Номер 1.406, страница 128 - гдз по алгебре 10 класс учебник Арефьева, Пирютко

Алгебра, 10 класс Учебник, авторы: Арефьева Ирина Глебовна, Пирютко Ольга Николаевна, издательство Народная асвета, Минск, 2019, голубого цвета

Авторы: Арефьева И. Г., Пирютко О. Н.

Тип: Учебник

Издательство: Народная асвета

Год издания: 2019 - 2026

Цвет обложки: голубой с графиком

Допущено Министерством образования Республики Беларусь

Популярные ГДЗ в 10 классе

Глава 1. Тригонометрия. Параграф 9. Формулы приведения - номер 1.406, страница 128.

№1.406 (с. 128)
Условие. №1.406 (с. 128)
скриншот условия
Алгебра, 10 класс Учебник, авторы: Арефьева Ирина Глебовна, Пирютко Ольга Николаевна, издательство Народная асвета, Минск, 2019, голубого цвета, страница 128, номер 1.406, Условие

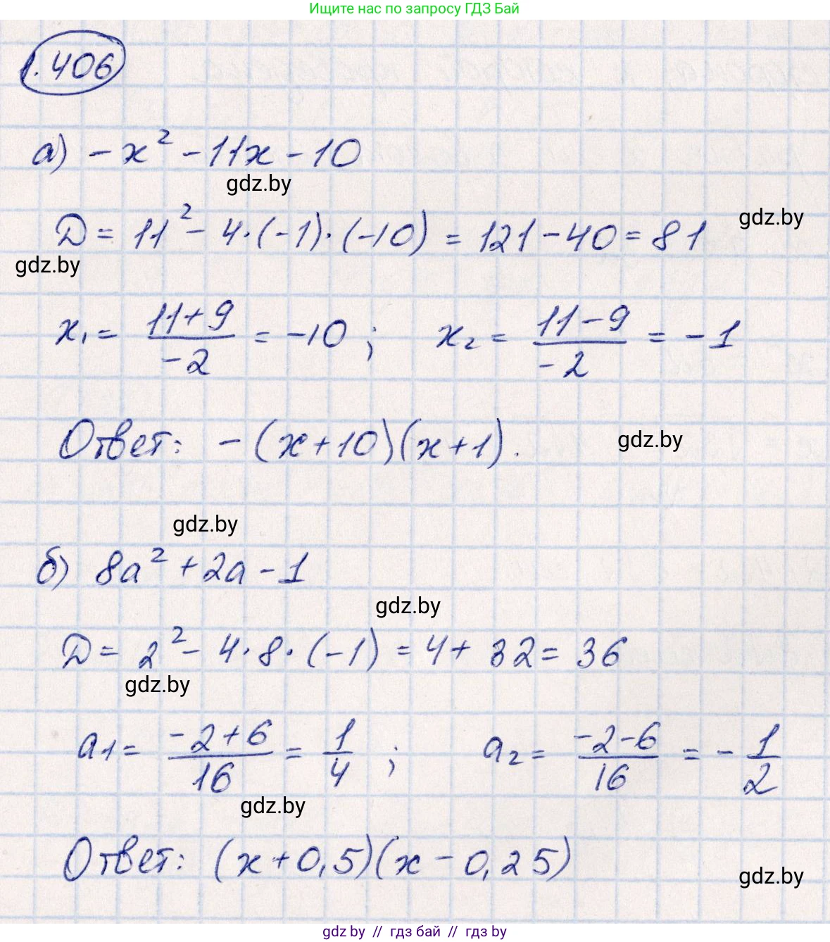
1.406. Разложите на множители квадратный трехчлен:

a) $-x^2 - 11x - 10;$

б) $8a^2 + 2a - 1.$

Решение. №1.406 (с. 128)
Алгебра, 10 класс Учебник, авторы: Арефьева Ирина Глебовна, Пирютко Ольга Николаевна, издательство Народная асвета, Минск, 2019, голубого цвета, страница 128, номер 1.406, Решение
Решение 2. №1.406 (с. 128)

Для разложения квадратного трехчлена вида $ax^2+bx+c$ на множители используется формула $a(x-x_1)(x-x_2)$, где $x_1$ и $x_2$ — это корни соответствующего квадратного уравнения $ax^2+bx+c=0$.

