Номер 2.181, страница 192 - гдз по алгебре 10 класс учебник Арефьева, Пирютко

Алгебра, 10 класс Учебник, авторы: Арефьева Ирина Глебовна, Пирютко Ольга Николаевна, издательство Народная асвета, Минск, 2019, голубого цвета

Авторы: Арефьева И. Г., Пирютко О. Н.

Тип: Учебник

Издательство: Народная асвета

Год издания: 2019 - 2026

Цвет обложки: голубой с графиком

Допущено Министерством образования Республики Беларусь

Популярные ГДЗ в 10 классе

Глава 2. Корень n-й степени из числа. Параграф 15. Применение свойств корней n-й степени для преобразования выражений - номер 2.181, страница 192.

№2.181 (с. 192)
Условие. №2.181 (с. 192)
скриншот условия
Алгебра, 10 класс Учебник, авторы: Арефьева Ирина Глебовна, Пирютко Ольга Николаевна, издательство Народная асвета, Минск, 2019, голубого цвета, страница 192, номер 2.181, Условие

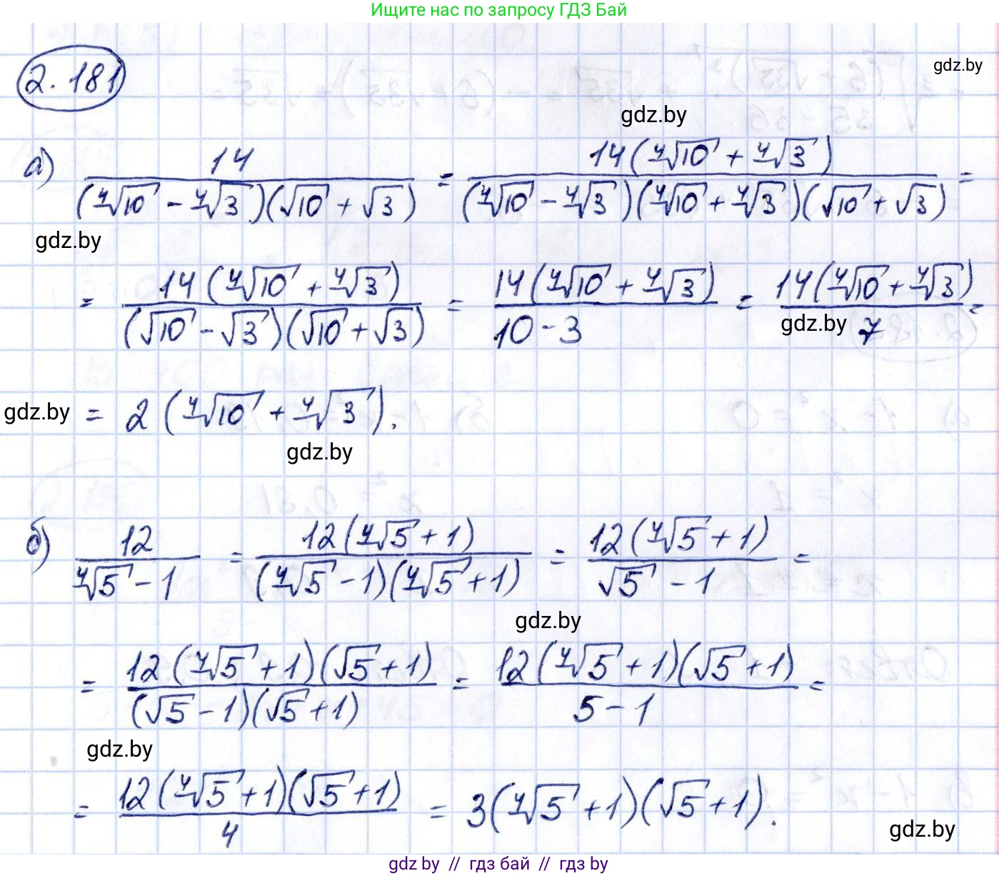
2.181. Избавьтесь от иррациональности в знаменателе дроби:

а) $\frac{14}{(\sqrt[4]{10} - \sqrt{3})(\sqrt{10} + \sqrt{3})}$;

б)* $\frac{12}{\sqrt[4]{5} - 1}$.

Решение. №2.181 (с. 192)
Алгебра, 10 класс Учебник, авторы: Арефьева Ирина Глебовна, Пирютко Ольга Николаевна, издательство Народная асвета, Минск, 2019, голубого цвета, страница 192, номер 2.181, Решение
Решение 2. №2.181 (с. 192)

а) Рассмотрим выражение $ \frac{14}{(\sqrt[4]{10} - \sqrt{3})(\sqrt{10} + \sqrt{3})} $.

