Номер 3.101, страница 254 - гдз по алгебре 10 класс учебник Арефьева, Пирютко

Алгебра, 10 класс Учебник, авторы: Арефьева Ирина Глебовна, Пирютко Ольга Николаевна, издательство Народная асвета, Минск, 2019, голубого цвета

Авторы: Арефьева И. Г., Пирютко О. Н.

Тип: Учебник

Издательство: Народная асвета

Год издания: 2019 - 2026

Цвет обложки: голубой с графиком

Допущено Министерством образования Республики Беларусь

Популярные ГДЗ в 10 классе

Глава 3. Производная. Параграф 20. Геометрический смысл производной. Связь между знаком производной функции и ее возрастанием или убыванием - номер 3.101, страница 254.

№3.101 (с. 254)
Условие. №3.101 (с. 254)
скриншот условия
Алгебра, 10 класс Учебник, авторы: Арефьева Ирина Глебовна, Пирютко Ольга Николаевна, издательство Народная асвета, Минск, 2019, голубого цвета, страница 254, номер 3.101, Условие

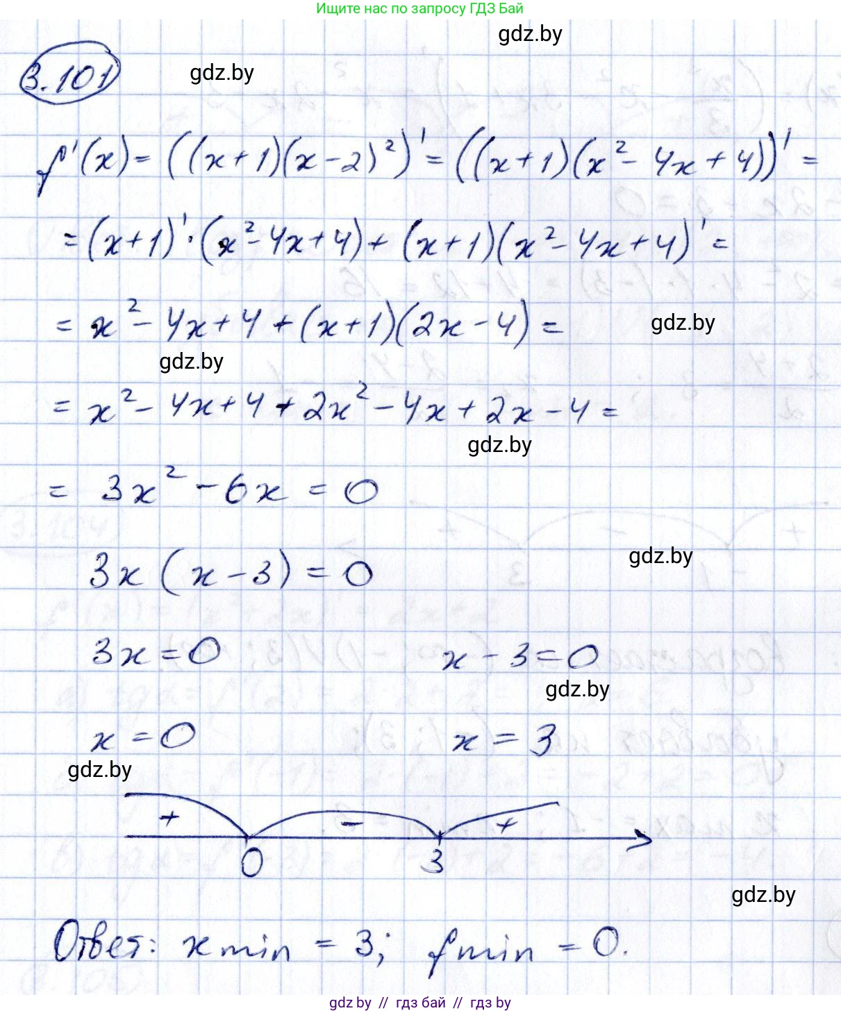
3.101. Найдите минимум функции

$f(x) = (x+1)(x-2)^2$

Решение. №3.101 (с. 254)
Алгебра, 10 класс Учебник, авторы: Арефьева Ирина Глебовна, Пирютко Ольга Николаевна, издательство Народная асвета, Минск, 2019, голубого цвета, страница 254, номер 3.101, Решение
Решение 2. №3.101 (с. 254)

Для нахождения минимума функции $f(x) = (x + 1)(x - 2)^2$ необходимо найти ее производную и исследовать ее на экстремумы.

1. Найдем производную функции, используя правило дифференцирования произведения $(uv)' = u'v + uv'$. Пусть $u = x + 1$ и $v = (x - 2)^2$. Тогда их производные: $u' = 1$ и $v' = 2(x - 2)$.

$f'(x) = (x + 1)'(x - 2)^2 + (x + 1)((x - 2)^2)' = 1 \cdot (x - 2)^2 + (x + 1) \cdot 2(x - 2)$

Вынесем общий множитель $(x - 2)$ за скобки для упрощения:

$f'(x) = (x - 2) \cdot [ (x - 2) + 2(x + 1) ] = (x - 2)(x - 2 + 2x + 2) = (x - 2)(3x)$

Таким образом, производная функции: $f'(x) = 3x(x - 2)$.

2. Найдем критические точки, приравняв производную к нулю:

$3x(x - 2) = 0$

Отсюда получаем две критические точки: $x_1 = 0$ и $x_2 = 2$.

3. Определим характер критических точек. Для этого исследуем знак производной $f'(x)$ на интервалах, на которые критические точки разбивают числовую ось: $(-\infty, 0)$, $(0, 2)$ и $(2, \infty)$.

  • Интервал $(-\infty, 0)$: $f'(x) > 0$ (например, $f'(-1)=9$), функция возрастает.
  • Интервал $(0, 2)$: $f'(x) < 0$ (например, $f'(1)=-3$), функция убывает.
  • Интервал $(2, \infty)$: $f'(x) > 0$ (например, $f'(3)=9$), функция возрастает.

В точке $x=0$ производная меняет знак с «+» на «−», следовательно, это точка локального максимума.

В точке $x=2$ производная меняет знак с «−» на «+», следовательно, это точка локального минимума.

4. Вычислим значение функции в точке минимума $x = 2$:

$f_{min} = f(2) = (2 + 1)(2 - 2)^2 = 3 \cdot 0^2 = 0$

Ответ: 0

Помогло решение? Оставьте отзыв в комментариях ниже.

Присоединяйтесь к Телеграм-группе @gdz_by_belarus

Присоединиться

Мы подготовили для вас ответ c подробным объяснением домашего задания по алгебре за 10 класс, для упражнения номер 3.101 расположенного на странице 254 к учебнику 2019 года издания для учащихся школ и гимназий.

Теперь на нашем сайте ГДЗ.ТОП вы всегда легко и бесплатно найдёте условие с правильным ответом на вопрос «Как решить ДЗ» и «Как сделать» задание по алгебре к упражнению №3.101 (с. 254), авторов: Арефьева (Ирина Глебовна), Пирютко (Ольга Николаевна), учебного пособия издательства Народная асвета.