Номер 2.99, страница 180 - гдз по алгебре 10 класс учебник Арефьева, Пирютко

Алгебра, 10 класс Учебник, авторы: Арефьева Ирина Глебовна, Пирютко Ольга Николаевна, издательство Народная асвета, Минск, 2019, голубого цвета

Авторы: Арефьева И. Г., Пирютко О. Н.

Тип: Учебник

Издательство: Народная асвета

Год издания: 2019 - 2026

Цвет обложки: голубой с графиком

Допущено Министерством образования Республики Беларусь

Популярные ГДЗ в 10 классе

Глава 2. Корень n-й степени из числа. Параграф 14. Свойства корней n-й степени (n>1, n∈N) - номер 2.99, страница 180.

№2.99 (с. 180)
Условие. №2.99 (с. 180)
скриншот условия
Алгебра, 10 класс Учебник, авторы: Арефьева Ирина Глебовна, Пирютко Ольга Николаевна, издательство Народная асвета, Минск, 2019, голубого цвета, страница 180, номер 2.99, Условие

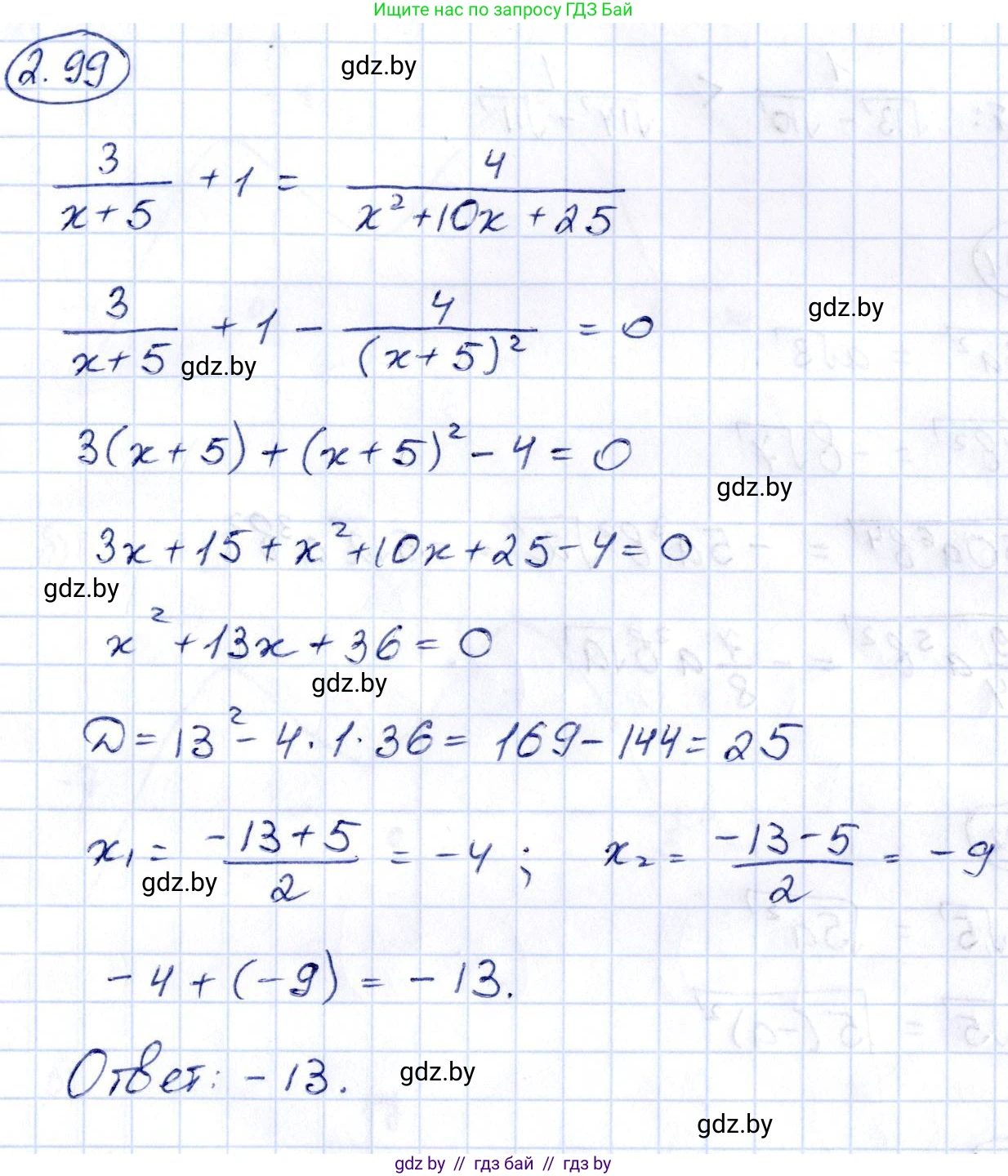
2.99. Найдите сумму корней уравнения $\frac{3}{x+5} + 1 = \frac{4}{x^2+10x+25}$.

