Номер 2.225, страница 202 - гдз по алгебре 10 класс учебник Арефьева, Пирютко

Алгебра, 10 класс Учебник, авторы: Арефьева Ирина Глебовна, Пирютко Ольга Николаевна, издательство Народная асвета, Минск, 2019, голубого цвета

Авторы: Арефьева И. Г., Пирютко О. Н.

Тип: Учебник

Издательство: Народная асвета

Год издания: 2019 - 2026

Цвет обложки: голубой с графиком

Допущено Министерством образования Республики Беларусь

Популярные ГДЗ в 10 классе

Глава 2. Корень n-й степени из числа. Параграф 16. Свойства и график функции y=n√x (n>1, n∈N) - номер 2.225, страница 202.

№2.225 (с. 202)
Условие. №2.225 (с. 202)
скриншот условия
Алгебра, 10 класс Учебник, авторы: Арефьева Ирина Глебовна, Пирютко Ольга Николаевна, издательство Народная асвета, Минск, 2019, голубого цвета, страница 202, номер 2.225, Условие

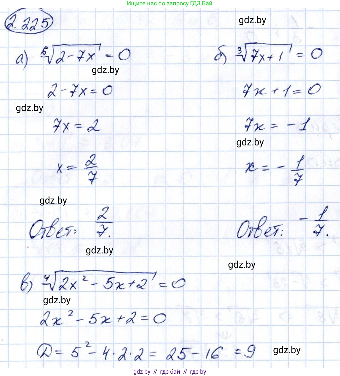
2.225. Найдите нули функции:

а) $f(x) = \sqrt[6]{2-7x}$;

б) $f(x) = \sqrt[3]{7x+1}$;

в) $f(x) = \sqrt[4]{2x^2-5x+2}$;

г) $f(x) = \sqrt[7]{3x^2+x}$.

Решение. №2.225 (с. 202)
Алгебра, 10 класс Учебник, авторы: Арефьева Ирина Глебовна, Пирютко Ольга Николаевна, издательство Народная асвета, Минск, 2019, голубого цвета, страница 202, номер 2.225, Решение Алгебра, 10 класс Учебник, авторы: Арефьева Ирина Глебовна, Пирютко Ольга Николаевна, издательство Народная асвета, Минск, 2019, голубого цвета, страница 202, номер 2.225, Решение (продолжение 2)
Решение 2. №2.225 (с. 202)

а) Чтобы найти нули функции, то есть значения $x$, при которых $f(x)=0$, необходимо решить уравнение:
$f(x) = \sqrt[6]{2-7x} = 0$
Корень четной степени равен нулю тогда и только тогда, когда подкоренное выражение равно нулю. При этом для существования корня четной степени подкоренное выражение должно быть неотрицательным ($2-7x \ge 0$).
$2 - 7x = 0$
$7x = 2$
$x = \frac{2}{7}$
Проверяем, удовлетворяет ли найденный корень условию $2-7x \ge 0$: $2 - 7 \cdot (\frac{2}{7}) = 2 - 2 = 0$. Так как $0 \ge 0$, значение $x = \frac{2}{7}$ является нулем функции.
Ответ: $\frac{2}{7}$.

б) Приравняем функцию к нулю:
$f(x) = \sqrt[3]{7x+1} = 0$
Корень нечетной степени (в данном случае, кубический) определен для любого действительного значения подкоренного выражения. Он равен нулю, если само подкоренное выражение равно нулю.
$7x + 1 = 0$
$7x = -1$
$x = -\frac{1}{7}$
Ответ: $-\frac{1}{7}$.

в) Чтобы найти нули функции, решим уравнение:
$f(x) = \sqrt[4]{2x^2 - 5x + 2} = 0$
Как и в пункте а), приравниваем подкоренное выражение к нулю:
$2x^2 - 5x + 2 = 0$
Это квадратное уравнение. Решим его через дискриминант:
$D = b^2 - 4ac = (-5)^2 - 4 \cdot 2 \cdot 2 = 25 - 16 = 9$
Найдем корни уравнения:
$x_1 = \frac{-b + \sqrt{D}}{2a} = \frac{5 + \sqrt{9}}{2 \cdot 2} = \frac{5 + 3}{4} = \frac{8}{4} = 2$
$x_2 = \frac{-b - \sqrt{D}}{2a} = \frac{5 - \sqrt{9}}{2 \cdot 2} = \frac{5 - 3}{4} = \frac{2}{4} = \frac{1}{2}$
Оба значения являются нулями функции, так как при них подкоренное выражение обращается в ноль.
Ответ: $2; \frac{1}{2}$.

г) Приравняем функцию к нулю:
$f(x) = \sqrt[7]{3x^2 + x} = 0$
Корень нечетной степени равен нулю, если подкоренное выражение равно нулю.
$3x^2 + x = 0$
Вынесем общий множитель $x$ за скобки:
$x(3x + 1) = 0$
Произведение равно нулю, если хотя бы один из множителей равен нулю.
$x_1 = 0$
или
$3x + 1 = 0 \implies 3x = -1 \implies x_2 = -\frac{1}{3}$
Ответ: $0; -\frac{1}{3}$.

Помогло решение? Оставьте отзыв в комментариях ниже.

Присоединяйтесь к Телеграм-группе @gdz_by_belarus

Присоединиться

Мы подготовили для вас ответ c подробным объяснением домашего задания по алгебре за 10 класс, для упражнения номер 2.225 расположенного на странице 202 к учебнику 2019 года издания для учащихся школ и гимназий.

Теперь на нашем сайте ГДЗ.ТОП вы всегда легко и бесплатно найдёте условие с правильным ответом на вопрос «Как решить ДЗ» и «Как сделать» задание по алгебре к упражнению №2.225 (с. 202), авторов: Арефьева (Ирина Глебовна), Пирютко (Ольга Николаевна), учебного пособия издательства Народная асвета.