Номер 1.433, страница 138 - гдз по алгебре 10 класс учебник Арефьева, Пирютко

Алгебра, 10 класс Учебник, авторы: Арефьева Ирина Глебовна, Пирютко Ольга Николаевна, издательство Народная асвета, Минск, 2019, голубого цвета

Авторы: Арефьева И. Г., Пирютко О. Н.

Тип: Учебник

Издательство: Народная асвета

Год издания: 2019 - 2026

Цвет обложки: голубой с графиком

Допущено Министерством образования Республики Беларусь

Популярные ГДЗ в 10 классе

Глава 1. Тригонометрия. Параграф 10. Синус, косинус, тангенс суммы и разности - номер 1.433, страница 138.

№1.433 (с. 138)
Условие. №1.433 (с. 138)
скриншот условия
Алгебра, 10 класс Учебник, авторы: Арефьева Ирина Глебовна, Пирютко Ольга Николаевна, издательство Народная асвета, Минск, 2019, голубого цвета, страница 138, номер 1.433, Условие

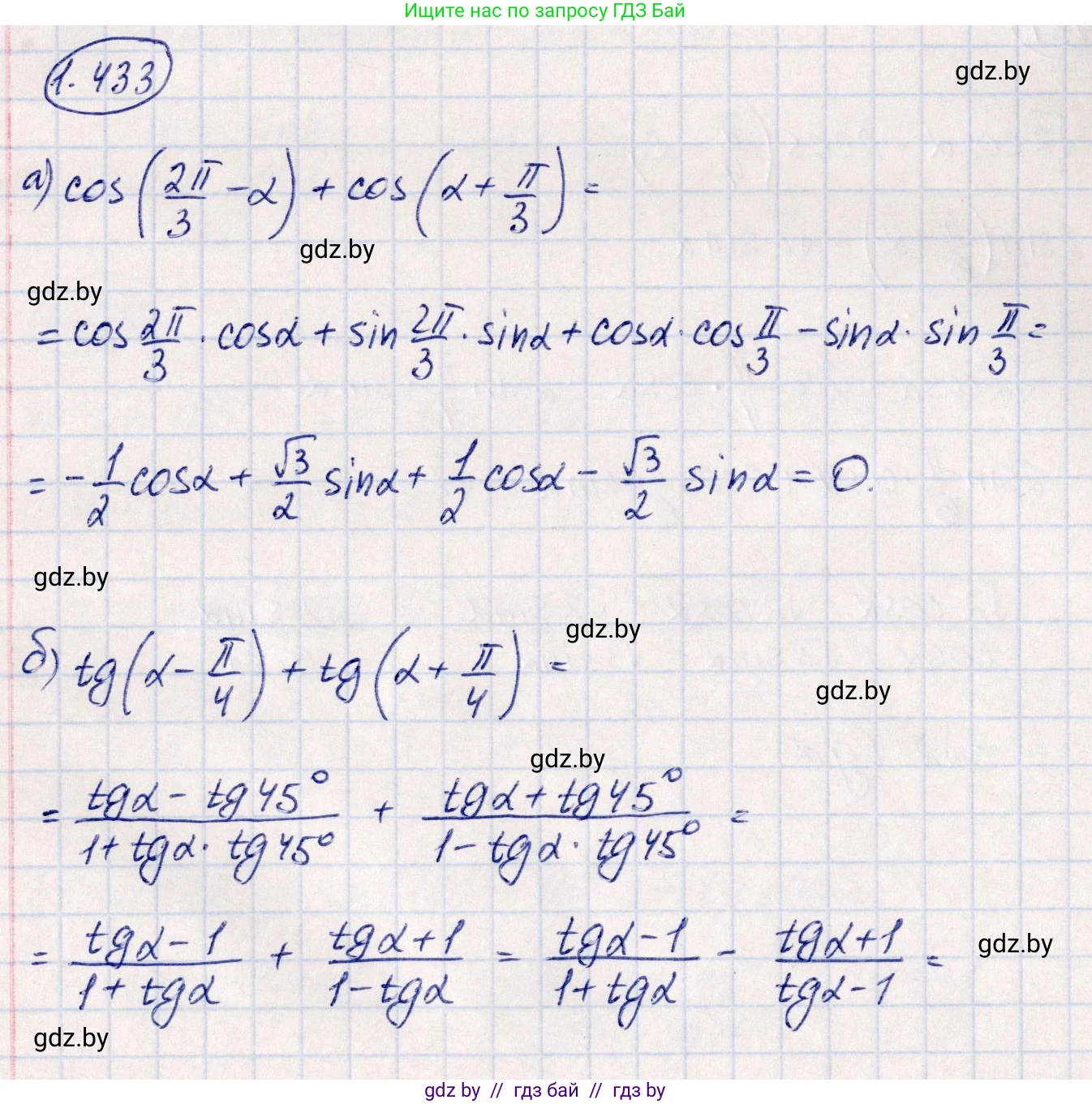
1.433. Упростите выражение:

a)

$\cos\left(\frac{2\pi}{3} - \alpha\right) + \cos\left(\alpha + \frac{\pi}{3}\right)$;

б)

$\text{tg}\left(\alpha - \frac{\pi}{4}\right) + \text{tg}\left(\alpha + \frac{\pi}{4}\right)$.

