Номер 2.285, страница 216 - гдз по алгебре 10 класс учебник Арефьева, Пирютко

Алгебра, 10 класс Учебник, авторы: Арефьева Ирина Глебовна, Пирютко Ольга Николаевна, издательство Народная асвета, Минск, 2019, голубого цвета

Авторы: Арефьева И. Г., Пирютко О. Н.

Тип: Учебник

Издательство: Народная асвета

Год издания: 2019 - 2026

Цвет обложки: голубой с графиком

Допущено Министерством образования Республики Беларусь

Популярные ГДЗ в 10 классе

Глава 2. Корень n-й степени из числа. Параграф 17. Иррациональные уравнения - номер 2.285, страница 216.

№2.285 (с. 216)
Условие. №2.285 (с. 216)
скриншот условия
Алгебра, 10 класс Учебник, авторы: Арефьева Ирина Глебовна, Пирютко Ольга Николаевна, издательство Народная асвета, Минск, 2019, голубого цвета, страница 216, номер 2.285, Условие

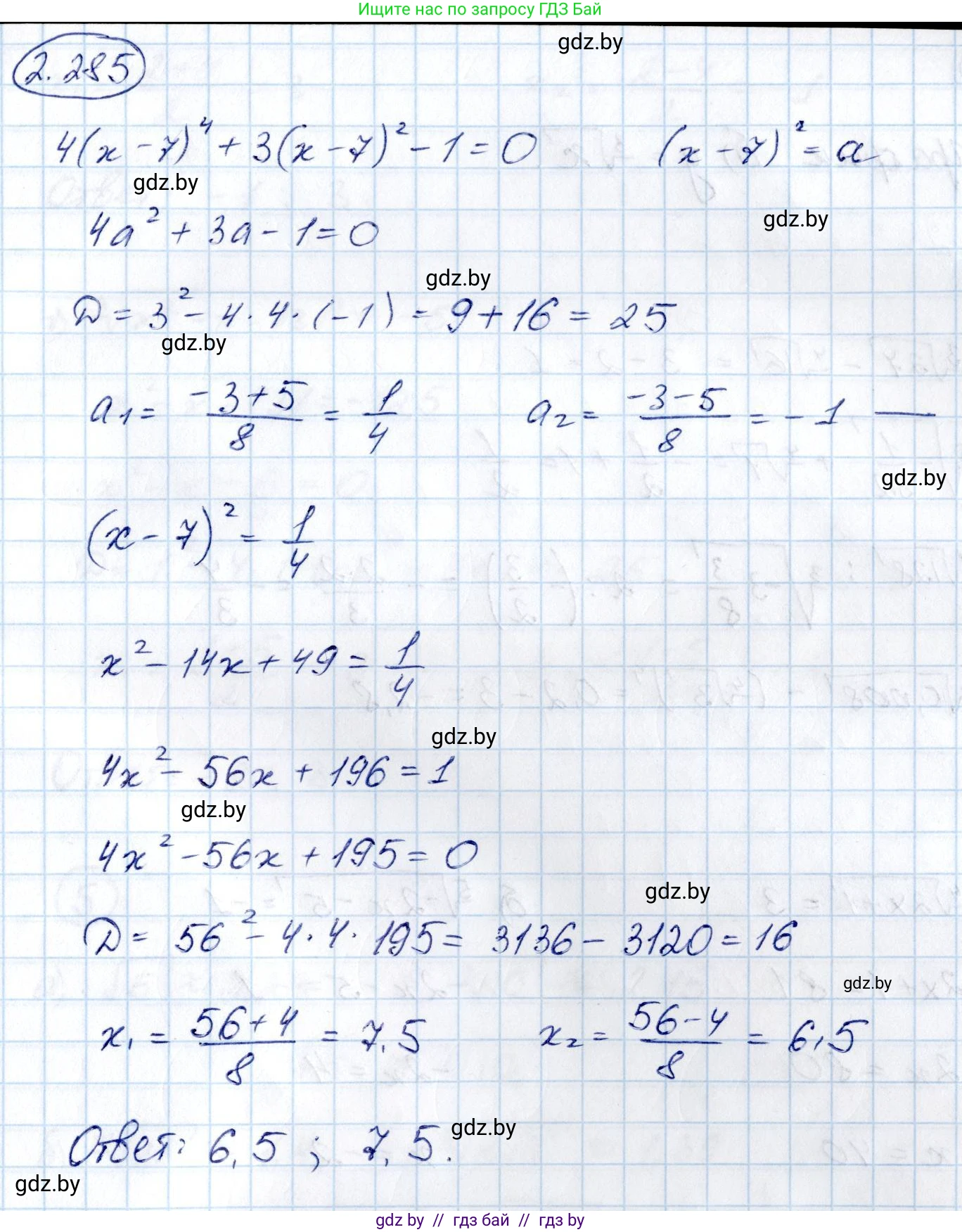
2.285. Используйте метод замены переменной и решите уравнение $4(x-7)^4 + 3(x-7)^2 - 1 = 0$.

