Номер 1.282, страница 85 - гдз по алгебре 10 класс учебник Арефьева, Пирютко

Алгебра, 10 класс Учебник, авторы: Арефьева Ирина Глебовна, Пирютко Ольга Николаевна, издательство Народная асвета, Минск, 2019, голубого цвета

Авторы: Арефьева И. Г., Пирютко О. Н.

Тип: Учебник

Издательство: Народная асвета

Год издания: 2019 - 2026

Цвет обложки: голубой с графиком

Допущено Министерством образования Республики Беларусь

Популярные ГДЗ в 10 классе

Глава 1. Тригонометрия. Параграф 6. Функции y=tg(x) и y=ctg(x). Их свойства и графики - номер 1.282, страница 85.

№1.282 (с. 85)
Условие. №1.282 (с. 85)
скриншот условия
Алгебра, 10 класс Учебник, авторы: Арефьева Ирина Глебовна, Пирютко Ольга Николаевна, издательство Народная асвета, Минск, 2019, голубого цвета, страница 85, номер 1.282, Условие

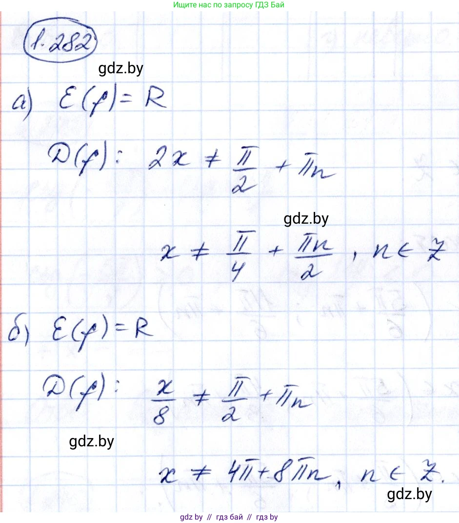
1.282. Найдите область определения и множество значений функции:

a) $y = \text{tg}2x$;

б) $y = \text{tg}\frac{x}{8}$.

Решение. №1.282 (с. 85)
Алгебра, 10 класс Учебник, авторы: Арефьева Ирина Глебовна, Пирютко Ольга Николаевна, издательство Народная асвета, Минск, 2019, голубого цвета, страница 85, номер 1.282, Решение
Решение 2. №1.282 (с. 85)

а) $y = \tg(2x)$

1. Область определения ($D(y)$)

Функция тангенса $y = \tg(\alpha)$ определена для всех значений своего аргумента $\alpha$, за исключением тех, в которых косинус равен нулю. Это происходит, когда $\alpha = \frac{\pi}{2} + \pi k$, где $k$ — любое целое число ($k \in \mathbb{Z}$).

Для функции $y = \tg(2x)$ аргументом является $\alpha = 2x$. Следовательно, область определения находится из условия:

$2x \neq \frac{\pi}{2} + \pi k, \quad k \in \mathbb{Z}$

Чтобы найти $x$, разделим обе части неравенства на 2:

$x \neq \frac{1}{2} \cdot \left(\frac{\pi}{2} + \pi k\right)$

$x \neq \frac{\pi}{4} + \frac{\pi k}{2}, \quad k \in \mathbb{Z}$

Таким образом, функция определена для всех действительных чисел $x$, кроме точек вида $\frac{\pi}{4} + \frac{\pi k}{2}$.

2. Множество значений ($E(y)$)

Множеством значений стандартной функции тангенса $y = \tg(x)$ является множество всех действительных чисел, то есть $(-\infty; +\infty)$. Преобразование аргумента (умножение на 2) приводит к сжатию графика функции вдоль оси абсцисс, изменяя её период, но не влияет на множество значений, которые она может принимать.

Следовательно, множество значений функции $y = \tg(2x)$ также совпадает с множеством всех действительных чисел.

Ответ: Область определения: $x \neq \frac{\pi}{4} + \frac{\pi k}{2}, k \in \mathbb{Z}$. Множество значений: $y \in (-\infty; +\infty)$.

б) $y = \tg\frac{x}{8}$

1. Область определения ($D(y)$)

Аналогично предыдущему случаю, аргумент функции тангенса не должен принимать значения $\frac{\pi}{2} + \pi k$ для целых $k$.

Для функции $y = \tg\frac{x}{8}$ аргументом является $\alpha = \frac{x}{8}$. Условие для области определения:

$\frac{x}{8} \neq \frac{\pi}{2} + \pi k, \quad k \in \mathbb{Z}$

Умножив обе части неравенства на 8, находим $x$:

$x \neq 8 \cdot \left(\frac{\pi}{2} + \pi k\right)$

$x \neq 4\pi + 8\pi k, \quad k \in \mathbb{Z}$

Таким образом, функция определена для всех действительных чисел $x$, кроме точек вида $4\pi + 8\pi k$.

2. Множество значений ($E(y)$)

Преобразование аргумента (деление на 8) приводит к растяжению графика функции вдоль оси абсцисс, изменяя её период, но не влияет на множество значений. Множество значений функции тангенса всегда остаётся множеством всех действительных чисел.

Следовательно, множество значений функции $y = \tg\frac{x}{8}$ — это $(-\infty; +\infty)$.

Ответ: Область определения: $x \neq 4\pi + 8\pi k, k \in \mathbb{Z}$. Множество значений: $y \in (-\infty; +\infty)$.

Помогло решение? Оставьте отзыв в комментариях ниже.

Присоединяйтесь к Телеграм-группе @gdz_by_belarus

Присоединиться

Мы подготовили для вас ответ c подробным объяснением домашего задания по алгебре за 10 класс, для упражнения номер 1.282 расположенного на странице 85 к учебнику 2019 года издания для учащихся школ и гимназий.

Теперь на нашем сайте ГДЗ.ТОП вы всегда легко и бесплатно найдёте условие с правильным ответом на вопрос «Как решить ДЗ» и «Как сделать» задание по алгебре к упражнению №1.282 (с. 85), авторов: Арефьева (Ирина Глебовна), Пирютко (Ольга Николаевна), учебного пособия издательства Народная асвета.