Номер 1.484, страница 149 - гдз по алгебре 10 класс учебник Арефьева, Пирютко
Авторы: Арефьева И. Г., Пирютко О. Н.
Тип: Учебник
Издательство: Народная асвета
Год издания: 2019 - 2026
Цвет обложки: голубой с графиком
Допущено Министерством образования Республики Беларусь
Популярные ГДЗ в 10 классе
Глава 1. Тригонометрия. Параграф 11. Формулы двойного аргумента - номер 1.484, страница 149.
№1.484 (с. 149)
Условие. №1.484 (с. 149)
скриншот условия
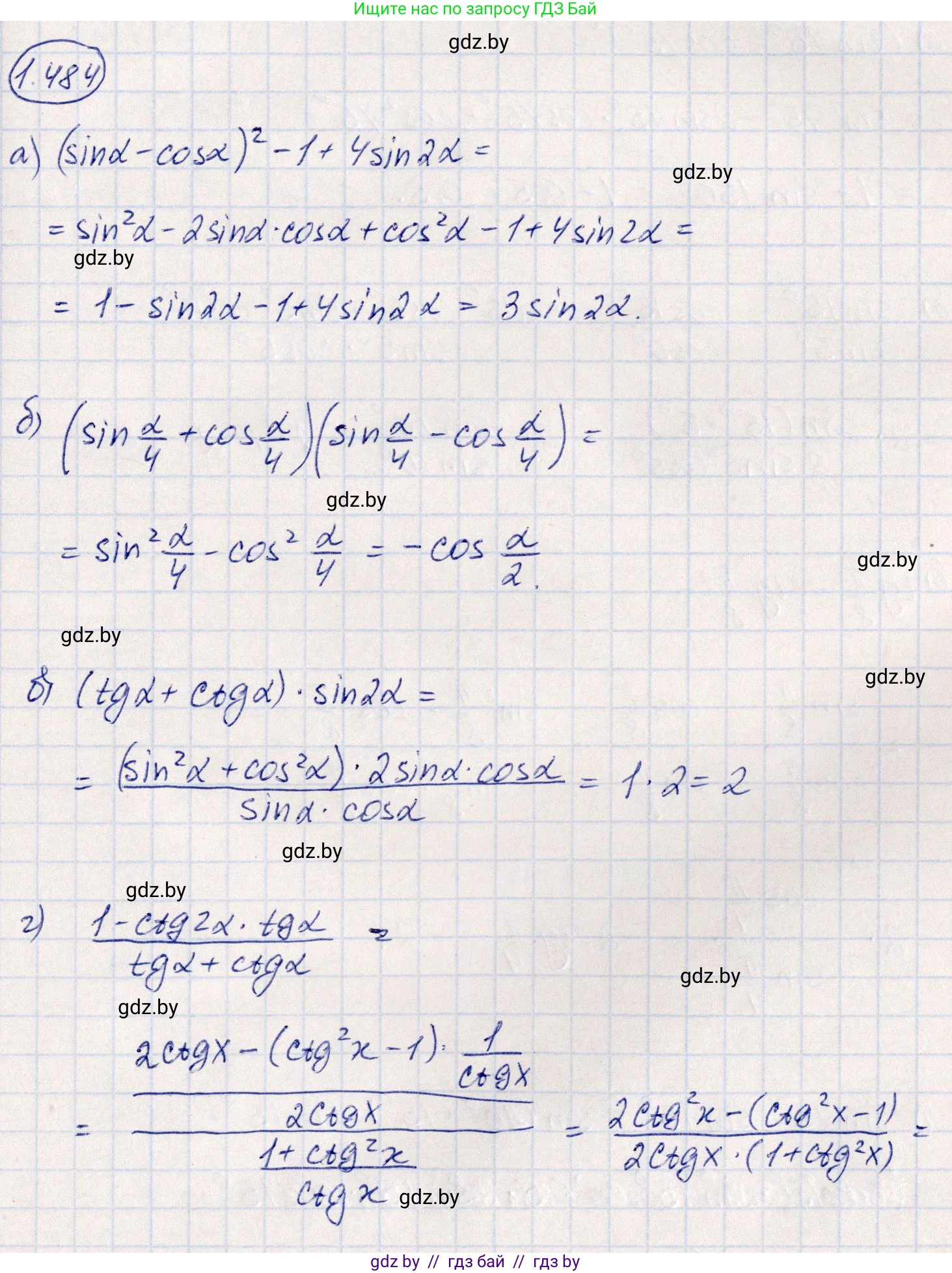
1.484. Упростите выражение:
а) $(\sin\alpha - \cos\alpha)^2 - 1 + 4\sin2\alpha;$
б) $(\sin \frac{\alpha}{4} + \cos \frac{\alpha}{4})(\sin \frac{\alpha}{4} - \cos \frac{\alpha}{4});$
В) $(\operatorname{tg}\alpha + \operatorname{ctg}\alpha) \sin2\alpha;$
Г) $\frac{1 - \operatorname{ctg}^2\alpha \operatorname{tg}\alpha}{\operatorname{tg}\alpha + \operatorname{ctg}\alpha}.$
Решение. №1.484 (с. 149)
Решение 2. №1.484 (с. 149)
а) Для упрощения выражения $(\sin\alpha - \cos\alpha)^2 - 1 + 4\sin2\alpha$ сначала раскроем квадрат разности, используя формулу $(a-b)^2 = a^2 - 2ab + b^2$:
$(\sin\alpha - \cos\alpha)^2 = \sin^2\alpha - 2\sin\alpha\cos\alpha + \cos^2\alpha$.
