Номер 1.392, страница 127 - гдз по алгебре 10 класс учебник Арефьева, Пирютко

Алгебра, 10 класс Учебник, авторы: Арефьева Ирина Глебовна, Пирютко Ольга Николаевна, издательство Народная асвета, Минск, 2019, голубого цвета

Авторы: Арефьева И. Г., Пирютко О. Н.

Тип: Учебник

Издательство: Народная асвета

Год издания: 2019 - 2026

Цвет обложки: голубой с графиком

Допущено Министерством образования Республики Беларусь

Популярные ГДЗ в 10 классе

Глава 1. Тригонометрия. Параграф 9. Формулы приведения - номер 1.392, страница 127.

№1.392 (с. 127)
Условие. №1.392 (с. 127)
скриншот условия
Алгебра, 10 класс Учебник, авторы: Арефьева Ирина Глебовна, Пирютко Ольга Николаевна, издательство Народная асвета, Минск, 2019, голубого цвета, страница 127, номер 1.392, Условие

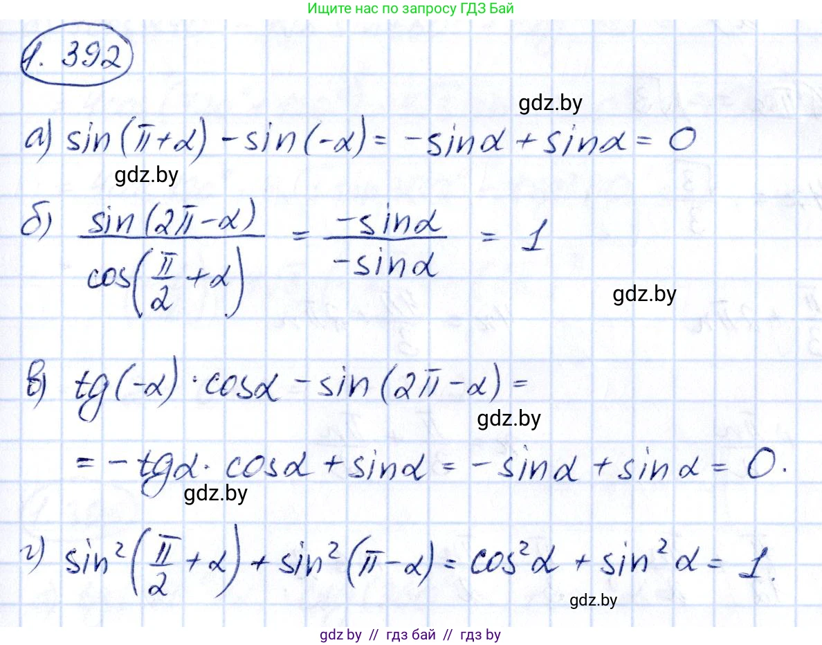
1.392. Упростите выражение:

a)

$\sin(\pi + \alpha) - \sin(-\alpha)$;

б)

$\frac{\sin(2\pi - \alpha)}{\cos(\frac{\pi}{2} + \alpha)};$

в)

$\text{tg}(-\alpha) \cdot \cos\alpha - \sin(2\pi - \alpha)$;

г)

$\sin^2(\frac{\pi}{2} + \alpha) + \sin^2(\pi - \alpha).$

Решение. №1.392 (с. 127)
Алгебра, 10 класс Учебник, авторы: Арефьева Ирина Глебовна, Пирютко Ольга Николаевна, издательство Народная асвета, Минск, 2019, голубого цвета, страница 127, номер 1.392, Решение
Решение 2. №1.392 (с. 127)

а) $sin(\pi + \alpha) - sin(-\alpha)$

Для упрощения данного выражения воспользуемся формулами приведения и свойством нечетности функции синус.

1. Согласно формуле приведения, $sin(\pi + \alpha) = -sin(\alpha)$. Это верно, так как угол $(\pi + \alpha)$ находится в III координатной четверти, где значения синуса отрицательны, а прибавление $\pi$ не меняет название функции.

2. Синус является нечетной функцией, поэтому $sin(-\alpha) = -sin(\alpha)$.

