Номер 2.139, страница 188 - гдз по алгебре 10 класс учебник Арефьева, Пирютко

Алгебра, 10 класс Учебник, авторы: Арефьева Ирина Глебовна, Пирютко Ольга Николаевна, издательство Народная асвета, Минск, 2019, голубого цвета

Авторы: Арефьева И. Г., Пирютко О. Н.

Тип: Учебник

Издательство: Народная асвета

Год издания: 2019 - 2026

Цвет обложки: голубой с графиком

Допущено Министерством образования Республики Беларусь

Популярные ГДЗ в 10 классе

Глава 2. Корень n-й степени из числа. Параграф 15. Применение свойств корней n-й степени для преобразования выражений - номер 2.139, страница 188.

№2.139 (с. 188)
Условие. №2.139 (с. 188)
скриншот условия
Алгебра, 10 класс Учебник, авторы: Арефьева Ирина Глебовна, Пирютко Ольга Николаевна, издательство Народная асвета, Минск, 2019, голубого цвета, страница 188, номер 2.139, Условие

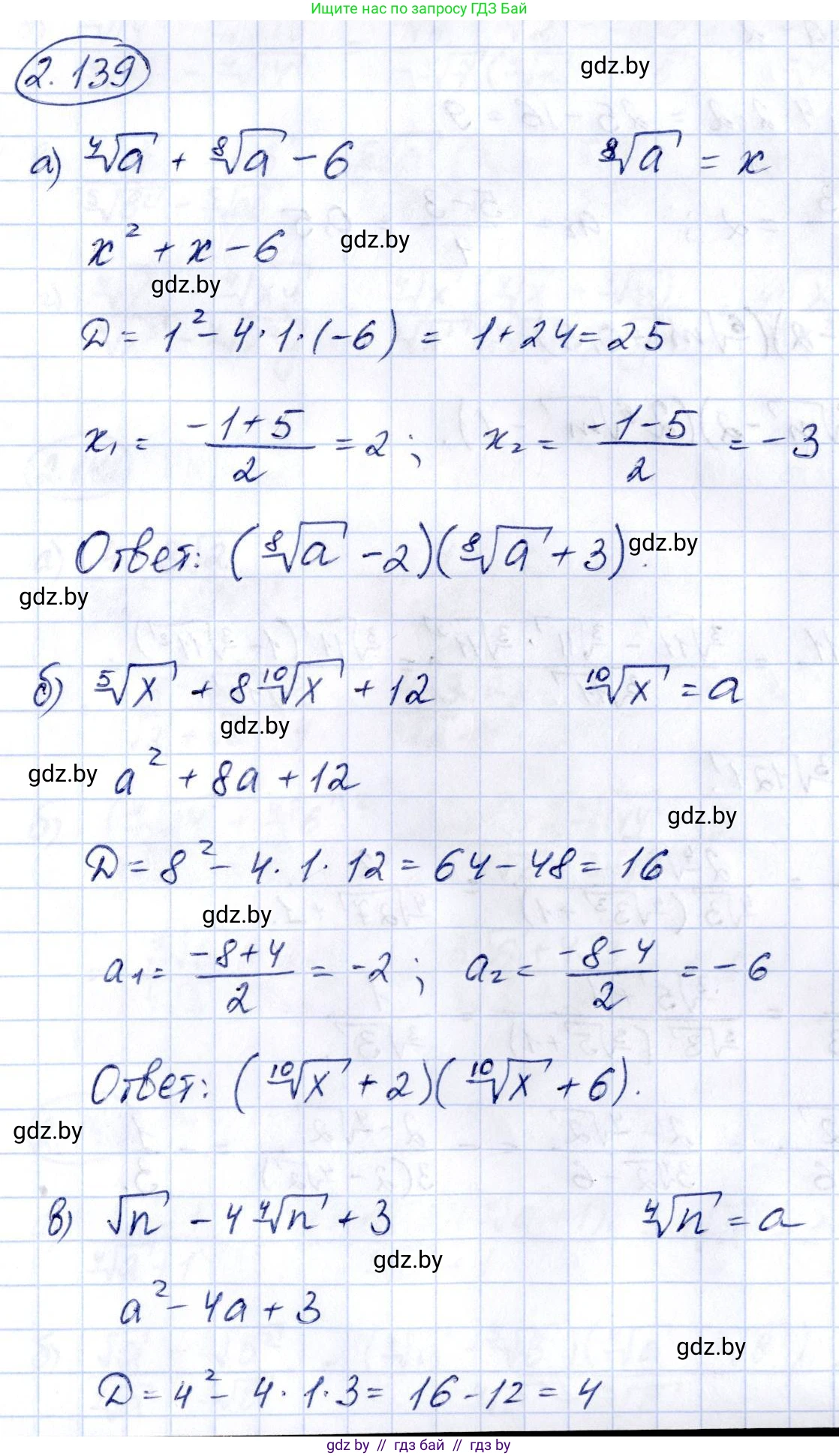
2.139. Разложите на множители сумму:

