Номер 2.120, страница 186 - гдз по алгебре 10 класс учебник Арефьева, Пирютко

Алгебра, 10 класс Учебник, авторы: Арефьева Ирина Глебовна, Пирютко Ольга Николаевна, издательство Народная асвета, Минск, 2019, голубого цвета

Авторы: Арефьева И. Г., Пирютко О. Н.

Тип: Учебник

Издательство: Народная асвета

Год издания: 2019 - 2026

Цвет обложки: голубой с графиком

Допущено Министерством образования Республики Беларусь

Популярные ГДЗ в 10 классе

Глава 2. Корень n-й степени из числа. Параграф 15. Применение свойств корней n-й степени для преобразования выражений - номер 2.120, страница 186.

№2.120 (с. 186)
Условие. №2.120 (с. 186)
скриншот условия
Алгебра, 10 класс Учебник, авторы: Арефьева Ирина Глебовна, Пирютко Ольга Николаевна, издательство Народная асвета, Минск, 2019, голубого цвета, страница 186, номер 2.120, Условие

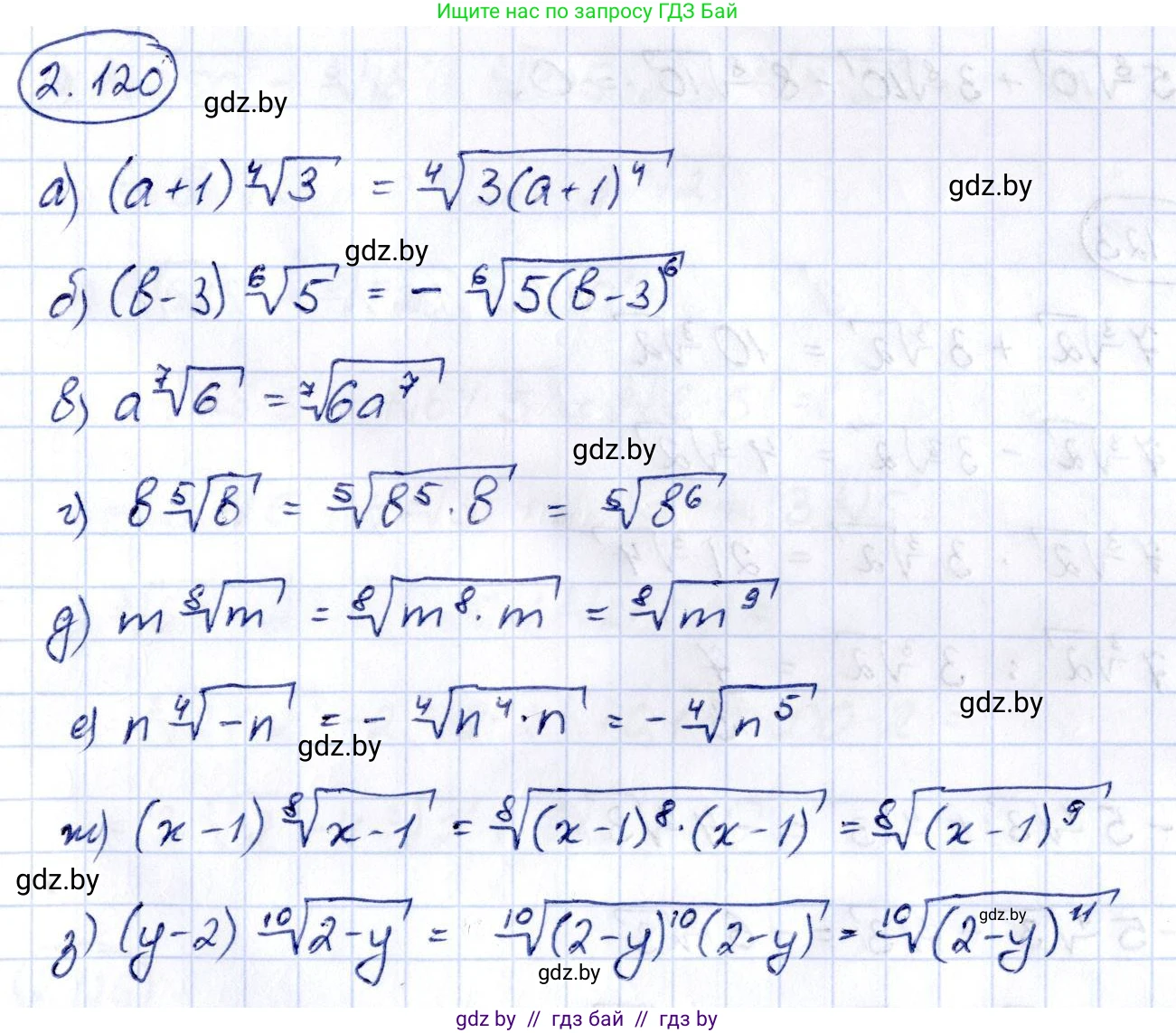
2.120. Внесите множитель под знак корня:

а) $(a+1)\sqrt[4]{3}$, если $a > -1$;

б) $(b-3)\sqrt[6]{5}$, если $b \le 3$;

в) $a^7\sqrt{6}$;

г) $b^5\sqrt{b}$;

д) $m^8\sqrt{m}$;

е) $n^4\sqrt{-n}$;

ж) $(x-1)\sqrt[8]{x-1}$;

з) $(y-2)\sqrt[10]{2-y}$.