В знаменателе этого выражения, скорее всего, допущена опечатка. Наиболее вероятно, что имелось в виду выражение $ (\sqrt{10} - \sqrt{3})(\sqrt{10} + \sqrt{3}) $, так как в таком виде задача решается стандартным методом. Примем это допущение.

Исправленное выражение: $ \frac{14}{(\sqrt{10} - \sqrt{3})(\sqrt{10} + \sqrt{3})} $.

Знаменатель $ (\sqrt{10} - \sqrt{3})(\sqrt{10} + \sqrt{3}) $ является произведением разности и суммы, что соответствует формуле разности квадратов $ (a-b)(a+b) = a^2 - b^2 $.

Применим эту формулу, где $ a = \sqrt{10} $ и $ b = \sqrt{3} $:

$ (\sqrt{10})^2 - (\sqrt{3})^2 = 10 - 3 = 7 $.

Подставим полученный результат в знаменатель дроби:

$ \frac{14}{7} = 2 $.

Ответ: 2

б)*

Рассмотрим выражение $ \frac{12}{\sqrt[4]{5} - 1} $.

Для того чтобы избавиться от иррациональности в знаменателе, воспользуемся формулой разности четвертых степеней: $ a^4 - b^4 = (a-b)(a+b)(a^2+b^2) $. В нашем случае $ a = \sqrt[4]{5} $ и $ b = 1 $.

Знаменатель $ \sqrt[4]{5} - 1 $ является множителем $ (a-b) $. Чтобы получить в знаменателе выражение $ a^4 - b^4 $, нужно домножить числитель и знаменатель дроби на произведение $ (a+b)(a^2+b^2) $.

Найдем это произведение:

$ (\sqrt[4]{5} + 1)((\sqrt[4]{5})^2 + 1^2) = (\sqrt[4]{5} + 1)(\sqrt{5} + 1) $.

Теперь домножим исходную дробь на это выражение:

$ \frac{12}{\sqrt[4]{5} - 1} = \frac{12 \cdot ((\sqrt[4]{5} + 1)(\sqrt{5} + 1))}{(\sqrt[4]{5} - 1) \cdot ((\sqrt[4]{5} + 1)(\sqrt{5} + 1))} $.

Знаменатель теперь равен $ (\sqrt[4]{5})^4 - 1^4 = 5 - 1 = 4 $.

Подставим новое значение знаменателя в дробь:

$ \frac{12(\sqrt[4]{5} + 1)(\sqrt{5} + 1)}{4} $.

Сократим числитель и знаменатель на 4:

$ 3(\sqrt[4]{5} + 1)(\sqrt{5} + 1) $.

Для получения окончательного ответа раскроем скобки:

$ 3(\sqrt[4]{5} \cdot \sqrt{5} + \sqrt[4]{5} \cdot 1 + 1 \cdot \sqrt{5} + 1 \cdot 1) = 3(5^{\frac{1}{4}} \cdot 5^{\frac{1}{2}} + \sqrt[4]{5} + \sqrt{5} + 1) $

$ = 3(5^{\frac{1}{4} + \frac{2}{4}} + \sqrt{5} + \sqrt[4]{5} + 1) = 3(5^{\frac{3}{4}} + \sqrt{5} + \sqrt[4]{5} + 1) = 3(\sqrt[4]{125} + \sqrt{5} + \sqrt[4]{5} + 1) $.

Ответ: $ 3(\sqrt[4]{125} + \sqrt{5} + \sqrt[4]{5} + 1) $

Помогло решение? Оставьте отзыв в комментариях ниже.

Присоединяйтесь к Телеграм-группе @gdz_by_belarus

Присоединиться

Мы подготовили для вас ответ c подробным объяснением домашего задания по алгебре за 10 класс, для упражнения номер 2.181 расположенного на странице 192 к учебнику 2019 года издания для учащихся школ и гимназий.

Теперь на нашем сайте ГДЗ.ТОП вы всегда легко и бесплатно найдёте условие с правильным ответом на вопрос «Как решить ДЗ» и «Как сделать» задание по алгебре к упражнению №2.181 (с. 192), авторов: Арефьева (Ирина Глебовна), Пирютко (Ольга Николаевна), учебного пособия издательства Народная асвета.