Номер 1.88, страница 42 - гдз по алгебре 10 класс учебник Арефьева, Пирютко
Авторы: Арефьева И. Г., Пирютко О. Н.
Тип: Учебник
Издательство: Народная асвета
Год издания: 2019 - 2026
Цвет обложки: голубой с графиком
Допущено Министерством образования Республики Беларусь
Популярные ГДЗ в 10 классе
Глава 1. Тригонометрия. Параграф 3. Определение тангенса и котангенса произвольного угла - номер 1.88, страница 42.
№1.88 (с. 42)
Условие. №1.88 (с. 42)
скриншот условия
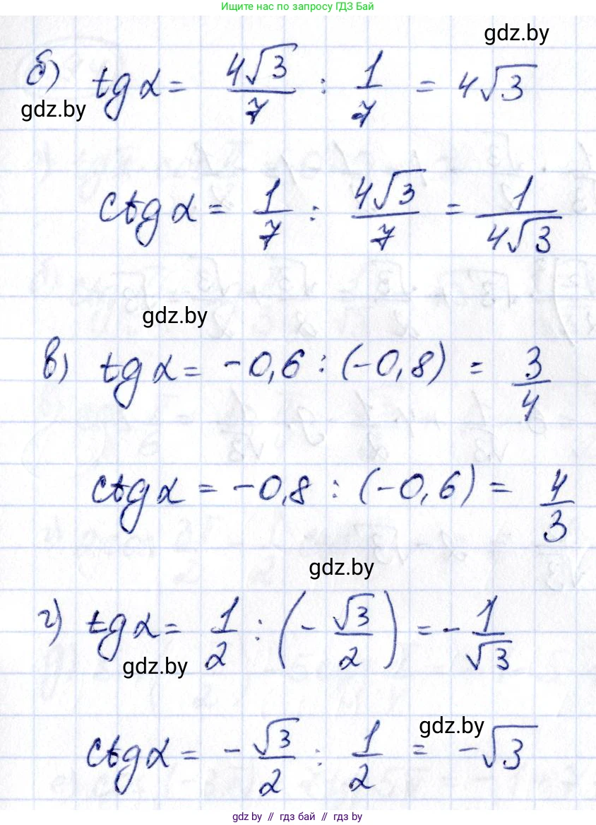
1.88. Используя определение тангенса и котангенса произвольного угла, найдите $\text{tg}\alpha$ и $\text{ctg}\alpha$, если известно, что точка $P_\alpha$ единичной окружности имеет координаты:
а) $P_\alpha \left(\frac{5}{13}; -\frac{12}{13}\right)$;
б) $P_\alpha \left(\frac{1}{7}; \frac{4\sqrt{3}}{7}\right)$;
в) $P_\alpha (-0,8; -0,6)$;
г) $P_\alpha \left(-\frac{\sqrt{3}}{2}; \frac{1}{2}\right)$.
Решение. №1.88 (с. 42)
Решение 2. №1.88 (с. 42)
Для нахождения тангенса и котангенса угла $\alpha$ по координатам точки $P_\alpha(x; y)$ на единичной окружности используются следующие определения. Координаты точки на единичной окружности связаны с тригонометрическими функциями угла $\alpha$ соотношениями: $x = \cos(\alpha)$ и $y = \sin(\alpha)$.
Тангенс угла определяется как отношение синуса к косинусу:
$\tan(\alpha) = \frac{\sin(\alpha)}{\cos(\alpha)} = \frac{y}{x}$
Котангенс угла определяется как отношение косинуса к синусу:
$\cot(\alpha) = \frac{\cos(\alpha)}{\sin(\alpha)} = \frac{x}{y}$
Применим эти формулы для каждого случая.
а) Дана точка $P_\alpha \left(\frac{5}{13}; -\frac{12}{13}\right)$. Следовательно, $x = \frac{5}{13}$ и $y = -\frac{12}{13}$.
