Номер 2.248, страница 212 - гдз по алгебре 10 класс учебник Арефьева, Пирютко

Алгебра, 10 класс Учебник, авторы: Арефьева Ирина Глебовна, Пирютко Ольга Николаевна, издательство Народная асвета, Минск, 2019, голубого цвета

Авторы: Арефьева И. Г., Пирютко О. Н.

Тип: Учебник

Издательство: Народная асвета

Год издания: 2019 - 2026

Цвет обложки: голубой с графиком

Допущено Министерством образования Республики Беларусь

Популярные ГДЗ в 10 классе

Глава 2. Корень n-й степени из числа. Параграф 17. Иррациональные уравнения - номер 2.248, страница 212.

№2.248 (с. 212)
Условие. №2.248 (с. 212)
скриншот условия
Алгебра, 10 класс Учебник, авторы: Арефьева Ирина Глебовна, Пирютко Ольга Николаевна, издательство Народная асвета, Минск, 2019, голубого цвета, страница 212, номер 2.248, Условие

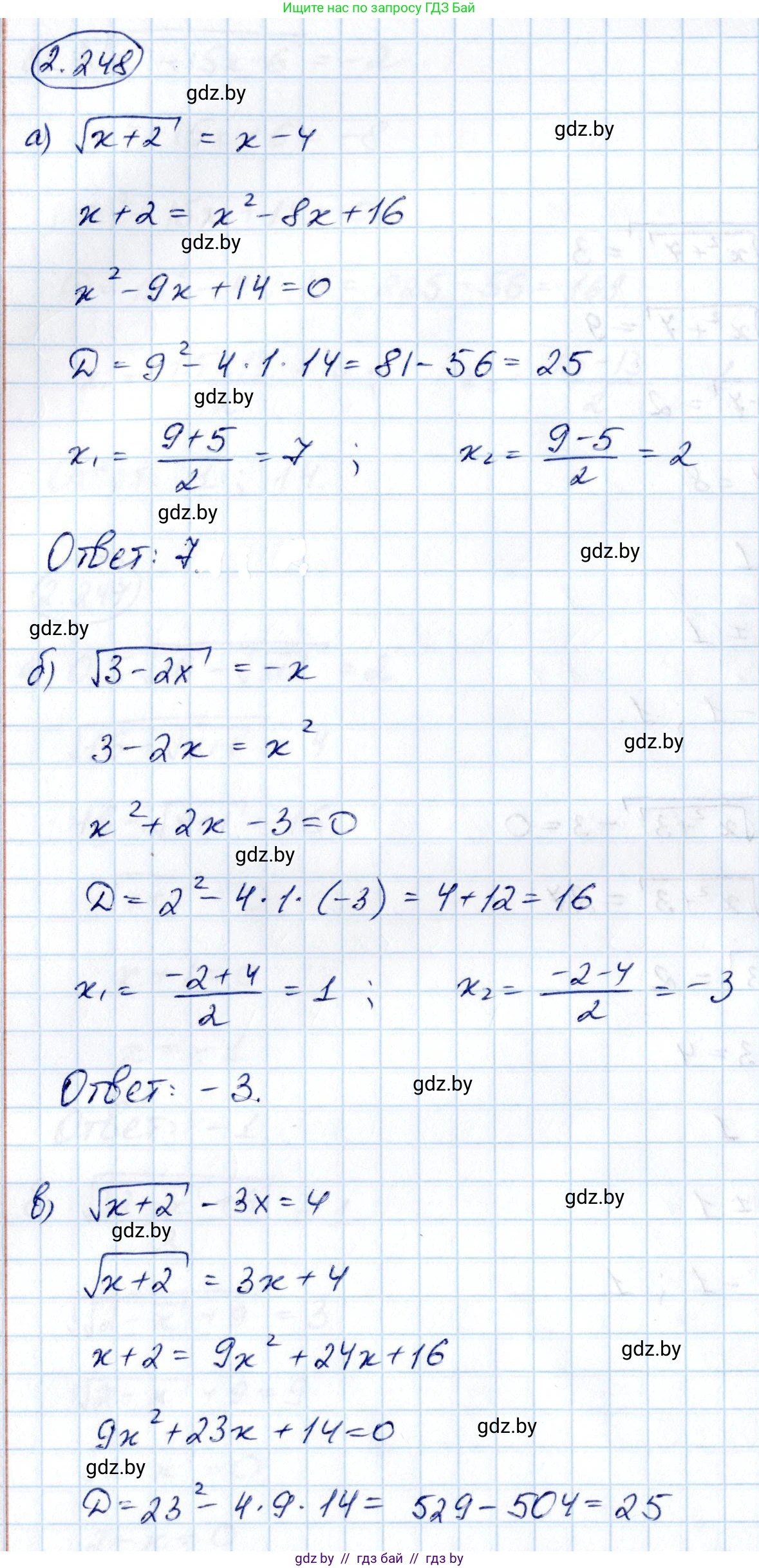
2.248. Решите уравнение двумя способами:

а)

$\sqrt{x+2} = x-4;$

б)

$\sqrt{3-2x} = -x;$

в)

$\sqrt{x+2}-3x = 4.$

Решение. №2.248 (с. 212)
Алгебра, 10 класс Учебник, авторы: Арефьева Ирина Глебовна, Пирютко Ольга Николаевна, издательство Народная асвета, Минск, 2019, голубого цвета, страница 212, номер 2.248, Решение Алгебра, 10 класс Учебник, авторы: Арефьева Ирина Глебовна, Пирютко Ольга Николаевна, издательство Народная асвета, Минск, 2019, голубого цвета, страница 212, номер 2.248, Решение (продолжение 2)
Решение 2. №2.248 (с. 212)

а) Решим уравнение $\sqrt{x+2} = x-4$ двумя способами.

Способ 1: Возведение в квадрат и проверка корней

1. Сначала определим область допустимых значений (ОДЗ). Для этого необходимо, чтобы подкоренное выражение было неотрицательным, а также правая часть уравнения, так как она равна значению арифметического квадратного корня.

$$ \begin{cases} x+2 \ge 0 \\ x-4 \ge 0 \end{cases} \implies \begin{cases} x \ge -2 \\ x \ge 4 \end{cases} \implies x \ge 4 $$

2. Возведем обе части уравнения в квадрат, чтобы избавиться от знака корня:

$$ (\sqrt{x+2})^2 = (x-4)^2 $$ $$ x+2 = x^2 - 8x + 16 $$

3. Перенесем все члены в одну сторону и решим полученное квадратное уравнение:

$$ x^2 - 9x + 14 = 0 $$

Используя теорему Виета, находим корни: $x_1 = 2$ и $x_2 = 7$.

4. Проверим, принадлежат ли найденные корни ОДЗ ($x \ge 4$):

  • Корень $x_1 = 2$ не удовлетворяет условию $x \ge 4$, следовательно, является посторонним.
  • Корень $x_2 = 7$ удовлетворяет условию $x \ge 4$.

Проведем проверку подстановкой $x=7$ в исходное уравнение: $\sqrt{7+2} = \sqrt{9} = 3$ и $7-4 = 3$. Равенство $3=3$ верное.

Способ 2: Метод введения новой переменной

1. Пусть $t = \sqrt{x+2}$. По определению арифметического корня, $t \ge 0$.

2. Выразим $x$ через $t$ из равенства $t = \sqrt{x+2}$:

$$ t^2 = x+2 \implies x = t^2 - 2 $$

3. Подставим выражения для $\sqrt{x+2}$ и $x$ в исходное уравнение:

$$ t = (t^2 - 2) - 4 $$ $$ t = t^2 - 6 $$

4. Решим полученное квадратное уравнение относительно $t$:

$$ t^2 - t - 6 = 0 $$

По теореме Виета, корни уравнения: $t_1 = 3$ и $t_2 = -2$.

5. Учитывая условие $t \ge 0$, корень $t_2 = -2$ является посторонним. Остается $t_1 = 3$.

6. Выполним обратную замену, чтобы найти $x$:

$$ x = t^2 - 2 = 3^2 - 2 = 9 - 2 = 7 $$

Оба способа дали одинаковый результат.

Ответ: 7.

б) Решим уравнение $\sqrt{3-2x} = -x$ двумя способами.

Способ 1: Возведение в квадрат и проверка корней

1. Определим ОДЗ. Подкоренное выражение и правая часть уравнения должны быть неотрицательными.

$$ \begin{cases} 3-2x \ge 0 \\ -x \ge 0 \end{cases} \implies \begin{cases} 3 \ge 2x \\ x \le 0 \end{cases} \implies \begin{cases} x \le 1.5 \\ x \le 0 \end{cases} \implies x \le 0 $$

2. Возведем обе части уравнения в квадрат:

$$ (\sqrt{3-2x})^2 = (-x)^2 $$ $$ 3-2x = x^2 $$

3. Решим полученное квадратное уравнение:

$$ x^2 + 2x - 3 = 0 $$

По теореме Виета, корни: $x_1 = 1$ и $x_2 = -3$.

4. Проверим корни на соответствие ОДЗ ($x \le 0$):

  • Корень $x_1 = 1$ не удовлетворяет условию $x \le 0$, значит, это посторонний корень.
  • Корень $x_2 = -3$ удовлетворяет условию $x \le 0$.

Проверка подстановкой $x=-3$: $\sqrt{3-2(-3)} = \sqrt{3+6} = \sqrt{9} = 3$ и $-(-3) = 3$. Равенство $3=3$ верное.