Решение. №1.433 (с. 138)
Алгебра, 10 класс Учебник, авторы: Арефьева Ирина Глебовна, Пирютко Ольга Николаевна, издательство Народная асвета, Минск, 2019, голубого цвета, страница 138, номер 1.433, Решение Алгебра, 10 класс Учебник, авторы: Арефьева Ирина Глебовна, Пирютко Ольга Николаевна, издательство Народная асвета, Минск, 2019, голубого цвета, страница 138, номер 1.433, Решение (продолжение 2)
Решение 2. №1.433 (с. 138)

а) Для упрощения выражения $ \cos(\frac{2\pi}{3} - \alpha) + \cos(\alpha + \frac{\pi}{3}) $ воспользуемся формулой суммы косинусов: $ \cos(x) + \cos(y) = 2 \cos(\frac{x+y}{2}) \cos(\frac{x-y}{2}) $

В нашем случае:
$ x = \frac{2\pi}{3} - \alpha $
$ y = \alpha + \frac{\pi}{3} $

Найдем полусумму и полуразность аргументов:
$ \frac{x+y}{2} = \frac{(\frac{2\pi}{3} - \alpha) + (\alpha + \frac{\pi}{3})}{2} = \frac{\frac{2\pi}{3} + \frac{\pi}{3}}{2} = \frac{\pi}{2} $
$ \frac{x-y}{2} = \frac{(\frac{2\pi}{3} - \alpha) - (\alpha + \frac{\pi}{3})}{2} = \frac{\frac{2\pi}{3} - \frac{\pi}{3} - 2\alpha}{2} = \frac{\frac{\pi}{3} - 2\alpha}{2} = \frac{\pi}{6} - \alpha $

Подставим полученные значения в формулу: $ 2 \cos(\frac{\pi}{2}) \cos(\frac{\pi}{6} - \alpha) $

Так как $ \cos(\frac{\pi}{2}) = 0 $, то все выражение равно нулю: $ 2 \cdot 0 \cdot \cos(\frac{\pi}{6} - \alpha) = 0 $

Альтернативное решение:
Можно использовать формулы косинуса разности и суммы: $ \cos(x \pm y) = \cos(x)\cos(y) \mp \sin(x)\sin(y) $

$ \cos(\frac{2\pi}{3} - \alpha) = \cos(\frac{2\pi}{3})\cos(\alpha) + \sin(\frac{2\pi}{3})\sin(\alpha) $
$ \cos(\alpha + \frac{\pi}{3}) = \cos(\alpha)\cos(\frac{\pi}{3}) - \sin(\alpha)\sin(\frac{\pi}{3}) $

Зная, что $ \cos(\frac{2\pi}{3}) = -\frac{1}{2} $, $ \sin(\frac{2\pi}{3}) = \frac{\sqrt{3}}{2} $, $ \cos(\frac{\pi}{3}) = \frac{1}{2} $, $ \sin(\frac{\pi}{3}) = \frac{\sqrt{3}}{2} $, подставим эти значения:
$ \cos(\frac{2\pi}{3} - \alpha) + \cos(\alpha + \frac{\pi}{3}) = (-\frac{1}{2}\cos(\alpha) + \frac{\sqrt{3}}{2}\sin(\alpha)) + (\frac{1}{2}\cos(\alpha) - \frac{\sqrt{3}}{2}\sin(\alpha)) $

Сгруппируем и сократим подобные слагаемые: $ (-\frac{1}{2}\cos(\alpha) + \frac{1}{2}\cos(\alpha)) + (\frac{\sqrt{3}}{2}\sin(\alpha) - \frac{\sqrt{3}}{2}\sin(\alpha)) = 0 + 0 = 0 $

Ответ: 0

б) Для упрощения выражения $ \text{tg}(\alpha - \frac{\pi}{4}) + \text{tg}(\alpha + \frac{\pi}{4}) $ воспользуемся формулами тангенса суммы и разности: $ \text{tg}(x \pm y) = \frac{\text{tg}(x) \pm \text{tg}(y)}{1 \mp \text{tg}(x)\text{tg}(y)} $

Применим эти формулы к каждому слагаемому, учитывая, что $ \text{tg}(\frac{\pi}{4}) = 1 $:
$ \text{tg}(\alpha - \frac{\pi}{4}) = \frac{\text{tg}(\alpha) - \text{tg}(\frac{\pi}{4})}{1 + \text{tg}(\alpha)\text{tg}(\frac{\pi}{4})} = \frac{\text{tg}(\alpha) - 1}{1 + \text{tg}(\alpha)} $
$ \text{tg}(\alpha + \frac{\pi}{4}) = \frac{\text{tg}(\alpha) + \text{tg}(\frac{\pi}{4})}{1 - \text{tg}(\alpha)\text{tg}(\frac{\pi}{4})} = \frac{\text{tg}(\alpha) + 1}{1 - \text{tg}(\alpha)} $