Подставим полученные выражения в исходное:

$sin(\pi + \alpha) - sin(-\alpha) = (-sin(\alpha)) - (-sin(\alpha)) = -sin(\alpha) + sin(\alpha) = 0$.

Ответ: 0

б) $\frac{sin(2\pi - \alpha)}{cos(\frac{\pi}{2} + \alpha)}$

Для упрощения дроби применим формулы приведения к числителю и знаменателю.

1. Упростим числитель $sin(2\pi - \alpha)$. Используя периодичность синуса ($2\pi$ - полный оборот), получаем $sin(2\pi - \alpha) = sin(-\alpha)$. В силу нечетности синуса, $sin(-\alpha) = -sin(\alpha)$.

2. Упростим знаменатель $cos(\frac{\pi}{2} + \alpha)$. Согласно формуле приведения, $cos(\frac{\pi}{2} + \alpha) = -sin(\alpha)$. Это верно, так как угол $(\frac{\pi}{2} + \alpha)$ находится во II координатной четверти, где значения косинуса отрицательны, а прибавление $\frac{\pi}{2}$ меняет функцию на кофункцию (косинус на синус).

Теперь подставим упрощенные выражения обратно в дробь:

$\frac{-sin(\alpha)}{-sin(\alpha)} = 1$ (при условии, что $sin(\alpha) \neq 0$, иначе выражение не определено).

Ответ: 1

в) $tg(-\alpha) \cdot cos\alpha - sin(2\pi - \alpha)$

Упростим выражение по частям.

1. Рассмотрим первое слагаемое $tg(-\alpha) \cdot cos\alpha$.
Тангенс — нечетная функция, поэтому $tg(-\alpha) = -tg(\alpha)$.
Используя определение тангенса $tg(\alpha) = \frac{sin\alpha}{cos\alpha}$, получаем:
$tg(-\alpha) \cdot cos\alpha = -tg(\alpha) \cdot cos\alpha = -\frac{sin\alpha}{cos\alpha} \cdot cos\alpha = -sin\alpha$ (при условии, что $cos\alpha \neq 0$).

2. Рассмотрим второе слагаемое $sin(2\pi - \alpha)$.
По формуле приведения, $sin(2\pi - \alpha) = -sin(\alpha)$.

Подставим упрощенные части в исходное выражение:

$(-sin\alpha) - (-sin\alpha) = -sin\alpha + sin\alpha = 0$.

Ответ: 0

г) $sin^2(\frac{\pi}{2} + \alpha) + sin^2(\pi - \alpha)$

Применим формулы приведения к каждому из слагаемых, а затем воспользуемся основным тригонометрическим тождеством.

1. Упростим $sin^2(\frac{\pi}{2} + \alpha)$.
Сначала найдем $sin(\frac{\pi}{2} + \alpha)$. По формуле приведения, $sin(\frac{\pi}{2} + \alpha) = cos\alpha$.
Тогда $sin^2(\frac{\pi}{2} + \alpha) = (cos\alpha)^2 = cos^2\alpha$.

2. Упростим $sin^2(\pi - \alpha)$.
Сначала найдем $sin(\pi - \alpha)$. По формуле приведения, $sin(\pi - \alpha) = sin\alpha$.
Тогда $sin^2(\pi - \alpha) = (sin\alpha)^2 = sin^2\alpha$.

Подставим преобразованные слагаемые в исходное выражение:

$cos^2\alpha + sin^2\alpha$

По основному тригонометрическому тождеству, $sin^2\alpha + cos^2\alpha = 1$.

Ответ: 1

Помогло решение? Оставьте отзыв в комментариях ниже.

Присоединяйтесь к Телеграм-группе @gdz_by_belarus

Присоединиться

Мы подготовили для вас ответ c подробным объяснением домашего задания по алгебре за 10 класс, для упражнения номер 1.392 расположенного на странице 127 к учебнику 2019 года издания для учащихся школ и гимназий.

Теперь на нашем сайте ГДЗ.ТОП вы всегда легко и бесплатно найдёте условие с правильным ответом на вопрос «Как решить ДЗ» и «Как сделать» задание по алгебре к упражнению №1.392 (с. 127), авторов: Арефьева (Ирина Глебовна), Пирютко (Ольга Николаевна), учебного пособия издательства Народная асвета.