Номер 2.166, страница 190 - гдз по алгебре 10 класс учебник Арефьева, Пирютко

Алгебра, 10 класс Учебник, авторы: Арефьева Ирина Глебовна, Пирютко Ольга Николаевна, издательство Народная асвета, Минск, 2019, голубого цвета

Авторы: Арефьева И. Г., Пирютко О. Н.

Тип: Учебник

Издательство: Народная асвета

Год издания: 2019 - 2026

Цвет обложки: голубой с графиком

Допущено Министерством образования Республики Беларусь

Популярные ГДЗ в 10 классе

Глава 2. Корень n-й степени из числа. Параграф 15. Применение свойств корней n-й степени для преобразования выражений - номер 2.166, страница 190.

№2.166 (с. 190)
Условие. №2.166 (с. 190)
скриншот условия
Алгебра, 10 класс Учебник, авторы: Арефьева Ирина Глебовна, Пирютко Ольга Николаевна, издательство Народная асвета, Минск, 2019, голубого цвета, страница 190, номер 2.166, Условие

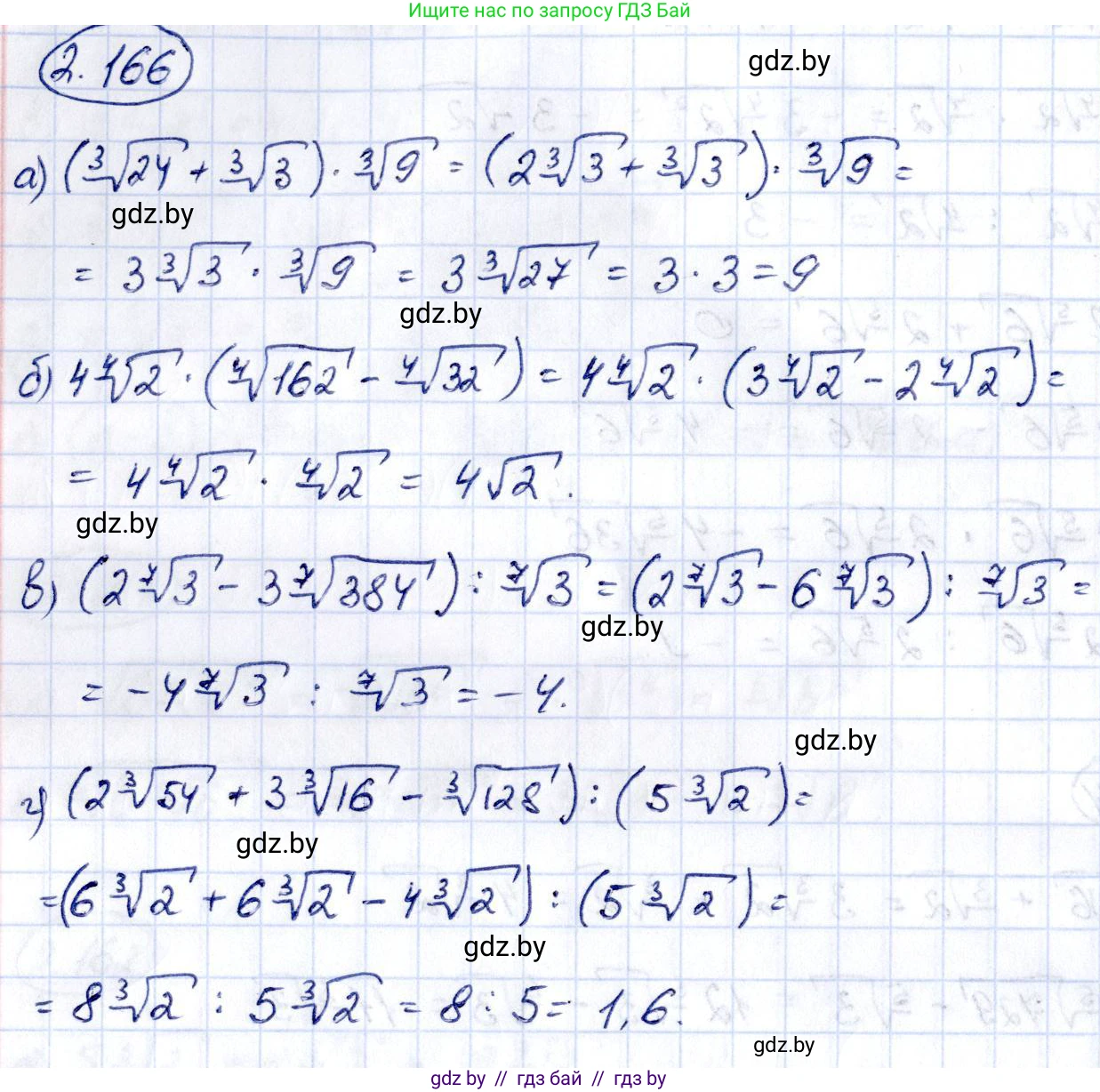
2.166. Упростите выражение:

a) $( \sqrt[3]{24} + \sqrt[3]{3} ) \cdot \sqrt[3]{9}$;

б) $4 \sqrt[4]{2} \cdot ( \sqrt[4]{162} - \sqrt[4]{32} )$;

в) $( 2 \sqrt[7]{3} - 3 \sqrt[7]{384} ) : \sqrt[7]{3}$;

г) $( 2 \sqrt[3]{54} + 3 \sqrt[3]{16} - \sqrt[3]{128} ) : ( 5 \sqrt[3]{2} )$.