Теперь сложим полученные дроби: $ \frac{\text{tg}(\alpha) - 1}{1 + \text{tg}(\alpha)} + \frac{\text{tg}(\alpha) + 1}{1 - \text{tg}(\alpha)} $

Приведем дроби к общему знаменателю $ (1 + \text{tg}(\alpha))(1 - \text{tg}(\alpha)) = 1 - \text{tg}^2(\alpha) $: $ \frac{(\text{tg}(\alpha) - 1)(1 - \text{tg}(\alpha)) + (\text{tg}(\alpha) + 1)(1 + \text{tg}(\alpha))}{1 - \text{tg}^2(\alpha)} $

Упростим числитель: $ (\text{tg}(\alpha) - 1)(-( \text{tg}(\alpha) - 1)) + (\text{tg}(\alpha) + 1)^2 = -(\text{tg}(\alpha) - 1)^2 + (\text{tg}(\alpha) + 1)^2 $
$ = -( \text{tg}^2(\alpha) - 2\text{tg}(\alpha) + 1) + (\text{tg}^2(\alpha) + 2\text{tg}(\alpha) + 1) $
$ = -\text{tg}^2(\alpha) + 2\text{tg}(\alpha) - 1 + \text{tg}^2(\alpha) + 2\text{tg}(\alpha) + 1 = 4\text{tg}(\alpha) $

Подставим упрощенный числитель обратно в дробь: $ \frac{4\text{tg}(\alpha)}{1 - \text{tg}^2(\alpha)} $

Используя формулу тангенса двойного угла $ \text{tg}(2\alpha) = \frac{2\text{tg}(\alpha)}{1 - \text{tg}^2(\alpha)} $, преобразуем выражение: $ 2 \cdot \frac{2\text{tg}(\alpha)}{1 - \text{tg}^2(\alpha)} = 2\text{tg}(2\alpha) $

Альтернативное решение:
Представим тангенсы через синусы и косинусы: $ \frac{\sin(\alpha - \frac{\pi}{4})}{\cos(\alpha - \frac{\pi}{4})} + \frac{\sin(\alpha + \frac{\pi}{4})}{\cos(\alpha + \frac{\pi}{4})} $

Приведем к общему знаменателю $ \cos(\alpha - \frac{\pi}{4})\cos(\alpha + \frac{\pi}{4}) $: $ \frac{\sin(\alpha - \frac{\pi}{4})\cos(\alpha + \frac{\pi}{4}) + \cos(\alpha - \frac{\pi}{4})\sin(\alpha + \frac{\pi}{4})}{\cos(\alpha - \frac{\pi}{4})\cos(\alpha + \frac{\pi}{4})} $

Числитель является развернутой формулой синуса суммы $ \sin(x+y) = \sin x \cos y + \cos x \sin y $: $ \text{Числитель} = \sin\left((\alpha - \frac{\pi}{4}) + (\alpha + \frac{\pi}{4})\right) = \sin(2\alpha) $

Знаменатель преобразуем по формуле произведения косинусов $ \cos x \cos y = \frac{1}{2}(\cos(x+y) + \cos(x-y)) $: $ \text{Знаменатель} = \cos(\alpha + \frac{\pi}{4})\cos(\alpha - \frac{\pi}{4}) = \frac{1}{2}\left(\cos\left((\alpha+\frac{\pi}{4}) + (\alpha-\frac{\pi}{4})\right) + \cos\left((\alpha+\frac{\pi}{4}) - (\alpha-\frac{\pi}{4})\right)\right) $
$ = \frac{1}{2}(\cos(2\alpha) + \cos(\frac{\pi}{2})) = \frac{1}{2}(\cos(2\alpha) + 0) = \frac{1}{2}\cos(2\alpha) $

Теперь объединим числитель и знаменатель: $ \frac{\sin(2\alpha)}{\frac{1}{2}\cos(2\alpha)} = 2\frac{\sin(2\alpha)}{\cos(2\alpha)} = 2\text{tg}(2\alpha) $

Ответ: $ 2\text{tg}(2\alpha) $

Помогло решение? Оставьте отзыв в комментариях ниже.

Присоединяйтесь к Телеграм-группе @gdz_by_belarus

Присоединиться

Мы подготовили для вас ответ c подробным объяснением домашего задания по алгебре за 10 класс, для упражнения номер 1.433 расположенного на странице 138 к учебнику 2019 года издания для учащихся школ и гимназий.

Теперь на нашем сайте ГДЗ.ТОП вы всегда легко и бесплатно найдёте условие с правильным ответом на вопрос «Как решить ДЗ» и «Как сделать» задание по алгебре к упражнению №1.433 (с. 138), авторов: Арефьева (Ирина Глебовна), Пирютко (Ольга Николаевна), учебного пособия издательства Народная асвета.