а) $ \sqrt[4]{a} + \sqrt[8]{a} - 6; $

б) $ \sqrt[5]{x} + 8\sqrt[10]{x} + 12; $

в) $ \sqrt{n} - 4\sqrt[4]{n} + 3; $

г) $ 2\sqrt[3]{m} - 5\sqrt[6]{m} + 2. $

Решение. №2.139 (с. 188)
Алгебра, 10 класс Учебник, авторы: Арефьева Ирина Глебовна, Пирютко Ольга Николаевна, издательство Народная асвета, Минск, 2019, голубого цвета, страница 188, номер 2.139, Решение Алгебра, 10 класс Учебник, авторы: Арефьева Ирина Глебовна, Пирютко Ольга Николаевна, издательство Народная асвета, Минск, 2019, голубого цвета, страница 188, номер 2.139, Решение (продолжение 2)
Решение 2. №2.139 (с. 188)

а) Для разложения на множители выражения $\sqrt[4]{a} + \sqrt[8]{a} - 6$ воспользуемся методом замены переменной.
Заметим, что $\sqrt[4]{a} = a^{1/4} = (a^{1/8})^2 = (\sqrt[8]{a})^2$.
Пусть $y = \sqrt[8]{a}$. Тогда $\sqrt[4]{a} = y^2$. При этом, поскольку корень четной степени, должно выполняться условие $a \ge 0$, и, следовательно, $y \ge 0$.
Подставим новую переменную в исходное выражение, чтобы получить квадратный трехчлен:
$y^2 + y - 6$
Разложим его на множители. Для этого найдем два числа, произведение которых равно $-6$, а сумма равна $1$. Это числа $3$ и $-2$.
Следовательно, разложение трехчлена на множители имеет вид:
$y^2 + y - 6 = (y + 3)(y - 2)$
Теперь выполним обратную замену, подставив $y = \sqrt[8]{a}$:
$(\sqrt[8]{a} + 3)(\sqrt[8]{a} - 2)$
Ответ: $(\sqrt[8]{a} + 3)(\sqrt[8]{a} - 2)$

б) Рассмотрим выражение $\sqrt[5]{x} + 8\sqrt[10]{x} + 12$.
Здесь можно заметить, что $\sqrt[5]{x} = x^{1/5} = (x^{1/10})^2 = (\sqrt[10]{x})^2$.
Сделаем замену переменной: пусть $y = \sqrt[10]{x}$. Тогда $y^2 = \sqrt[5]{x}$. Условие $x \ge 0$ и $y \ge 0$.
Выражение принимает вид квадратного трехчлена:
$y^2 + 8y + 12$
Разложим его на множители. Найдем два числа, произведение которых равно $12$, а сумма равна $8$. Это числа $2$ и $6$.
Таким образом, разложение имеет вид:
$y^2 + 8y + 12 = (y + 2)(y + 6)$
Выполним обратную замену $y = \sqrt[10]{x}$:
$(\sqrt[10]{x} + 2)(\sqrt[10]{x} + 6)$
Ответ: $(\sqrt[10]{x} + 6)(\sqrt[10]{x} + 2)$

