Номер 1.328, страница 98 - гдз по алгебре 10 класс учебник Арефьева, Пирютко

Алгебра, 10 класс Учебник, авторы: Арефьева Ирина Глебовна, Пирютко Ольга Николаевна, издательство Народная асвета, Минск, 2019, голубого цвета

Авторы: Арефьева И. Г., Пирютко О. Н.

Тип: Учебник

Издательство: Народная асвета

Год издания: 2019 - 2026

Цвет обложки: голубой с графиком

Допущено Министерством образования Республики Беларусь

Популярные ГДЗ в 10 классе

Глава 1. Тригонометрия. Параграф 7. Арксинус, арккосинус, арктангенс и арккотангенс числа - номер 1.328, страница 98.

№1.328 (с. 98)
Условие. №1.328 (с. 98)
скриншот условия
Алгебра, 10 класс Учебник, авторы: Арефьева Ирина Глебовна, Пирютко Ольга Николаевна, издательство Народная асвета, Минск, 2019, голубого цвета, страница 98, номер 1.328, Условие

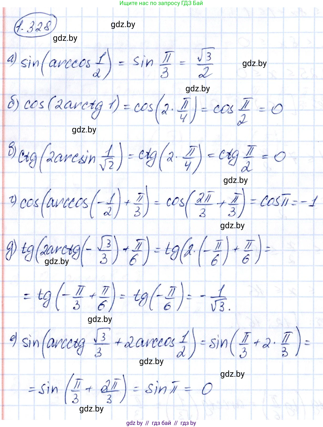
1.328. Вычислите значение тригонометрической функции, используя значения arcsin a, arccos a, arctg a, arcctg a:

a) $\sin\left(\arccos\frac{1}{2}\right);$

б) $\cos(2\operatorname{arctg} 1);$

в) $\operatorname{ctg}\left(2\arcsin\frac{1}{\sqrt{2}}\right);$

г) $\cos\left(\arccos\left(-\frac{1}{2}\right)+\frac{\pi}{3}\right);$

д) $\operatorname{tg}\left(2\operatorname{arctg}\left(-\frac{\sqrt{3}}{3}\right)+\frac{\pi}{6}\right);$

е) $\sin\left(\operatorname{arcctg}\frac{\sqrt{3}}{3}+2\arccos\frac{1}{2}\right).$

Решение. №1.328 (с. 98)
Алгебра, 10 класс Учебник, авторы: Арефьева Ирина Глебовна, Пирютко Ольга Николаевна, издательство Народная асвета, Минск, 2019, голубого цвета, страница 98, номер 1.328, Решение
Решение 2. №1.328 (с. 98)

a) Для вычисления $sin(arccos\frac{1}{2})$ сначала найдем значение внутреннего выражения $arccos\frac{1}{2}$.
По определению, $arccos a$ — это угол из отрезка $[0; \pi]$, косинус которого равен $a$. Угол, косинус которого равен $\frac{1}{2}$ и который принадлежит отрезку $[0; \pi]$, — это $\frac{\pi}{3}$.
Следовательно, $arccos \frac{1}{2} = \frac{\pi}{3}$.
Теперь подставим это значение в исходное выражение:
$sin(arccos\frac{1}{2}) = sin(\frac{\pi}{3}) = \frac{\sqrt{3}}{2}$.
Ответ: $\frac{\sqrt{3}}{2}$.

б) Для вычисления $cos(2arctg 1)$ сначала найдем значение $arctg 1$.
По определению, $arctg a$ — это угол из интервала $(-\frac{\pi}{2}; \frac{\pi}{2})$, тангенс которого равен $a$. Угол, тангенс которого равен 1, — это $\frac{\pi}{4}$.
Следовательно, $arctg 1 = \frac{\pi}{4}$.
Подставляем в выражение:
$cos(2 \cdot \frac{\pi}{4}) = cos(\frac{\pi}{2}) = 0$.
Ответ: 0.