Решение. №2.99 (с. 180)
Алгебра, 10 класс Учебник, авторы: Арефьева Ирина Глебовна, Пирютко Ольга Николаевна, издательство Народная асвета, Минск, 2019, голубого цвета, страница 180, номер 2.99, Решение
Решение 2. №2.99 (с. 180)

Для решения данного уравнения, сначала приведем его к общему знаменателю. Заметим, что знаменатель в правой части уравнения является полным квадратом:

$x^2 + 10x + 25 = x^2 + 2 \cdot x \cdot 5 + 5^2 = (x+5)^2$

Следовательно, исходное уравнение можно переписать в виде:

$\frac{3}{x+5} + 1 = \frac{4}{(x+5)^2}$

Область допустимых значений (ОДЗ) для этого уравнения определяется условием, что знаменатели не должны быть равны нулю:

$x+5 \neq 0$, откуда $x \neq -5$.

Теперь умножим обе части уравнения на общий знаменатель $(x+5)^2$, чтобы избавиться от дробей (при условии, что $x \neq -5$):

$(x+5)^2 \cdot \left( \frac{3}{x+5} \right) + (x+5)^2 \cdot 1 = (x+5)^2 \cdot \frac{4}{(x+5)^2}$

$3(x+5) + (x+5)^2 = 4$

Раскроем скобки и приведем подобные слагаемые:

$3x + 15 + (x^2 + 10x + 25) = 4$

$x^2 + (3x + 10x) + (15 + 25) = 4$

$x^2 + 13x + 40 = 4$

Перенесем все члены в левую часть, чтобы получить стандартное квадратное уравнение:

$x^2 + 13x + 36 = 0$

Чтобы найти сумму корней этого уравнения, можно воспользоваться теоремой Виета. Для квадратного уравнения вида $ax^2 + bx + c = 0$ сумма корней $x_1 + x_2$ равна $-\frac{b}{a}$.

В нашем случае $a=1$, $b=13$, $c=36$. Таким образом, сумма корней равна:

$x_1 + x_2 = -\frac{13}{1} = -13$

Необходимо убедиться, что полученные корни не противоречат ОДЗ ($x \neq -5$). Найдем сами корни. По теореме Виета, их произведение $x_1 \cdot x_2 = \frac{c}{a} = 36$. Подбираем два числа, сумма которых равна -13, а произведение 36. Эти числа -4 и -9.

Корни уравнения: $x_1 = -4$ и $x_2 = -9$.

Оба корня удовлетворяют условию ОДЗ, так как $-4 \neq -5$ и $-9 \neq -5$.

Следовательно, сумма корней исходного уравнения равна -13.

Сумма корней уравнения Ответ: -13

Помогло решение? Оставьте отзыв в комментариях ниже.

Присоединяйтесь к Телеграм-группе @gdz_by_belarus

Присоединиться

Мы подготовили для вас ответ c подробным объяснением домашего задания по алгебре за 10 класс, для упражнения номер 2.99 расположенного на странице 180 к учебнику 2019 года издания для учащихся школ и гимназий.

Теперь на нашем сайте ГДЗ.ТОП вы всегда легко и бесплатно найдёте условие с правильным ответом на вопрос «Как решить ДЗ» и «Как сделать» задание по алгебре к упражнению №2.99 (с. 180), авторов: Арефьева (Ирина Глебовна), Пирютко (Ольга Николаевна), учебного пособия издательства Народная асвета.