Номер 1.537, страница 157 - гдз по алгебре 10 класс учебник Арефьева, Пирютко

Алгебра, 10 класс Учебник, авторы: Арефьева Ирина Глебовна, Пирютко Ольга Николаевна, издательство Народная асвета, Минск, 2019, голубого цвета

Авторы: Арефьева И. Г., Пирютко О. Н.

Тип: Учебник

Издательство: Народная асвета

Год издания: 2019 - 2026

Цвет обложки: голубой с графиком

Допущено Министерством образования Республики Беларусь

Популярные ГДЗ в 10 классе

Глава 1. Тригонометрия. Параграф 12. Формулы преобразования суммы и разности синусов (косинусов) в произведение - номер 1.537, страница 157.

№1.537 (с. 157)
Условие. №1.537 (с. 157)
скриншот условия
Алгебра, 10 класс Учебник, авторы: Арефьева Ирина Глебовна, Пирютко Ольга Николаевна, издательство Народная асвета, Минск, 2019, голубого цвета, страница 157, номер 1.537, Условие

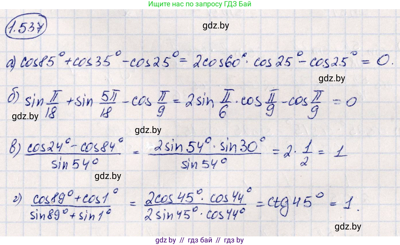
1.537. Найдите значение выражения:

а) $ \cos 85^\circ + \cos 35^\circ - \cos 25^\circ; $

б) $ \sin \frac{\pi}{18} + \sin \frac{5\pi}{18} - \cos \frac{\pi}{9}; $

В) $ \frac{\cos 24^\circ - \cos 84^\circ}{\sin 54^\circ}; $

Г) $ \frac{\cos 89^\circ + \cos 1^\circ}{\sin 89^\circ + \sin 1^\circ}. $

Решение. №1.537 (с. 157)
Алгебра, 10 класс Учебник, авторы: Арефьева Ирина Глебовна, Пирютко Ольга Николаевна, издательство Народная асвета, Минск, 2019, голубого цвета, страница 157, номер 1.537, Решение
Решение 2. №1.537 (с. 157)

Для решения данных задач мы будем использовать формулы преобразования суммы и разности тригонометрических функций в произведение:

  • Сумма косинусов: $cos\alpha + cos\beta = 2cos\frac{\alpha+\beta}{2}cos\frac{\alpha-\beta}{2}$
  • Разность косинусов: $cos\alpha - cos\beta = -2sin\frac{\alpha+\beta}{2}sin\frac{\alpha-\beta}{2}$
  • Сумма синусов: $sin\alpha + sin\beta = 2sin\frac{\alpha+\beta}{2}cos\frac{\alpha-\beta}{2}$

а) $cos85° + cos35° - cos25°$

Сначала преобразуем сумму первых двух косинусов, используя формулу суммы косинусов:

$cos85° + cos35° = 2cos\frac{85°+35°}{2}cos\frac{85°-35°}{2} = 2cos\frac{120°}{2}cos\frac{50°}{2} = 2cos60°cos25°$

Мы знаем, что значение $cos60° = \frac{1}{2}$. Подставим это значение в выражение:

$2 \cdot \frac{1}{2} \cdot cos25° = cos25°$

Теперь вернемся к исходному выражению:

$cos25° - cos25° = 0$

Ответ: 0

б) $sin\frac{\pi}{18} + sin\frac{5\pi}{18} - cos\frac{\pi}{9}$

Преобразуем сумму синусов, используя соответствующую формулу:

$sin\frac{\pi}{18} + sin\frac{5\pi}{18} = 2sin\frac{\frac{\pi}{18}+\frac{5\pi}{18}}{2}cos\frac{\frac{5\pi}{18}-\frac{\pi}{18}}{2} = 2sin\frac{\frac{6\pi}{18}}{2}cos\frac{\frac{4\pi}{18}}{2} = 2sin\frac{\frac{\pi}{3}}{2}cos\frac{\frac{2\pi}{9}}{2} = 2sin\frac{\pi}{6}cos\frac{\pi}{9}$

Мы знаем, что значение $sin\frac{\pi}{6} = \frac{1}{2}$. Подставим это значение:

$2 \cdot \frac{1}{2} \cdot cos\frac{\pi}{9} = cos\frac{\pi}{9}$

Теперь вернемся к исходному выражению:

$cos\frac{\pi}{9} - cos\frac{\pi}{9} = 0$

Ответ: 0

в) $\frac{cos24° - cos84°}{sin54°}$

Преобразуем числитель дроби, используя формулу разности косинусов:

$cos24° - cos84° = -2sin\frac{24°+84°}{2}sin\frac{24°-84°}{2} = -2sin\frac{108°}{2}sin\frac{-60°}{2} = -2sin54°sin(-30°)$

Используем свойство нечетности синуса $sin(-x) = -sinx$ и значение $sin30° = \frac{1}{2}$:

$-2sin54°(-sin30°) = 2sin54°sin30° = 2sin54° \cdot \frac{1}{2} = sin54°$

Подставим полученный результат в исходную дробь:

$\frac{sin54°}{sin54°} = 1$

Ответ: 1

г) $\frac{cos89° + cos1°}{sin89° + sin1°}$

Преобразуем числитель по формуле суммы косинусов:

$cos89° + cos1° = 2cos\frac{89°+1°}{2}cos\frac{89°-1°}{2} = 2cos\frac{90°}{2}cos\frac{88°}{2} = 2cos45°cos44°$

Преобразуем знаменатель по формуле суммы синусов:

$sin89° + sin1° = 2sin\frac{89°+1°}{2}cos\frac{89°-1°}{2} = 2sin\frac{90°}{2}cos\frac{88°}{2} = 2sin45°cos44°$

Теперь подставим преобразованные выражения в дробь:

$\frac{2cos45°cos44°}{2sin45°cos44°}$

Сокращаем общие множители $2$ и $cos44°$:

$\frac{cos45°}{sin45°} = ctg45°$

Мы знаем, что $ctg45° = 1$.

Ответ: 1

Помогло решение? Оставьте отзыв в комментариях ниже.

Присоединяйтесь к Телеграм-группе @gdz_by_belarus

Присоединиться

Мы подготовили для вас ответ c подробным объяснением домашего задания по алгебре за 10 класс, для упражнения номер 1.537 расположенного на странице 157 к учебнику 2019 года издания для учащихся школ и гимназий.

Теперь на нашем сайте ГДЗ.ТОП вы всегда легко и бесплатно найдёте условие с правильным ответом на вопрос «Как решить ДЗ» и «Как сделать» задание по алгебре к упражнению №1.537 (с. 157), авторов: Арефьева (Ирина Глебовна), Пирютко (Ольга Николаевна), учебного пособия издательства Народная асвета.