Решение. №2.285 (с. 216)
Алгебра, 10 класс Учебник, авторы: Арефьева Ирина Глебовна, Пирютко Ольга Николаевна, издательство Народная асвета, Минск, 2019, голубого цвета, страница 216, номер 2.285, Решение
Решение 2. №2.285 (с. 216)

Данное уравнение является биквадратным относительно выражения $(x-7)$. Для его решения необходимо использовать метод замены переменной.

Пусть $t = (x-7)^2$. Поскольку квадрат любого действительного числа является неотрицательным, для переменной $t$ должно выполняться условие $t \ge 0$.

Подставим новую переменную в исходное уравнение. Учитывая, что $(x-7)^4 = ((x-7)^2)^2 = t^2$, получаем следующее квадратное уравнение:

$4t^2 + 3t - 1 = 0$

Решим это уравнение относительно $t$ с помощью дискриминанта $D = b^2 - 4ac$:

$D = 3^2 - 4 \cdot 4 \cdot (-1) = 9 + 16 = 25$

Поскольку $D > 0$, уравнение имеет два действительных корня. Найдем их по формуле $t = \frac{-b \pm \sqrt{D}}{2a}$:

$t_1 = \frac{-3 + \sqrt{25}}{2 \cdot 4} = \frac{-3 + 5}{8} = \frac{2}{8} = \frac{1}{4}$

$t_2 = \frac{-3 - \sqrt{25}}{2 \cdot 4} = \frac{-3 - 5}{8} = \frac{-8}{8} = -1$

Теперь необходимо проверить найденные корни на соответствие условию $t \ge 0$.

  • Корень $t_1 = \frac{1}{4}$ удовлетворяет условию, так как $\frac{1}{4} \ge 0$.
  • Корень $t_2 = -1$ не удовлетворяет условию, так как $-1 < 0$. Следовательно, это посторонний корень.

Теперь выполним обратную замену, используя единственный подходящий корень $t_1 = \frac{1}{4}$:

$(x-7)^2 = \frac{1}{4}$

Извлечем квадратный корень из обеих частей уравнения:

$x - 7 = \pm\sqrt{\frac{1}{4}}$

$x - 7 = \pm\frac{1}{2}$

Это уравнение распадается на два линейных уравнения:

1. $x - 7 = \frac{1}{2}$

$x_1 = 7 + \frac{1}{2} = 7\frac{1}{2}$

2. $x - 7 = -\frac{1}{2}$

$x_2 = 7 - \frac{1}{2} = 6\frac{1}{2}$

Итоговый ответ: Уравнение имеет два корня: $x_1 = 7\frac{1}{2}$ и $x_2 = 6\frac{1}{2}$.

Помогло решение? Оставьте отзыв в комментариях ниже.

Присоединяйтесь к Телеграм-группе @gdz_by_belarus

Присоединиться

Мы подготовили для вас ответ c подробным объяснением домашего задания по алгебре за 10 класс, для упражнения номер 2.285 расположенного на странице 216 к учебнику 2019 года издания для учащихся школ и гимназий.

Теперь на нашем сайте ГДЗ.ТОП вы всегда легко и бесплатно найдёте условие с правильным ответом на вопрос «Как решить ДЗ» и «Как сделать» задание по алгебре к упражнению №2.285 (с. 216), авторов: Арефьева (Ирина Глебовна), Пирютко (Ольга Николаевна), учебного пособия издательства Народная асвета.