$\tan(\alpha) = \frac{y}{x} = \frac{-12/13}{5/13} = -\frac{12}{5}$. Преобразуем неправильную дробь в смешанное число: $-\frac{12}{5} = -2\frac{2}{5}$.
$\cot(\alpha) = \frac{x}{y} = \frac{5/13}{-12/13} = -\frac{5}{12}$.
Ответ: $\tan(\alpha) = \textbf{-2}\frac{2}{5}$, $\cot(\alpha) = -\frac{5}{12}$.
б) Дана точка $P_\alpha \left(\frac{1}{7}; \frac{4\sqrt{3}}{7}\right)$. Следовательно, $x = \frac{1}{7}$ и $y = \frac{4\sqrt{3}}{7}$.
$\tan(\alpha) = \frac{y}{x} = \frac{(4\sqrt{3})/7}{1/7} = 4\sqrt{3}$.
$\cot(\alpha) = \frac{x}{y} = \frac{1/7}{(4\sqrt{3})/7} = \frac{1}{4\sqrt{3}}$. Для избавления от иррациональности в знаменателе домножим числитель и знаменатель на $\sqrt{3}$: $\frac{1 \cdot \sqrt{3}}{4\sqrt{3} \cdot \sqrt{3}} = \frac{\sqrt{3}}{4 \cdot 3} = \frac{\sqrt{3}}{12}$.
Ответ: $\tan(\alpha) = 4\sqrt{3}$, $\cot(\alpha) = \frac{\sqrt{3}}{12}$.
в) Дана точка $P_\alpha (-0,8; -0,6)$. Переведем десятичные дроби в обыкновенные для удобства вычислений: $x = -0,8 = -\frac{8}{10} = -\frac{4}{5}$ и $y = -0,6 = -\frac{6}{10} = -\frac{3}{5}$.
$\tan(\alpha) = \frac{y}{x} = \frac{-3/5}{-4/5} = \frac{3}{4}$.
$\cot(\alpha) = \frac{x}{y} = \frac{-4/5}{-3/5} = \frac{4}{3}$. Преобразуем неправильную дробь в смешанное число: $\frac{4}{3} = 1\frac{1}{3}$.
Ответ: $\tan(\alpha) = \frac{3}{4}$, $\cot(\alpha) = \textbf{1}\frac{1}{3}$.
г) Дана точка $P_\alpha \left(-\frac{\sqrt{3}}{2}; \frac{1}{2}\right)$. Следовательно, $x = -\frac{\sqrt{3}}{2}$ и $y = \frac{1}{2}$.
$\tan(\alpha) = \frac{y}{x} = \frac{1/2}{-\sqrt{3}/2} = -\frac{1}{\sqrt{3}}$. Избавимся от иррациональности в знаменателе: $-\frac{1 \cdot \sqrt{3}}{\sqrt{3} \cdot \sqrt{3}} = -\frac{\sqrt{3}}{3}$.
$\cot(\alpha) = \frac{x}{y} = \frac{-\sqrt{3}/2}{1/2} = -\sqrt{3}$.
Ответ: $\tan(\alpha) = -\frac{\sqrt{3}}{3}$, $\cot(\alpha) = -\sqrt{3}$.
Другие задания:
Помогло решение? Оставьте отзыв в комментариях ниже.
Присоединяйтесь к Телеграм-группе @gdz_by_belarus
ПрисоединитьсяМы подготовили для вас ответ c подробным объяснением домашего задания по алгебре за 10 класс, для упражнения номер 1.88 расположенного на странице 42 к учебнику 2019 года издания для учащихся школ и гимназий.
Теперь на нашем сайте ГДЗ.ТОП вы всегда легко и бесплатно найдёте условие с правильным ответом на вопрос «Как решить ДЗ» и «Как сделать» задание по алгебре к упражнению №1.88 (с. 42), авторов: Арефьева (Ирина Глебовна), Пирютко (Ольга Николаевна), учебного пособия издательства Народная асвета.