Номер 1.516, страница 152 - гдз по алгебре 10 класс учебник Арефьева, Пирютко

Алгебра, 10 класс Учебник, авторы: Арефьева Ирина Глебовна, Пирютко Ольга Николаевна, издательство Народная асвета, Минск, 2019, голубого цвета

Авторы: Арефьева И. Г., Пирютко О. Н.

Тип: Учебник

Издательство: Народная асвета

Год издания: 2019 - 2026

Цвет обложки: голубой с графиком

Допущено Министерством образования Республики Беларусь

Популярные ГДЗ в 10 классе

Глава 1. Тригонометрия. Параграф 11. Формулы двойного аргумента - номер 1.516, страница 152.

№1.516 (с. 152)
Условие. №1.516 (с. 152)
скриншот условия
Алгебра, 10 класс Учебник, авторы: Арефьева Ирина Глебовна, Пирютко Ольга Николаевна, издательство Народная асвета, Минск, 2019, голубого цвета, страница 152, номер 1.516, Условие

1.516. Решите систему уравнений $ \begin{cases} 2y - x = 5, \\ x^2 - xy - y^2 = -29. \end{cases} $

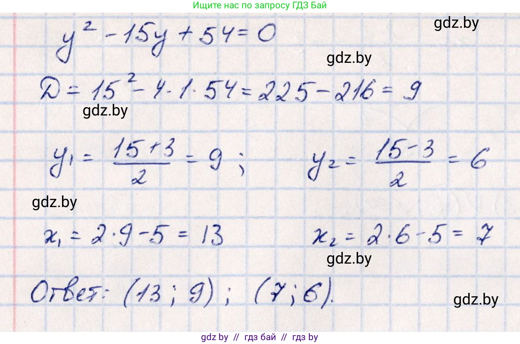
Решение. №1.516 (с. 152)
Алгебра, 10 класс Учебник, авторы: Арефьева Ирина Глебовна, Пирютко Ольга Николаевна, издательство Народная асвета, Минск, 2019, голубого цвета, страница 152, номер 1.516, Решение Алгебра, 10 класс Учебник, авторы: Арефьева Ирина Глебовна, Пирютко Ольга Николаевна, издательство Народная асвета, Минск, 2019, голубого цвета, страница 152, номер 1.516, Решение (продолжение 2)
Решение 2. №1.516 (с. 152)

Для решения данной системы уравнений, состоящей из линейного и квадратного уравнений, применим метод подстановки. Исходная система:

$$ \begin{cases} 2y - x = 5 \\ x^2 - xy - y^2 = -29 \end{cases} $$

Из первого линейного уравнения выразим переменную $x$ через $y$:

$$ 2y - x = 5 \implies x = 2y - 5 $$

Теперь подставим это выражение для $x$ во второе, квадратное, уравнение системы:

$$ (2y - 5)^2 - (2y - 5)y - y^2 = -29 $$

Далее, раскроем скобки и приведем подобные слагаемые, чтобы решить полученное уравнение относительно $y$:

$$ (4y^2 - 20y + 25) - (2y^2 - 5y) - y^2 = -29 $$

$$ 4y^2 - 20y + 25 - 2y^2 + 5y - y^2 = -29 $$

$$ (4y^2 - 2y^2 - y^2) + (-20y + 5y) + 25 = -29 $$

$$ y^2 - 15y + 25 = -29 $$

Перенесем все члены уравнения в левую часть:

$$ y^2 - 15y + 25 + 29 = 0 $$

$$ y^2 - 15y + 54 = 0 $$

Получили стандартное квадратное уравнение. Его корни можно найти по теореме Виета: сумма корней равна 15, а их произведение — 54. Подбираем корни:

$$ y_1 = 6, \quad y_2 = 9 $$

Теперь найдем соответствующие значения $x$ для каждого найденного $y$, используя формулу $x = 2y - 5$:

1. Если $y_1 = 6$, то $x_1 = 2 \cdot 6 - 5 = 12 - 5 = 7$.
Первое решение: $(7, 6)$.

2. Если $y_2 = 9$, то $x_2 = 2 \cdot 9 - 5 = 18 - 5 = 13$.
Второе решение: $(13, 9)$.

Проверка подтверждает, что обе пары чисел являются решениями системы.
Ответ: $(7, 6), (13, 9)$.

Помогло решение? Оставьте отзыв в комментариях ниже.

Присоединяйтесь к Телеграм-группе @gdz_by_belarus

Присоединиться

Мы подготовили для вас ответ c подробным объяснением домашего задания по алгебре за 10 класс, для упражнения номер 1.516 расположенного на странице 152 к учебнику 2019 года издания для учащихся школ и гимназий.

Теперь на нашем сайте ГДЗ.ТОП вы всегда легко и бесплатно найдёте условие с правильным ответом на вопрос «Как решить ДЗ» и «Как сделать» задание по алгебре к упражнению №1.516 (с. 152), авторов: Арефьева (Ирина Глебовна), Пирютко (Ольга Николаевна), учебного пособия издательства Народная асвета.