Номер 3.155, страница 272 - гдз по алгебре 10 класс учебник Арефьева, Пирютко

Алгебра, 10 класс Учебник, авторы: Арефьева Ирина Глебовна, Пирютко Ольга Николаевна, издательство Народная асвета, Минск, 2019, голубого цвета

Авторы: Арефьева И. Г., Пирютко О. Н.

Тип: Учебник

Издательство: Народная асвета

Год издания: 2019 - 2026

Цвет обложки: голубой с графиком

Допущено Министерством образования Республики Беларусь

Популярные ГДЗ в 10 классе

Глава 3. Производная. Параграф 22. Наибольшее и наименьшее значения функции - номер 3.155, страница 272.

№3.155 (с. 272)
Условие. №3.155 (с. 272)
скриншот условия
Алгебра, 10 класс Учебник, авторы: Арефьева Ирина Глебовна, Пирютко Ольга Николаевна, издательство Народная асвета, Минск, 2019, голубого цвета, страница 272, номер 3.155, Условие

3.155. Найдите наибольшее и наименьшее значения функции $y = f(x)$ на соответствующем отрезке:

а) $f(x) = x^3 + 3x^2 - 9x - 1, [-4; 4];$

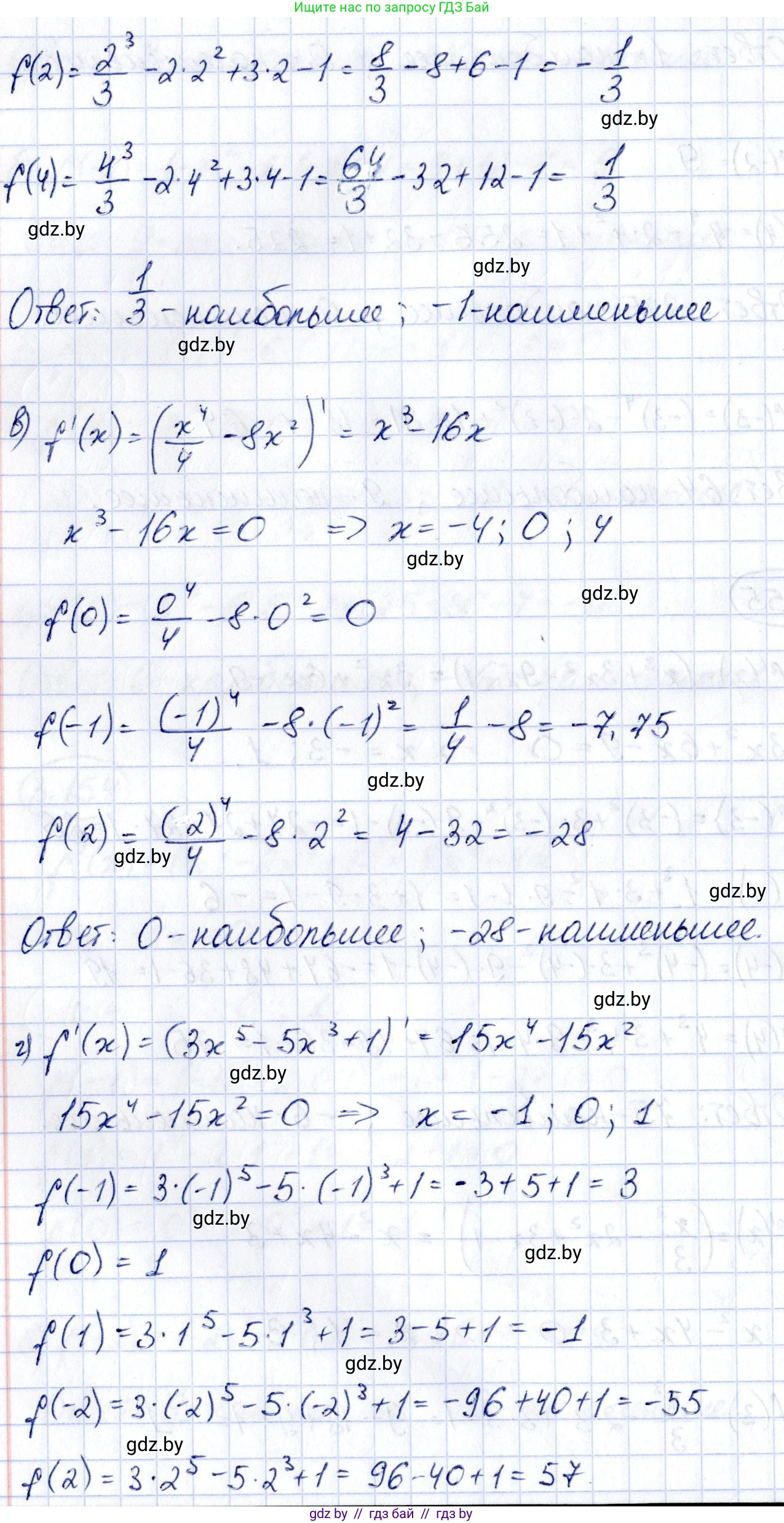
б) $f(x) = \frac{x^3}{3} - 2x^2 + 3x - 1, [2; 4];$

