Номер 3.144, страница 264 - гдз по алгебре 10 класс учебник Арефьева, Пирютко
Авторы: Арефьева И. Г., Пирютко О. Н.
Тип: Учебник
Издательство: Народная асвета
Год издания: 2019 - 2026
Цвет обложки: голубой с графиком
Допущено Министерством образования Республики Беларусь
Популярные ГДЗ в 10 классе
Глава 3. Производная. Параграф 21. Применение производной к исследованию функций - номер 3.144, страница 264.
№3.144 (с. 264)
Условие. №3.144 (с. 264)
скриншот условия
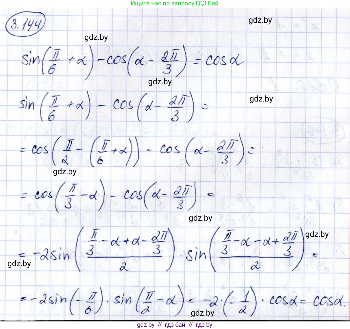
3.144. Докажите тождество
$\sin\left(\frac{\pi}{6} + \alpha\right) - \cos\left(\alpha - \frac{2\pi}{3}\right) = \cos\alpha.$
Решение. №3.144 (с. 264)
Решение 2. №3.144 (с. 264)
Для доказательства тождества преобразуем его левую часть, используя формулы синуса суммы и косинуса разности.
Формула синуса суммы: $sin(x+y) = sin(x)cos(y) + cos(x)sin(y)$.
Формула косинуса разности: $cos(x-y) = cos(x)cos(y) + sin(x)sin(y)$.
1. Применим формулу синуса суммы к выражению $sin(\frac{\pi}{6} + \alpha)$:
$sin(\frac{\pi}{6} + \alpha) = sin(\frac{\pi}{6})cos(\alpha) + cos(\frac{\pi}{6})sin(\alpha)$
Зная значения тригонометрических функций для угла $\frac{\pi}{6}$: $sin(\frac{\pi}{6}) = \frac{1}{2}$ и $cos(\frac{\pi}{6}) = \frac{\sqrt{3}}{2}$, получаем:
$sin(\frac{\pi}{6} + \alpha) = \frac{1}{2}cos(\alpha) + \frac{\sqrt{3}}{2}sin(\alpha)$
2. Теперь применим формулу косинуса разности к выражению $cos(\alpha - \frac{2\pi}{3})$:
$cos(\alpha - \frac{2\pi}{3}) = cos(\alpha)cos(\frac{2\pi}{3}) + sin(\alpha)sin(\frac{2\pi}{3})$
Найдем значения косинуса и синуса для угла $\frac{2\pi}{3}$ с помощью формул приведения:
$cos(\frac{2\pi}{3}) = cos(\pi - \frac{\pi}{3}) = -cos(\frac{\pi}{3}) = -\frac{1}{2}$
$sin(\frac{2\pi}{3}) = sin(\pi - \frac{\pi}{3}) = sin(\frac{\pi}{3}) = \frac{\sqrt{3}}{2}$
Подставим эти значения в выражение:
$cos(\alpha - \frac{2\pi}{3}) = cos(\alpha) \cdot (-\frac{1}{2}) + sin(\alpha) \cdot (\frac{\sqrt{3}}{2}) = -\frac{1}{2}cos(\alpha) + \frac{\sqrt{3}}{2}sin(\alpha)$
3. Подставим полученные выражения для первого и второго слагаемых в левую часть исходного тождества:
$sin(\frac{\pi}{6} + \alpha) - cos(\alpha - \frac{2\pi}{3}) = (\frac{1}{2}cos(\alpha) + \frac{\sqrt{3}}{2}sin(\alpha)) - (-\frac{1}{2}cos(\alpha) + \frac{\sqrt{3}}{2}sin(\alpha))$
Раскроем скобки и приведем подобные слагаемые:
$\frac{1}{2}cos(\alpha) + \frac{\sqrt{3}}{2}sin(\alpha) + \frac{1}{2}cos(\alpha) - \frac{\sqrt{3}}{2}sin(\alpha) = (\frac{1}{2}cos(\alpha) + \frac{1}{2}cos(\alpha)) + (\frac{\sqrt{3}}{2}sin(\alpha) - \frac{\sqrt{3}}{2}sin(\alpha)) = cos(\alpha) + 0 = cos(\alpha)$
В результате преобразований левая часть тождества оказалась равна его правой части:
$cos(\alpha) = cos(\alpha)$
Следовательно, тождество доказано.
Ответ:Тождество $sin(\frac{\pi}{6} + \alpha) - cos(\alpha - \frac{2\pi}{3}) = cos(\alpha)$ доказано.
Другие задания:
Помогло решение? Оставьте отзыв в комментариях ниже.
Присоединяйтесь к Телеграм-группе @gdz_by_belarus
ПрисоединитьсяМы подготовили для вас ответ c подробным объяснением домашего задания по алгебре за 10 класс, для упражнения номер 3.144 расположенного на странице 264 к учебнику 2019 года издания для учащихся школ и гимназий.
Теперь на нашем сайте ГДЗ.ТОП вы всегда легко и бесплатно найдёте условие с правильным ответом на вопрос «Как решить ДЗ» и «Как сделать» задание по алгебре к упражнению №3.144 (с. 264), авторов: Арефьева (Ирина Глебовна), Пирютко (Ольга Николаевна), учебного пособия издательства Народная асвета.