Номер 2.37, страница 169 - гдз по алгебре 10 класс учебник Арефьева, Пирютко

Алгебра, 10 класс Учебник, авторы: Арефьева Ирина Глебовна, Пирютко Ольга Николаевна, издательство Народная асвета, Минск, 2019, голубого цвета

Авторы: Арефьева И. Г., Пирютко О. Н.

Тип: Учебник

Издательство: Народная асвета

Год издания: 2019 - 2026

Цвет обложки: голубой с графиком

Допущено Министерством образования Республики Беларусь

Популярные ГДЗ в 10 классе

Глава 2. Корень n-й степени из числа. Параграф 13. Корень n-й степени из числа а (n≥2, n∈N) - номер 2.37, страница 169.

№2.37 (с. 169)
Условие. №2.37 (с. 169)
скриншот условия
Алгебра, 10 класс Учебник, авторы: Арефьева Ирина Глебовна, Пирютко Ольга Николаевна, издательство Народная асвета, Минск, 2019, голубого цвета, страница 169, номер 2.37, Условие

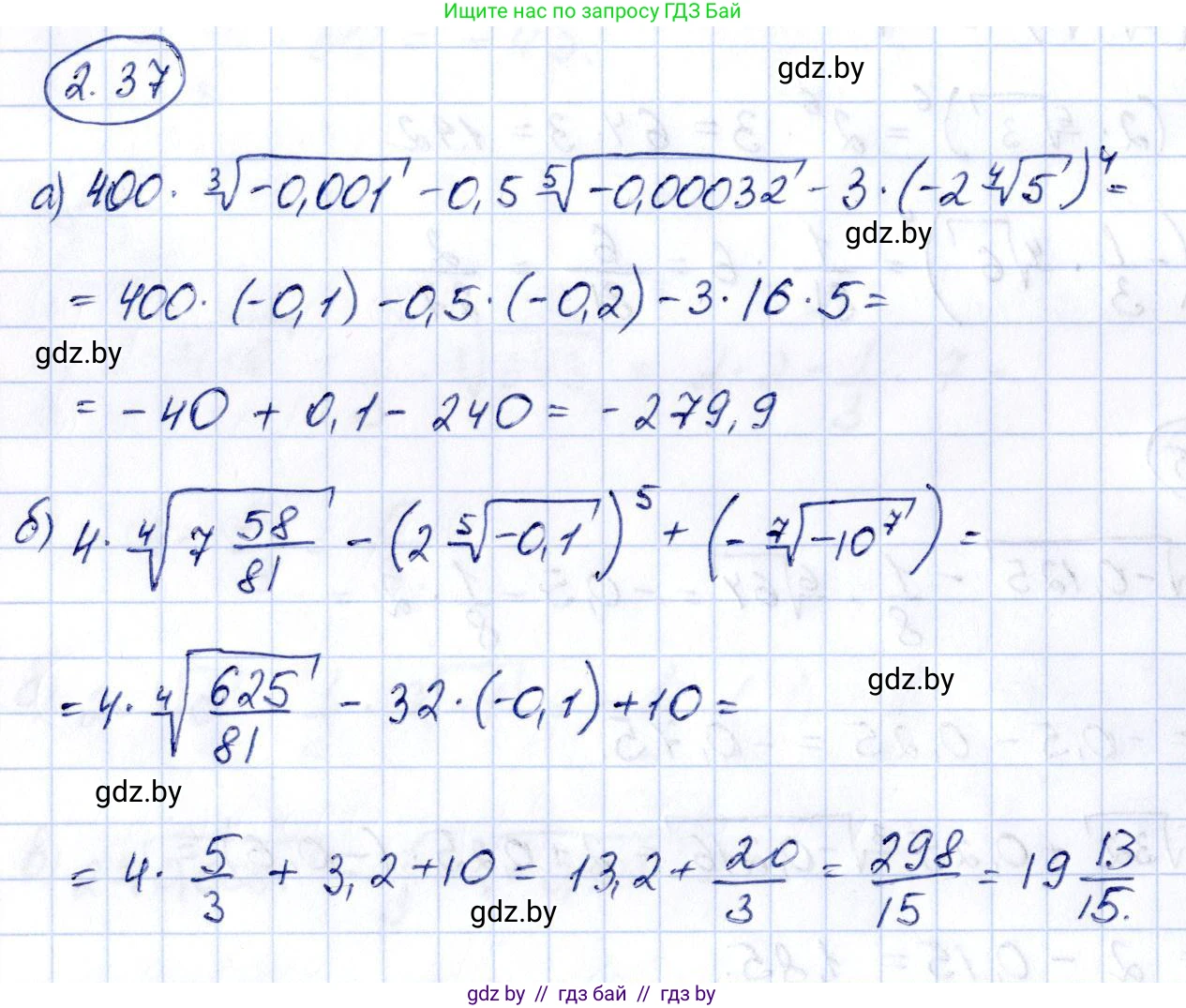
2.37. Найдите значение выражения:

a) $400\sqrt[3]{-0,001} - 0,5\sqrt[5]{-0,00032} - 3 \cdot (-2\sqrt[4]{5})^4;$

б) $4 \cdot \sqrt[4]{\frac{625}{81}} - (2\sqrt[5]{-0,1})^5 + (-\sqrt[7]{-10^7}).$

