $y = \cos(x)$.

Область определения (D): Функция $y = \cos(x)$ определена для всех действительных чисел $x$. Любые линейные преобразования аргумента (вида $kx+b$) и аффинные преобразования самой функции (вида $A \cdot f(x) + C$) не изменяют область определения. Таким образом, для всех представленных функций область определения — это множество всех действительных чисел, $R$.

Множество значений (E): Значения функции $y = \cos(x)$ всегда находятся в пределах отрезка $[-1, 1]$. Исходя из этого, мы найдем множество значений для каждой из заданных функций, последовательно применяя преобразования.

а) $f(x) = 2\cos3x$

Область определения: $D(f) = (-\infty; +\infty)$, так как выражение $3x$ определено для любого $x$.

Множество значений: Исходим из того, что $-1 \le \cos(3x) \le 1$. Умножим все части неравенства на 2: $$2 \cdot (-1) \le 2\cos(3x) \le 2 \cdot 1$$ $$-2 \le f(x) \le 2$$ Следовательно, множество значений функции $E(f) = [-2, 2]$.

Ответ: область определения $D(f) = R$, множество значений $E(f) = [-2, 2]$.

б) $g(x) = \cos\frac{x}{3} - 4$

Область определения: $D(g) = (-\infty; +\infty)$, так как выражение $\frac{x}{3}$ определено для любого $x$.

Множество значений: Исходим из того, что $-1 \le \cos\frac{x}{3} \le 1$. Вычтем 4 из всех частей неравенства: $$-1 - 4 \le \cos\frac{x}{3} - 4 \le 1 - 4$$ $$-5 \le g(x) \le -3$$ Следовательно, множество значений функции $E(g) = [-5, -3]$.

Ответ: область определения $D(g) = R$, множество значений $E(g) = [-5, -3]$.

в) $h(x) = -\cos2x + 7$

Область определения: $D(h) = (-\infty; +\infty)$, так как выражение $2x$ определено для любого $x$.

Множество значений: Исходим из того, что $-1 \le \cos(2x) \le 1$. Умножим все части неравенства на -1, изменив знаки неравенства на противоположные: $$1 \ge -\cos(2x) \ge -1$$ Что эквивалентно записи: $$-1 \le -\cos(2x) \le 1$$ Прибавим 7 ко всем частям неравенства: $$-1 + 7 \le -\cos(2x) + 7 \le 1 + 7$$ $$6 \le h(x) \le 8$$ Следовательно, множество значений функции $E(h) = [6, 8]$.

Ответ: область определения $D(h) = R$, множество значений $E(h) = [6, 8]$.

г) $p(x) = 3\cos5x - 2$

Область определения: $D(p) = (-\infty; +\infty)$, так как выражение $5x$ определено для любого $x$.

Множество значений: Исходим из того, что $-1 \le \cos(5x) \le 1$. Умножим все части неравенства на 3: $$3 \cdot (-1) \le 3\cos(5x) \le 3 \cdot 1$$ $$-3 \le 3\cos(5x) \le 3$$ Вычтем 2 из всех частей неравенства: $$-3 - 2 \le 3\cos(5x) - 2 \le 3 - 2$$ $$-5 \le p(x) \le 1$$ Следовательно, множество значений функции $E(p) = [-5, 1]$.

Ответ: область определения $D(p) = R$, множество значений $E(p) = [-5, 1]$.

Помогло решение? Оставьте отзыв в комментариях ниже.

Присоединяйтесь к Телеграм-группе @gdz_by_belarus

Присоединиться

Мы подготовили для вас ответ c подробным объяснением домашего задания по алгебре за 10 класс, для упражнения номер 1.179 расположенного на странице 69 к учебнику 2019 года издания для учащихся школ и гимназий.

Теперь на нашем сайте ГДЗ.ТОП вы всегда легко и бесплатно найдёте условие с правильным ответом на вопрос «Как решить ДЗ» и «Как сделать» задание по алгебре к упражнению №1.179 (с. 69), авторов: Арефьева (Ирина Глебовна), Пирютко (Ольга Николаевна), учебного пособия издательства Народная асвета.