в) $f(x) = \frac{x^4}{4} - 8x^2, [-1; 2];$

г) $f(x) = 3x^5 - 5x^3 + 1, [-2; 2].$

Решение. №3.155 (с. 272)
Алгебра, 10 класс Учебник, авторы: Арефьева Ирина Глебовна, Пирютко Ольга Николаевна, издательство Народная асвета, Минск, 2019, голубого цвета, страница 272, номер 3.155, Решение Алгебра, 10 класс Учебник, авторы: Арефьева Ирина Глебовна, Пирютко Ольга Николаевна, издательство Народная асвета, Минск, 2019, голубого цвета, страница 272, номер 3.155, Решение (продолжение 2)
Решение 2. №3.155 (с. 272)

Для нахождения наибольшего и наименьшего значений непрерывной функции $f(x)$ на замкнутом отрезке $[a, b]$ используется следующий алгоритм:

  1. Найти производную функции $f'(x)$.
  2. Найти критические точки функции, решив уравнение $f'(x) = 0$.
  3. Выбрать критические точки, принадлежащие данному отрезку $[a, b]$.
  4. Вычислить значения функции в выбранных критических точках и на концах отрезка, то есть в точках $a$ и $b$.
  5. Сравнить полученные значения. Наибольшее из них будет наибольшим значением функции на отрезке, а наименьшее — наименьшим.

а) $f(x) = x^3 + 3x^2 - 9x - 1$ на отрезке $[-4; 4]$

1. Находим производную функции:

$f'(x) = (x^3 + 3x^2 - 9x - 1)' = 3x^2 + 6x - 9$

2. Находим критические точки, приравнивая производную к нулю:

$3x^2 + 6x - 9 = 0$

$x^2 + 2x - 3 = 0$

По теореме Виета, корни уравнения: $x_1 = 1$ и $x_2 = -3$.

3. Обе критические точки, $x = 1$ и $x = -3$, принадлежат отрезку $[-4; 4]$.

4. Вычисляем значения функции в критических точках и на концах отрезка:

  • $f(1) = 1^3 + 3(1)^2 - 9(1) - 1 = 1 + 3 - 9 - 1 = -6$
  • $f(-3) = (-3)^3 + 3(-3)^2 - 9(-3) - 1 = -27 + 27 + 27 - 1 = 26$
  • $f(-4) = (-4)^3 + 3(-4)^2 - 9(-4) - 1 = -64 + 48 + 36 - 1 = 19$
  • $f(4) = 4^3 + 3(4)^2 - 9(4) - 1 = 64 + 48 - 36 - 1 = 75$

5. Сравниваем полученные значения: $\{-6, 26, 19, 75\}$.

Наибольшее значение функции на отрезке равно 75, а наименьшее равно -6.

Ответ: наибольшее значение функции 75, наименьшее значение -6.

б) $f(x) = \frac{x^3}{3} - 2x^2 + 3x - 1$ на отрезке $[2; 4]$

1. Находим производную функции:

$f'(x) = (\frac{x^3}{3} - 2x^2 + 3x - 1)' = x^2 - 4x + 3$

2. Находим критические точки:

$x^2 - 4x + 3 = 0$

Корни уравнения: $x_1 = 1$ и $x_2 = 3$.

3. Из критических точек отрезку $[2; 4]$ принадлежит только $x = 3$.