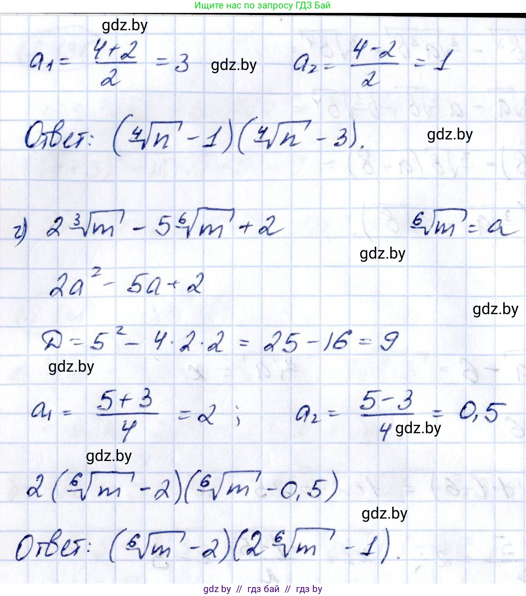
в) Для разложения выражения $\sqrt{n} - 4\sqrt[4]{n} + 3$ на множители, заметим, что $\sqrt{n} = (\sqrt[4]{n})^2$.
Введем замену: пусть $y = \sqrt[4]{n}$. Тогда $y^2 = \sqrt{n}$. Условия: $n \ge 0$, $y \ge 0$.
Получим квадратный трехчлен:
$y^2 - 4y + 3$
Разложим его на множители. Найдем два числа, произведение которых равно $3$, а сумма равна $-4$. Это числа $-1$ и $-3$.
Таким образом:
$y^2 - 4y + 3 = (y - 1)(y - 3)$
Произведем обратную замену $y = \sqrt[4]{n}$:
$(\sqrt[4]{n} - 1)(\sqrt[4]{n} - 3)$
Ответ: $(\sqrt[4]{n} - 1)(\sqrt[4]{n} - 3)$

г) Рассмотрим выражение $2\sqrt[3]{m} - 5\sqrt[6]{m} + 2$.
Заметим, что $\sqrt[3]{m} = (\sqrt[6]{m})^2$.
Выполним замену: пусть $y = \sqrt[6]{m}$. Тогда $y^2 = \sqrt[3]{m}$. Условия: $m \ge 0$, $y \ge 0$.
Получим квадратный трехчлен:
$2y^2 - 5y + 2$
Для разложения на множители найдем корни квадратного уравнения $2y^2 - 5y + 2 = 0$.
Вычислим дискриминант: $D = b^2 - 4ac = (-5)^2 - 4 \cdot 2 \cdot 2 = 25 - 16 = 9$.
Корни уравнения:
$y_1 = \frac{-b + \sqrt{D}}{2a} = \frac{5 + \sqrt{9}}{2 \cdot 2} = \frac{5 + 3}{4} = \frac{8}{4} = 2$
$y_2 = \frac{-b - \sqrt{D}}{2a} = \frac{5 - \sqrt{9}}{2 \cdot 2} = \frac{5 - 3}{4} = \frac{2}{4} = \frac{1}{2}$
Разложение трехчлена имеет вид $a(y - y_1)(y - y_2)$:
$2(y - 2)(y - \frac{1}{2})$
Внесем множитель $2$ во вторую скобку, чтобы избавиться от дроби:
$(y - 2)(2(y - \frac{1}{2})) = (y - 2)(2y - 1)$
Выполним обратную замену $y = \sqrt[6]{m}$:
$(\sqrt[6]{m} - 2)(2\sqrt[6]{m} - 1)$
Ответ: $(\sqrt[6]{m} - 2)(2\sqrt[6]{m} - 1)$

Помогло решение? Оставьте отзыв в комментариях ниже.

Присоединяйтесь к Телеграм-группе @gdz_by_belarus

Присоединиться

Мы подготовили для вас ответ c подробным объяснением домашего задания по алгебре за 10 класс, для упражнения номер 2.139 расположенного на странице 188 к учебнику 2019 года издания для учащихся школ и гимназий.

Теперь на нашем сайте ГДЗ.ТОП вы всегда легко и бесплатно найдёте условие с правильным ответом на вопрос «Как решить ДЗ» и «Как сделать» задание по алгебре к упражнению №2.139 (с. 188), авторов: Арефьева (Ирина Глебовна), Пирютко (Ольга Николаевна), учебного пособия издательства Народная асвета.