Номер 2.216, страница 201 - гдз по алгебре 10 класс учебник Арефьева, Пирютко

Алгебра, 10 класс Учебник, авторы: Арефьева Ирина Глебовна, Пирютко Ольга Николаевна, издательство Народная асвета, Минск, 2019, голубого цвета

Авторы: Арефьева И. Г., Пирютко О. Н.

Тип: Учебник

Издательство: Народная асвета

Год издания: 2019 - 2026

Цвет обложки: голубой с графиком

Допущено Министерством образования Республики Беларусь

Популярные ГДЗ в 10 классе

Глава 2. Корень n-й степени из числа. Параграф 16. Свойства и график функции y=n√x (n>1, n∈N) - номер 2.216, страница 201.

№2.216 (с. 201)
Условие. №2.216 (с. 201)
скриншот условия
Алгебра, 10 класс Учебник, авторы: Арефьева Ирина Глебовна, Пирютко Ольга Николаевна, издательство Народная асвета, Минск, 2019, голубого цвета, страница 201, номер 2.216, Условие

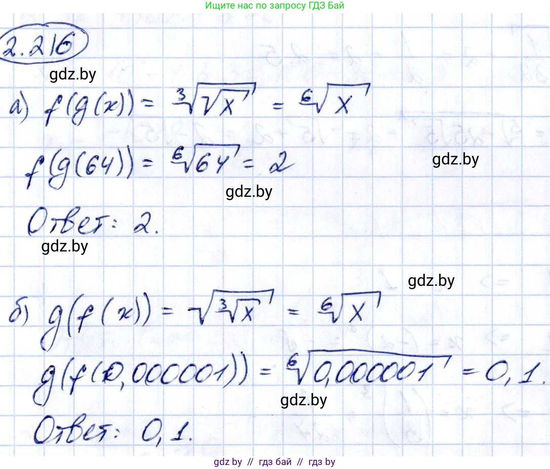
2.216*. Даны функции $f(x)=\sqrt[3]{x}$ и $g(x)=\sqrt{x}$. Найдите значение выражения:

а) $f(g(64));$

б) $g(f(0,000001)).$

Решение. №2.216 (с. 201)
Алгебра, 10 класс Учебник, авторы: Арефьева Ирина Глебовна, Пирютко Ольга Николаевна, издательство Народная асвета, Минск, 2019, голубого цвета, страница 201, номер 2.216, Решение
Решение 2. №2.216 (с. 201)

Даны функции $f(x) = \sqrt[3]{x}$ и $g(x) = \sqrt{x}$. Для нахождения значений выражений необходимо выполнить вычисления последовательно, начиная с внутренней функции.

а) $f(g(64))$

Это композиция функций, где сначала вычисляется значение функции $g(x)$ при $x=64$, а затем полученный результат подставляется в функцию $f(x)$.

  1. Найдем значение внутренней функции $g(64)$:
    $g(x) = \sqrt{x}$
    $g(64) = \sqrt{64} = 8$
  2. Теперь подставим результат (8) в качестве аргумента для внешней функции $f(x)$:
    $f(x) = \sqrt[3]{x}$
    $f(g(64)) = f(8) = \sqrt[3]{8} = 2$

Ответ: 2

б) $g(f(0,000001))$

Это композиция функций, где сначала вычисляется значение функции $f(x)$ при $x=0,000001$, а затем полученный результат подставляется в функцию $g(x)$.

  1. Найдем значение внутренней функции $f(0,000001)$. Для удобства представим десятичную дробь как степень числа 10: $0,000001 = 10^{-6}$.
    $f(x) = \sqrt[3]{x}$
    $f(0,000001) = \sqrt[3]{0,000001} = \sqrt[3]{10^{-6}} = (10^{-6})^{\frac{1}{3}} = 10^{-2} = 0,01$
  2. Теперь подставим результат (0,01) в качестве аргумента для внешней функции $g(x)$. Представим $0,01$ как $10^{-2}$.
    $g(x) = \sqrt{x}$
    $g(f(0,000001)) = g(0,01) = \sqrt{0,01} = \sqrt{10^{-2}} = (10^{-2})^{\frac{1}{2}} = 10^{-1} = 0,1$

Ответ: 0,1

Помогло решение? Оставьте отзыв в комментариях ниже.

Присоединяйтесь к Телеграм-группе @gdz_by_belarus

Присоединиться

Мы подготовили для вас ответ c подробным объяснением домашего задания по алгебре за 10 класс, для упражнения номер 2.216 расположенного на странице 201 к учебнику 2019 года издания для учащихся школ и гимназий.

Теперь на нашем сайте ГДЗ.ТОП вы всегда легко и бесплатно найдёте условие с правильным ответом на вопрос «Как решить ДЗ» и «Как сделать» задание по алгебре к упражнению №2.216 (с. 201), авторов: Арефьева (Ирина Глебовна), Пирютко (Ольга Николаевна), учебного пособия издательства Народная асвета.