в) Для вычисления $ctg(2arcsin(-\frac{1}{\sqrt{2}}))$ сначала найдем значение $arcsin(-\frac{1}{\sqrt{2}})$.
По определению, $arcsin a$ — это угол из отрезка $[-\frac{\pi}{2}; \frac{\pi}{2}]$, синус которого равен $a$. Используем свойство нечетности арксинуса $arcsin(-x) = -arcsin(x)$.
$arcsin(-\frac{1}{\sqrt{2}}) = -arcsin(\frac{1}{\sqrt{2}}) = -\frac{\pi}{4}$.
Подставляем в выражение:
$ctg(2 \cdot (-\frac{\pi}{4})) = ctg(-\frac{\pi}{2})$.
$ctg(-\frac{\pi}{2}) = \frac{cos(-\pi/2)}{sin(-\pi/2)} = \frac{0}{-1} = 0$.
Ответ: 0.

г) Для вычисления $cos(arccos(-\frac{1}{2}) + \frac{\pi}{3})$ сначала найдем значение $arccos(-\frac{1}{2})$.
Используем свойство $arccos(-x) = \pi - arccos(x)$.
$arccos(-\frac{1}{2}) = \pi - arccos(\frac{1}{2}) = \pi - \frac{\pi}{3} = \frac{2\pi}{3}$.
Подставляем в выражение:
$cos(\frac{2\pi}{3} + \frac{\pi}{3}) = cos(\frac{3\pi}{3}) = cos(\pi) = -1$.
Ответ: -1.

д) Для вычисления $tg(2arctg(-\frac{\sqrt{3}}{3}) + \frac{\pi}{6})$ сначала найдем значение $arctg(-\frac{\sqrt{3}}{3})$.
Используем свойство нечетности арктангенса $arctg(-x) = -arctg(x)$.
$arctg(-\frac{\sqrt{3}}{3}) = -arctg(\frac{\sqrt{3}}{3}) = -\frac{\pi}{6}$.
Подставляем в выражение:
$tg(2 \cdot (-\frac{\pi}{6}) + \frac{\pi}{6}) = tg(-\frac{\pi}{3} + \frac{\pi}{6}) = tg(-\frac{2\pi}{6} + \frac{\pi}{6}) = tg(-\frac{\pi}{6})$.
$tg(-\frac{\pi}{6}) = -\frac{\sqrt{3}}{3}$.
Ответ: $-\frac{\sqrt{3}}{3}$.

е) Для вычисления $sin(arcctg\frac{\sqrt{3}}{3} + 2arccos\frac{1}{2})$ вычислим значения аркфункций в скобках.
1. $arcctg\frac{\sqrt{3}}{3}$. По определению, $arcctg a$ — это угол из интервала $(0; \pi)$, котангенс которого равен $a$. Угол, котангенс которого равен $\frac{\sqrt{3}}{3}$ (или тангенс равен $\sqrt{3}$), это $\frac{\pi}{3}$.
2. $arccos\frac{1}{2} = \frac{\pi}{3}$.
Подставляем значения в исходное выражение:
$sin(\frac{\pi}{3} + 2 \cdot \frac{\pi}{3}) = sin(\frac{\pi}{3} + \frac{2\pi}{3}) = sin(\frac{3\pi}{3}) = sin(\pi) = 0$.
Ответ: 0.

Помогло решение? Оставьте отзыв в комментариях ниже.

Присоединяйтесь к Телеграм-группе @gdz_by_belarus

Присоединиться

Мы подготовили для вас ответ c подробным объяснением домашего задания по алгебре за 10 класс, для упражнения номер 1.328 расположенного на странице 98 к учебнику 2019 года издания для учащихся школ и гимназий.

Теперь на нашем сайте ГДЗ.ТОП вы всегда легко и бесплатно найдёте условие с правильным ответом на вопрос «Как решить ДЗ» и «Как сделать» задание по алгебре к упражнению №1.328 (с. 98), авторов: Арефьева (Ирина Глебовна), Пирютко (Ольга Николаевна), учебного пособия издательства Народная асвета.