4. Вычисляем значения функции в точке $x=3$ и на концах отрезка:

  • $f(3) = \frac{3^3}{3} - 2(3)^2 + 3(3) - 1 = 9 - 18 + 9 - 1 = -1$
  • $f(2) = \frac{2^3}{3} - 2(2)^2 + 3(2) - 1 = \frac{8}{3} - 8 + 6 - 1 = \frac{8}{3} - 3 = -\frac{1}{3}$
  • $f(4) = \frac{4^3}{3} - 2(4)^2 + 3(4) - 1 = \frac{64}{3} - 32 + 12 - 1 = \frac{64}{3} - 21 = \frac{1}{3}$

5. Сравниваем полученные значения: $\{-1, -\frac{1}{3}, \frac{1}{3}\}$.

Наибольшее значение функции на отрезке равно $\frac{1}{3}$, а наименьшее равно -1.

Ответ: наибольшее значение функции $\frac{1}{3}$, наименьшее значение -1.

в) $f(x) = \frac{x^4}{4} - 8x^2$ на отрезке $[-1; 2]$

1. Находим производную функции:

$f'(x) = (\frac{x^4}{4} - 8x^2)' = x^3 - 16x$

2. Находим критические точки:

$x^3 - 16x = 0$

$x(x^2 - 16) = 0$

$x(x-4)(x+4) = 0$

Критические точки: $x_1 = 0, x_2 = 4, x_3 = -4$.

3. Из критических точек отрезку $[-1; 2]$ принадлежит только $x = 0$.

4. Вычисляем значения функции в точке $x=0$ и на концах отрезка:

  • $f(0) = \frac{0^4}{4} - 8(0)^2 = 0$
  • $f(-1) = \frac{(-1)^4}{4} - 8(-1)^2 = \frac{1}{4} - 8 = -\frac{31}{4} = -7\frac{3}{4}$
  • $f(2) = \frac{2^4}{4} - 8(2)^2 = \frac{16}{4} - 32 = 4 - 32 = -28$

5. Сравниваем полученные значения: $\{0, -7\frac{3}{4}, -28\}$.

Наибольшее значение функции на отрезке равно 0, а наименьшее равно -28.

Ответ: наибольшее значение функции 0, наименьшее значение -28.

г) $f(x) = 3x^5 - 5x^3 + 1$ на отрезке $[-2; 2]$

1. Находим производную функции:

$f'(x) = (3x^5 - 5x^3 + 1)' = 15x^4 - 15x^2$

2. Находим критические точки:

$15x^4 - 15x^2 = 0$

$15x^2(x^2 - 1) = 0$

$15x^2(x-1)(x+1) = 0$

Критические точки: $x_1 = 0, x_2 = 1, x_3 = -1$.

3. Все три критические точки принадлежат отрезку $[-2; 2]$.

4. Вычисляем значения функции в критических точках и на концах отрезка:

  • $f(0) = 3(0)^5 - 5(0)^3 + 1 = 1$
  • $f(1) = 3(1)^5 - 5(1)^3 + 1 = 3 - 5 + 1 = -1$
  • $f(-1) = 3(-1)^5 - 5(-1)^3 + 1 = -3 + 5 + 1 = 3$
  • $f(-2) = 3(-2)^5 - 5(-2)^3 + 1 = 3(-32) - 5(-8) + 1 = -96 + 40 + 1 = -55$
  • $f(2) = 3(2)^5 - 5(2)^3 + 1 = 3(32) - 5(8) + 1 = 96 - 40 + 1 = 57$

5. Сравниваем полученные значения: $\{1, -1, 3, -55, 57\}$.

Наибольшее значение функции на отрезке равно 57, а наименьшее равно -55.

Ответ: наибольшее значение функции 57, наименьшее значение -55.

Помогло решение? Оставьте отзыв в комментариях ниже.

Присоединяйтесь к Телеграм-группе @gdz_by_belarus

Присоединиться

Мы подготовили для вас ответ c подробным объяснением домашего задания по алгебре за 10 класс, для упражнения номер 3.155 расположенного на странице 272 к учебнику 2019 года издания для учащихся школ и гимназий.

Теперь на нашем сайте ГДЗ.ТОП вы всегда легко и бесплатно найдёте условие с правильным ответом на вопрос «Как решить ДЗ» и «Как сделать» задание по алгебре к упражнению №3.155 (с. 272), авторов: Арефьева (Ирина Глебовна), Пирютко (Ольга Николаевна), учебного пособия издательства Народная асвета.