Решение. №2.120 (с. 186)
Алгебра, 10 класс Учебник, авторы: Арефьева Ирина Глебовна, Пирютко Ольга Николаевна, издательство Народная асвета, Минск, 2019, голубого цвета, страница 186, номер 2.120, Решение
Решение 2. №2.120 (с. 186)

а) Поскольку по условию $a > -1$, то выражение $(a+1)$ является положительным. Для того чтобы внести положительный множитель под знак корня четной степени (в данном случае степень корня равна 4), нужно возвести этот множитель в степень, равную показателю корня, и записать результат под знаком корня.
$(a+1)\sqrt[4]{3} = \sqrt[4]{(a+1)^4 \cdot 3} = \sqrt[4]{3(a+1)^4}$.
Ответ: $\sqrt[4]{3(a+1)^4}$.

б) По условию $b \le 3$, следовательно, выражение $(b-3)$ является неположительным ($b-3 \le 0$). Чтобы внести отрицательный множитель под знак корня четной степени (степень корня 6), нужно поставить знак "минус" перед корнем, а под корень внести модуль этого множителя, возведенный в степень, равную показателю корня. Модуль выражения $(b-3)$ при $b \le 3$ равен $-(b-3) = 3-b$.
$(b-3)\sqrt[6]{5} = -(3-b)\sqrt[6]{5} = -\sqrt[6]{(3-b)^6 \cdot 5} = -\sqrt[6]{5(3-b)^6}$.
Ответ: $-\sqrt[6]{5(3-b)^6}$.

в) Показатель корня $n=7$ является нечетным числом. При внесении множителя под знак корня нечетной степени, множитель возводится в эту степень и вносится под корень независимо от его знака.
$a^7\sqrt[7]{6} = \sqrt[7]{(a^7)^7 \cdot 6} = \sqrt[7]{a^{7 \cdot 7} \cdot 6} = \sqrt[7]{6a^{49}}$.
Ответ: $\sqrt[7]{6a^{49}}$.

г) Показатель корня $n=5$ является нечетным. Следовательно, множитель $b^5$ вносится под знак корня путем возведения его в 5-ю степень.
$b^5\sqrt[5]{b} = \sqrt[5]{(b^5)^5 \cdot b} = \sqrt[5]{b^{25} \cdot b^1} = \sqrt[5]{b^{26}}$.
Ответ: $\sqrt[5]{b^{26}}$.

д) Показатель корня $n=8$ является четным. Для существования выражения $\sqrt[8]{m}$, необходимо, чтобы $m \ge 0$. Множитель $m^8$ всегда неотрицателен, так как возводится в четную степень. Вносим его под знак корня.
$m^8\sqrt[8]{m} = \sqrt[8]{(m^8)^8 \cdot m} = \sqrt[8]{m^{64} \cdot m^1} = \sqrt[8]{m^{65}}$.
Ответ: $\sqrt[8]{m^{65}}$.

е) Показатель корня $n=4$ — четное число. Для того чтобы выражение $\sqrt[4]{-n}$ имело смысл в действительных числах, подкоренное выражение должно быть неотрицательным: $-n \ge 0$, откуда $n \le 0$.
Следовательно, множитель $n$ является неположительным. Для внесения его под знак корня четной степени, ставим минус перед корнем, а под корень вносим модуль множителя $|n| = -n$, возведенный в 4-ю степень.
$n\sqrt[4]{-n} = -(-n)\sqrt[4]{-n} = -\sqrt[4]{(-n)^4 \cdot (-n)} = -\sqrt[4]{n^4 \cdot (-n)} = -\sqrt[4]{-n^5}$.
Ответ: $-\sqrt[4]{-n^5}$.

ж) Показатель корня $n=8$ — четное число. Для существования выражения $\sqrt[8]{x-1}$, необходимо, чтобы $x-1 \ge 0$, то есть $x \ge 1$.
При этом условии множитель $(x-1)$ является неотрицательным. Вносим его под знак корня.
$(x-1)\sqrt[8]{x-1} = \sqrt[8]{(x-1)^1 \cdot (x-1)^8} = \sqrt[8]{(x-1)^{1+8}} = \sqrt[8]{(x-1)^9}$.
Ответ: $\sqrt[8]{(x-1)^9}$.

з) Показатель корня $n=10$ — четное число. Для существования выражения $\sqrt[10]{2-y}$, необходимо, чтобы $2-y \ge 0$, то есть $y \le 2$.
При этом условии множитель $(y-2)$ является неположительным ($y-2 \le 0$). Поэтому, чтобы внести его под знак корня, ставим знак "минус" перед корнем, а под корень вносим модуль множителя $|y-2| = -(y-2) = 2-y$, возведенный в 10-ю степень.
$(y-2)\sqrt[10]{2-y} = -(2-y)\sqrt[10]{2-y} = -\sqrt[10]{(2-y)^{10} \cdot (2-y)} = -\sqrt[10]{(2-y)^{11}}$.
Ответ: $-\sqrt[10]{(2-y)^{11}}$.

Помогло решение? Оставьте отзыв в комментариях ниже.

Присоединяйтесь к Телеграм-группе @gdz_by_belarus

Присоединиться

Мы подготовили для вас ответ c подробным объяснением домашего задания по алгебре за 10 класс, для упражнения номер 2.120 расположенного на странице 186 к учебнику 2019 года издания для учащихся школ и гимназий.

Теперь на нашем сайте ГДЗ.ТОП вы всегда легко и бесплатно найдёте условие с правильным ответом на вопрос «Как решить ДЗ» и «Как сделать» задание по алгебре к упражнению №2.120 (с. 186), авторов: Арефьева (Ирина Глебовна), Пирютко (Ольга Николаевна), учебного пособия издательства Народная асвета.