Корни уравнения находятся по формуле: $x_{1,2} = \frac{-b \pm \sqrt{D}}{2a}$, где $D=b^2-4ac$ — дискриминант.


а) $-x^2 - 11x - 10$

Чтобы найти корни, приравняем трехчлен к нулю:

$-x^2 - 11x - 10 = 0$

Умножим уравнение на -1, чтобы сделать коэффициент при $x^2$ положительным:

$x^2 + 11x + 10 = 0$

Теперь коэффициенты для поиска корней: $a=1, b=11, c=10$.

Найдем дискриминант $D$:

$D = b^2 - 4ac = 11^2 - 4 \cdot 1 \cdot 10 = 121 - 40 = 81$

Найдем корни $x_1$ и $x_2$:

$x_1 = \frac{-b + \sqrt{D}}{2a} = \frac{-11 + \sqrt{81}}{2 \cdot 1} = \frac{-11 + 9}{2} = \frac{-2}{2} = -1$

$x_2 = \frac{-b - \sqrt{D}}{2a} = \frac{-11 - \sqrt{81}}{2 \cdot 1} = \frac{-11 - 9}{2} = \frac{-20}{2} = -10$

Теперь подставим найденные корни в формулу разложения $A(x-x_1)(x-x_2)$. Важно использовать коэффициент $A$ из исходного трехчлена, то есть $A=-1$.

$-x^2 - 11x - 10 = -1 \cdot (x - (-1))(x - (-10)) = -(x+1)(x+10)$

Ответ: $-(x+1)(x+10)$.


б) $8a^2 + 2a - 1$

Приравняем трехчлен к нулю для нахождения корней:

$8a^2 + 2a - 1 = 0$

Здесь коэффициенты: $a=8, b=2, c=-1$.

Найдем дискриминант $D$:

$D = b^2 - 4ac = 2^2 - 4 \cdot 8 \cdot (-1) = 4 + 32 = 36$

Найдем корни $a_1$ и $a_2$:

$a_1 = \frac{-b + \sqrt{D}}{2a} = \frac{-2 + \sqrt{36}}{2 \cdot 8} = \frac{-2 + 6}{16} = \frac{4}{16} = \frac{1}{4}$

$a_2 = \frac{-b - \sqrt{D}}{2a} = \frac{-2 - \sqrt{36}}{2 \cdot 8} = \frac{-2 - 6}{16} = \frac{-8}{16} = -\frac{1}{2}$

Подставим корни в формулу разложения. Коэффициент при старшей степени равен $8$.

$8a^2 + 2a - 1 = 8 \left(a - \frac{1}{4}\right) \left(a - \left(-\frac{1}{2}\right)\right) = 8 \left(a - \frac{1}{4}\right) \left(a + \frac{1}{2}\right)$

Чтобы избавиться от дробей в скобках, можно распределить множитель 8. Представим $8$ как $4 \cdot 2$ и умножим каждую скобку на соответствующий множитель:

$8 \left(a - \frac{1}{4}\right) \left(a + \frac{1}{2}\right) = \left(4 \cdot \left(a - \frac{1}{4}\right)\right) \cdot \left(2 \cdot \left(a + \frac{1}{2}\right)\right) = (4a - 1)(2a + 1)$

Ответ: $(4a - 1)(2a + 1)$.

Помогло решение? Оставьте отзыв в комментариях ниже.

Присоединяйтесь к Телеграм-группе @gdz_by_belarus

Присоединиться

Мы подготовили для вас ответ c подробным объяснением домашего задания по алгебре за 10 класс, для упражнения номер 1.406 расположенного на странице 128 к учебнику 2019 года издания для учащихся школ и гимназий.

Теперь на нашем сайте ГДЗ.ТОП вы всегда легко и бесплатно найдёте условие с правильным ответом на вопрос «Как решить ДЗ» и «Как сделать» задание по алгебре к упражнению №1.406 (с. 128), авторов: Арефьева (Ирина Глебовна), Пирютко (Ольга Николаевна), учебного пособия издательства Народная асвета.