Способ 2: Метод введения новой переменной

1. Пусть $t = -x$. Тогда $x=-t$. Из исходного уравнения $\sqrt{3-2x} = t$ следует, что $t \ge 0$.

2. Подставим $x=-t$ в уравнение:

$$ \sqrt{3 - 2(-t)} = t $$ $$ \sqrt{3+2t} = t $$

3. Возведем обе части в квадрат (условие $t \ge 0$ уже учтено):

$$ 3+2t = t^2 $$

4. Решим уравнение $t^2 - 2t - 3 = 0$. По теореме Виета, корни $t_1 = 3$ и $t_2 = -1$.

5. Согласно условию $t \ge 0$, выбираем корень $t_1 = 3$.

6. Сделаем обратную замену: $x = -t = -3$.

Ответ: -3.

в) Решим уравнение $\sqrt{x+2} - 3x = 4$ двумя способами.

Способ 1: Возведение в квадрат и проверка корней

1. Изолируем радикал:

$$ \sqrt{x+2} = 3x+4 $$

2. Определим ОДЗ:

$$ \begin{cases} x+2 \ge 0 \\ 3x+4 \ge 0 \end{cases} \implies \begin{cases} x \ge -2 \\ x \ge -\frac{4}{3} \end{cases} \implies x \ge -\frac{4}{3} $$

3. Возведем обе части в квадрат:

$$ (\sqrt{x+2})^2 = (3x+4)^2 $$ $$ x+2 = 9x^2 + 24x + 16 $$

4. Приведем к стандартному виду и решим квадратное уравнение:

$$ 9x^2 + 23x + 14 = 0 $$

Вычислим дискриминант: $D = 23^2 - 4 \cdot 9 \cdot 14 = 529 - 504 = 25$.

Корни уравнения: $x_1 = \frac{-23 - \sqrt{25}}{2 \cdot 9} = \frac{-23 - 5}{18} = \frac{-28}{18} = -\frac{14}{9}$. $x_2 = \frac{-23 + \sqrt{25}}{2 \cdot 9} = \frac{-23 + 5}{18} = \frac{-18}{18} = -1$.

5. Проверим корни на соответствие ОДЗ ($x \ge -\frac{4}{3}$):

  • $x_1 = -\frac{14}{9}$. Так как $-\frac{14}{9} \approx -1.56$, а $-\frac{4}{3} \approx -1.33$, то $x_1$ не удовлетворяет ОДЗ. Это посторонний корень.
  • $x_2 = -1$. Этот корень удовлетворяет ОДЗ, так как $-1 > -\frac{4}{3}$.

Проверка подстановкой $x=-1$: $\sqrt{-1+2}-3(-1) = \sqrt{1}+3 = 1+3=4$. Равенство $4=4$ верное.

Способ 2: Метод введения новой переменной

1. Пусть $t = \sqrt{x+2}$, где $t \ge 0$. Тогда $x = t^2 - 2$.

2. Подставим в исходное уравнение:

$$ t - 3(t^2-2) = 4 $$

3. Упростим и решим уравнение для $t$:

$$ t - 3t^2 + 6 = 4 $$ $$ -3t^2 + t + 2 = 0 $$ $$ 3t^2 - t - 2 = 0 $$

4. Найдем корни через дискриминант: $D = (-1)^2 - 4 \cdot 3 \cdot (-2) = 1 + 24 = 25$.

Корни для $t$: $t_1 = \frac{1 + \sqrt{25}}{2 \cdot 3} = \frac{1+5}{6} = 1$. $t_2 = \frac{1 - \sqrt{25}}{2 \cdot 3} = \frac{1-5}{6} = -\frac{4}{6} = -\frac{2}{3}$.

5. Учитывая условие $t \ge 0$, отбрасываем корень $t_2 = -\frac{2}{3}$. Остается $t_1 = 1$.

6. Выполним обратную замену:

$$ x = t^2 - 2 = 1^2 - 2 = -1 $$

Оба способа привели к одному ответу.

Ответ: -1.

Помогло решение? Оставьте отзыв в комментариях ниже.

Присоединяйтесь к Телеграм-группе @gdz_by_belarus

Присоединиться

Мы подготовили для вас ответ c подробным объяснением домашего задания по алгебре за 10 класс, для упражнения номер 2.248 расположенного на странице 212 к учебнику 2019 года издания для учащихся школ и гимназий.

Теперь на нашем сайте ГДЗ.ТОП вы всегда легко и бесплатно найдёте условие с правильным ответом на вопрос «Как решить ДЗ» и «Как сделать» задание по алгебре к упражнению №2.248 (с. 212), авторов: Арефьева (Ирина Глебовна), Пирютко (Ольга Николаевна), учебного пособия издательства Народная асвета.