Применим основное тригонометрическое тождество $\sin^2\alpha + \cos^2\alpha = 1$ и формулу синуса двойного угла $2\sin\alpha\cos\alpha = \sin2\alpha$. Тогда выражение в скобках равно:
$(\sin^2\alpha + \cos^2\alpha) - 2\sin\alpha\cos\alpha = 1 - \sin2\alpha$.
Подставим полученный результат обратно в исходное выражение и выполним упрощение:
$(1 - \sin2\alpha) - 1 + 4\sin2\alpha = 1 - 1 - \sin2\alpha + 4\sin2\alpha = 3\sin2\alpha$.
Ответ: $3\sin2\alpha$.
б) В выражении $(\sin\frac{\alpha}{4} + \cos\frac{\alpha}{4})(\sin\frac{\alpha}{4} - \cos\frac{\alpha}{4})$ мы видим произведение суммы и разности двух выражений, что соответствует формуле разности квадратов $(a+b)(a-b) = a^2-b^2$.
Применим эту формулу, где $a = \sin\frac{\alpha}{4}$ и $b = \cos\frac{\alpha}{4}$:
$(\sin\frac{\alpha}{4})^2 - (\cos\frac{\alpha}{4})^2 = \sin^2\frac{\alpha}{4} - \cos^2\frac{\alpha}{4}$.
Это выражение похоже на формулу косинуса двойного угла $\cos(2x) = \cos^2x - \sin^2x$. Вынесем минус за скобки, чтобы привести его к стандартному виду:
$-(\cos^2\frac{\alpha}{4} - \sin^2\frac{\alpha}{4})$.
Теперь применим формулу косинуса двойного угла для $x = \frac{\alpha}{4}$:
$-(\cos(2 \cdot \frac{\alpha}{4})) = -\cos\frac{\alpha}{2}$.
Ответ: $-\cos\frac{\alpha}{2}$.
в) Рассмотрим выражение $(\text{tg}\alpha + \text{ctg}\alpha) \sin2\alpha$. Упростим сумму в скобках, выразив тангенс и котангенс через синус и косинус:
$\text{tg}\alpha + \text{ctg}\alpha = \frac{\sin\alpha}{\cos\alpha} + \frac{\cos\alpha}{\sin\alpha}$.
Приведем дроби к общему знаменателю $\sin\alpha\cos\alpha$:
$\frac{\sin^2\alpha + \cos^2\alpha}{\sin\alpha\cos\alpha}$.
Используя $\sin^2\alpha + \cos^2\alpha = 1$, получаем $\frac{1}{\sin\alpha\cos\alpha}$.
Теперь умножим результат на $\sin2\alpha$. По формуле синуса двойного угла $\sin2\alpha = 2\sin\alpha\cos\alpha$.
$\frac{1}{\sin\alpha\cos\alpha} \cdot (2\sin\alpha\cos\alpha) = 2$.
Ответ: $2$.
г) Для упрощения дроби $\frac{1 - \text{ctg}2\alpha \cdot \text{tg}\alpha}{\text{tg}\alpha + \text{ctg}\alpha}$ преобразуем числитель и знаменатель по отдельности.
Знаменатель (как и в пункте в)):
$\text{tg}\alpha + \text{ctg}\alpha = \frac{\sin\alpha}{\cos\alpha} + \frac{\cos\alpha}{\sin\alpha} = \frac{\sin^2\alpha + \cos^2\alpha}{\sin\alpha\cos\alpha} = \frac{1}{\sin\alpha\cos\alpha}$.
Числитель:
$1 - \text{ctg}2\alpha \cdot \text{tg}\alpha = 1 - \frac{\cos2\alpha}{\sin2\alpha} \cdot \frac{\sin\alpha}{\cos\alpha} = \frac{\sin2\alpha\cos\alpha - \cos2\alpha\sin\alpha}{\sin2\alpha\cos\alpha}$.
В числителе полученной дроби используем формулу синуса разности $\sin(A-B) = \sin A\cos B - \cos A\sin B$:
$\sin2\alpha\cos\alpha - \cos2\alpha\sin\alpha = \sin(2\alpha - \alpha) = \sin\alpha$.
Таким образом, числитель исходного выражения равен $\frac{\sin\alpha}{\sin2\alpha\cos\alpha}$.
Теперь разделим преобразованный числитель на преобразованный знаменатель:
$\frac{\frac{\sin\alpha}{\sin2\alpha\cos\alpha}}{\frac{1}{\sin\alpha\cos\alpha}} = \frac{\sin\alpha}{\sin2\alpha\cos\alpha} \cdot \frac{\sin\alpha\cos\alpha}{1} = \frac{\sin^2\alpha}{\sin2\alpha}$.
Используя формулу $\sin2\alpha = 2\sin\alpha\cos\alpha$, получаем:
$\frac{\sin^2\alpha}{2\sin\alpha\cos\alpha} = \frac{\sin\alpha}{2\cos\alpha} = \frac{1}{2}\text{tg}\alpha$.
Ответ: $\frac{1}{2}\text{tg}\alpha$.
Другие задания:
Помогло решение? Оставьте отзыв в комментариях ниже.
Присоединяйтесь к Телеграм-группе @gdz_by_belarus
ПрисоединитьсяМы подготовили для вас ответ c подробным объяснением домашего задания по алгебре за 10 класс, для упражнения номер 1.484 расположенного на странице 149 к учебнику 2019 года издания для учащихся школ и гимназий.
Теперь на нашем сайте ГДЗ.ТОП вы всегда легко и бесплатно найдёте условие с правильным ответом на вопрос «Как решить ДЗ» и «Как сделать» задание по алгебре к упражнению №1.484 (с. 149), авторов: Арефьева (Ирина Глебовна), Пирютко (Ольга Николаевна), учебного пособия издательства Народная асвета.