Решение. №2.166 (с. 190)
Алгебра, 10 класс Учебник, авторы: Арефьева Ирина Глебовна, Пирютко Ольга Николаевна, издательство Народная асвета, Минск, 2019, голубого цвета, страница 190, номер 2.166, Решение
Решение 2. №2.166 (с. 190)

а) Для упрощения выражения $(\sqrt[3]{24} + \sqrt[3]{3}) \cdot \sqrt[3]{9}$ сначала вынесем множители из-под знака корня в скобках.
$\sqrt[3]{24} = \sqrt[3]{8 \cdot 3} = \sqrt[3]{2^3 \cdot 3} = 2\sqrt[3]{3}$.
Теперь выражение в скобках принимает вид:
$2\sqrt[3]{3} + \sqrt[3]{3} = (2+1)\sqrt[3]{3} = 3\sqrt[3]{3}$.
Умножим полученный результат на $\sqrt[3]{9}$:
$3\sqrt[3]{3} \cdot \sqrt[3]{9} = 3\sqrt[3]{3 \cdot 9} = 3\sqrt[3]{27} = 3 \cdot 3 = 9$.
Ответ: 9.

б) Упростим выражение $4\sqrt[4]{2} \cdot (\sqrt[4]{162} - \sqrt[4]{32})$. Сначала упростим корни в скобках, вынеся множители из-под знака корня.
$\sqrt[4]{162} = \sqrt[4]{81 \cdot 2} = \sqrt[4]{3^4 \cdot 2} = 3\sqrt[4]{2}$.
$\sqrt[4]{32} = \sqrt[4]{16 \cdot 2} = \sqrt[4]{2^4 \cdot 2} = 2\sqrt[4]{2}$.
Подставим упрощенные значения обратно в выражение:
$4\sqrt[4]{2} \cdot (3\sqrt[4]{2} - 2\sqrt[4]{2}) = 4\sqrt[4]{2} \cdot ((3-2)\sqrt[4]{2}) = 4\sqrt[4]{2} \cdot \sqrt[4]{2}$.
Перемножим корни, используя свойство $\sqrt[n]{a} \cdot \sqrt[n]{b} = \sqrt[n]{ab}$:
$4\sqrt[4]{2} \cdot \sqrt[4]{2} = 4\sqrt[4]{2 \cdot 2} = 4\sqrt[4]{4} = 4 \cdot 4^{1/4} = 4 \cdot (2^2)^{1/4} = 4 \cdot 2^{2/4} = 4 \cdot 2^{1/2} = 4\sqrt{2}$.
Ответ: $4\sqrt{2}$.

в) Упростим выражение $(2\sqrt[7]{3} - 3\sqrt[7]{384}) : \sqrt[7]{3}$. Для начала упростим корень $\sqrt[7]{384}$, вынеся множитель из-под знака корня.
$\sqrt[7]{384} = \sqrt[7]{128 \cdot 3} = \sqrt[7]{2^7 \cdot 3} = 2\sqrt[7]{3}$.
Подставим это в исходное выражение:
$(2\sqrt[7]{3} - 3 \cdot 2\sqrt[7]{3}) : \sqrt[7]{3} = (2\sqrt[7]{3} - 6\sqrt[7]{3}) : \sqrt[7]{3}$.
Выполним вычитание в скобках:
$(2-6)\sqrt[7]{3} : \sqrt[7]{3} = -4\sqrt[7]{3} : \sqrt[7]{3}$.
Теперь выполним деление:
$\frac{-4\sqrt[7]{3}}{\sqrt[7]{3}} = -4$.
Ответ: -4.

г) Упростим выражение $(2\sqrt[3]{54} + 3\sqrt[3]{16} - \sqrt[3]{128}) : (5\sqrt[3]{2})$. Сначала упростим каждый корень в первой скобке.
$2\sqrt[3]{54} = 2\sqrt[3]{27 \cdot 2} = 2 \cdot 3\sqrt[3]{2} = 6\sqrt[3]{2}$.
$3\sqrt[3]{16} = 3\sqrt[3]{8 \cdot 2} = 3 \cdot 2\sqrt[3]{2} = 6\sqrt[3]{2}$.
$\sqrt[3]{128} = \sqrt[3]{64 \cdot 2} = 4\sqrt[3]{2}$.
Подставим упрощенные значения в первую скобку и выполним действия:
$(6\sqrt[3]{2} + 6\sqrt[3]{2} - 4\sqrt[3]{2}) = (6+6-4)\sqrt[3]{2} = 8\sqrt[3]{2}$.
Теперь разделим результат на вторую скобку:
$(8\sqrt[3]{2}) : (5\sqrt[3]{2}) = \frac{8\sqrt[3]{2}}{5\sqrt[3]{2}} = \frac{8}{5}$.
Преобразуем неправильную дробь в смешанное число, чтобы выделить целую часть:
$\frac{8}{5} = 1\frac{3}{5}$.
Ответ: $1\frac{3}{5}$.

Помогло решение? Оставьте отзыв в комментариях ниже.

Присоединяйтесь к Телеграм-группе @gdz_by_belarus

Присоединиться

Мы подготовили для вас ответ c подробным объяснением домашего задания по алгебре за 10 класс, для упражнения номер 2.166 расположенного на странице 190 к учебнику 2019 года издания для учащихся школ и гимназий.

Теперь на нашем сайте ГДЗ.ТОП вы всегда легко и бесплатно найдёте условие с правильным ответом на вопрос «Как решить ДЗ» и «Как сделать» задание по алгебре к упражнению №2.166 (с. 190), авторов: Арефьева (Ирина Глебовна), Пирютко (Ольга Николаевна), учебного пособия издательства Народная асвета.