Решение. №2.37 (с. 169)
Алгебра, 10 класс Учебник, авторы: Арефьева Ирина Глебовна, Пирютко Ольга Николаевна, издательство Народная асвета, Минск, 2019, голубого цвета, страница 169, номер 2.37, Решение
Решение 2. №2.37 (с. 169)

a) $400\sqrt[3]{-0,001} - 0,5\sqrt[5]{-0,00032} - 3 \cdot (-2\sqrt[4]{5})^4$
Решим выражение по частям:
1. Вычислим первый член: $400\sqrt[3]{-0,001}$. Поскольку $(-0,1)^3 = -0,001$, то $\sqrt[3]{-0,001} = -0,1$.
$400 \cdot (-0,1) = -40$.
2. Вычислим второй член: $-0,5\sqrt[5]{-0,00032}$. Поскольку $(-0,2)^5 = -0,00032$, то $\sqrt[5]{-0,00032} = -0,2$.
$-0,5 \cdot (-0,2) = 0,1$.
3. Вычислим третий член: $-3 \cdot (-2\sqrt[4]{5})^4$.
$(-2\sqrt[4]{5})^4 = (-2)^4 \cdot (\sqrt[4]{5})^4 = 16 \cdot 5 = 80$.
$-3 \cdot 80 = -240$.
4. Объединим результаты:
$-40 + 0,1 - 240 = -280 + 0,1 = -279,9$.
Представим результат в виде смешанного числа: $-279,9 = -279\frac{9}{10}$.
Ответ: $-279\frac{9}{10}$.

б) $4 \cdot \sqrt[4]{7\frac{58}{81}} - (2\sqrt[5]{-0,1})^5 + (-\sqrt[7]{-10^7})$
Решим выражение по частям:
1. Вычислим первый член: $4 \cdot \sqrt[4]{7\frac{58}{81}}$.
Преобразуем смешанную дробь в неправильную: $7\frac{58}{81} = \frac{7 \cdot 81 + 58}{81} = \frac{567 + 58}{81} = \frac{625}{81}$.
Теперь извлечем корень: $\sqrt[4]{\frac{625}{81}} = \frac{\sqrt[4]{5^4}}{\sqrt[4]{3^4}} = \frac{5}{3}$.
$4 \cdot \frac{5}{3} = \frac{20}{3}$.
2. Вычислим второй член: $-(2\sqrt[5]{-0,1})^5$.
$(2\sqrt[5]{-0,1})^5 = 2^5 \cdot (\sqrt[5]{-0,1})^5 = 32 \cdot (-0,1) = -3,2$.
Значит, $-(-3,2) = 3,2$.
3. Вычислим третий член: $(-\sqrt[7]{-10^7})$.
$\sqrt[7]{-10^7} = \sqrt[7]{(-10)^7} = -10$.
Значит, $-(-10) = 10$.
4. Объединим результаты:
$\frac{20}{3} + 3,2 + 10 = \frac{20}{3} + 13,2$.
Представим десятичную дробь в виде неправильной: $13,2 = \frac{132}{10} = \frac{66}{5}$.
Сложим дроби: $\frac{20}{3} + \frac{66}{5} = \frac{20 \cdot 5}{15} + \frac{66 \cdot 3}{15} = \frac{100}{15} + \frac{198}{15} = \frac{298}{15}$.
5. Выделим целую часть из неправильной дроби $\frac{298}{15}$. Делим 298 на 15, получаем 19 и в остатке 13.
$\frac{298}{15} = 19\frac{13}{15}$.
Ответ: $19\frac{13}{15}$.

Помогло решение? Оставьте отзыв в комментариях ниже.

Присоединяйтесь к Телеграм-группе @gdz_by_belarus

Присоединиться

Мы подготовили для вас ответ c подробным объяснением домашего задания по алгебре за 10 класс, для упражнения номер 2.37 расположенного на странице 169 к учебнику 2019 года издания для учащихся школ и гимназий.

Теперь на нашем сайте ГДЗ.ТОП вы всегда легко и бесплатно найдёте условие с правильным ответом на вопрос «Как решить ДЗ» и «Как сделать» задание по алгебре к упражнению №2.37 (с. 169), авторов: Арефьева (Ирина Глебовна), Пирютко (Ольга Николаевна), учебного пособия издательства Народная асвета.