Номер 10, страница 217 - гдз по алгебре 10 класс учебник Арефьева, Пирютко

Алгебра, 10 класс Учебник, авторы: Арефьева Ирина Глебовна, Пирютко Ольга Николаевна, издательство Народная асвета, Минск, 2019, голубого цвета

Авторы: Арефьева И. Г., Пирютко О. Н.

Тип: Учебник

Издательство: Народная асвета

Год издания: 2019 - 2026

Цвет обложки: голубой с графиком

Допущено Министерством образования Республики Беларусь

Популярные ГДЗ в 10 классе

Глава 2. Корень n-й степени из числа. Я проверяю свои знания - номер 10, страница 217.

№10 (с. 217)
Условие. №10 (с. 217)
скриншот условия
Алгебра, 10 класс Учебник, авторы: Арефьева Ирина Глебовна, Пирютко Ольга Николаевна, издательство Народная асвета, Минск, 2019, голубого цвета, страница 217, номер 10, Условие

10. Решите уравнение $\sqrt{x-1} + \sqrt{2x-1} = 4-3x-2\sqrt{2x^2-3x+1}$.

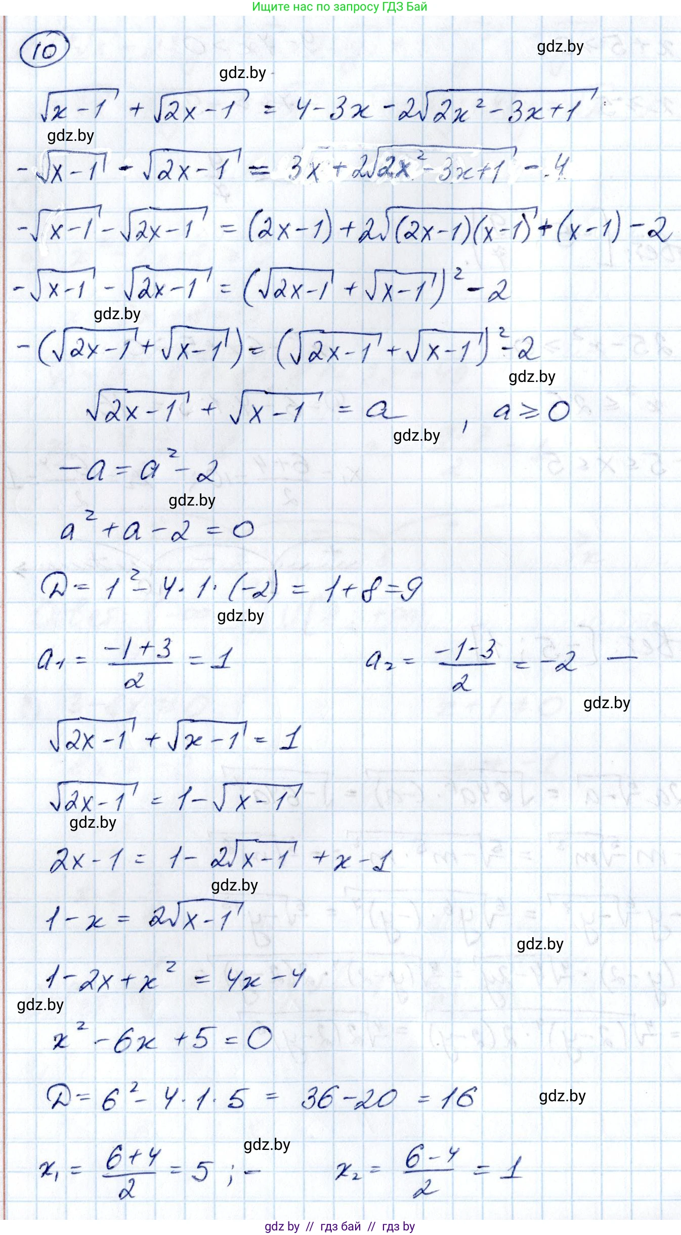
Решение. №10 (с. 217)
Алгебра, 10 класс Учебник, авторы: Арефьева Ирина Глебовна, Пирютко Ольга Николаевна, издательство Народная асвета, Минск, 2019, голубого цвета, страница 217, номер 10, Решение Алгебра, 10 класс Учебник, авторы: Арефьева Ирина Глебовна, Пирютко Ольга Николаевна, издательство Народная асвета, Минск, 2019, голубого цвета, страница 217, номер 10, Решение (продолжение 2)
Решение 2. №10 (с. 217)

Для начала определим область допустимых значений (ОДЗ) для данного уравнения. Все выражения под знаками квадратных корней должны быть неотрицательными:

1. $x-1 \ge 0 \implies x \ge 1$

2. $2x-1 \ge 0 \implies x \ge \frac{1}{2}$

3. $2x^2-3x+1 \ge 0$. Для решения этого квадратного неравенства найдем корни соответствующего уравнения $2x^2-3x+1=0$. Дискриминант $D = (-3)^2 - 4 \cdot 2 \cdot 1 = 9 - 8 = 1$. Корни уравнения: $x_1 = \frac{3 - \sqrt{1}}{2 \cdot 2} = \frac{2}{4} = \frac{1}{2}$ и $x_2 = \frac{3 + \sqrt{1}}{2 \cdot 2} = \frac{4}{4} = 1$. Поскольку парабола $y=2x^2-3x+1$ имеет ветви, направленные вверх, неравенство выполняется при $x \le \frac{1}{2}$ или $x \ge 1$.

Объединяя все три условия, получаем ОДЗ: $x \ge 1$.

Теперь приступим к решению уравнения:$\sqrt{x-1} + \sqrt{2x-1} = 4 - 3x - 2\sqrt{2x^2-3x+1}$

Заметим, что выражение под последним корнем можно разложить на множители, используя найденные ранее корни: $2x^2-3x+1 = (x-1)(2x-1)$. Перепишем уравнение, подставив это разложение, и перенесем все члены в левую часть:$\sqrt{x-1} + \sqrt{2x-1} + 2\sqrt{(x-1)(2x-1)} + 3x - 4 = 0$

Для упрощения уравнения введем замену: пусть $a = \sqrt{x-1}$ и $b = \sqrt{2x-1}$. Из ОДЗ ($x \ge 1$) следует, что $a \ge 0$ и $b \ge \sqrt{2(1)-1} = 1$. Выразим $3x-4$ через $a$ и $b$.$a^2 = x-1$$b^2 = 2x-1$Сложим эти выражения: $a^2 + b^2 = (x-1) + (2x-1) = 3x-2$. Тогда $3x-4 = (3x-2) - 2 = a^2+b^2-2$.

Подставим замену в уравнение:$a + b + 2ab + (a^2+b^2-2) = 0$

Сгруппируем члены, чтобы выделить полный квадрат:$(a^2 + 2ab + b^2) + (a+b) - 2 = 0$$(a+b)^2 + (a+b) - 2 = 0$

Это квадратное уравнение относительно $(a+b)$. Сделаем еще одну замену: $Y = a+b$.$Y^2 + Y - 2 = 0$По теореме Виета, корни этого уравнения $Y_1=1$ и $Y_2=-2$.

Вернемся к переменной $x$:1. $a+b = \sqrt{x-1} + \sqrt{2x-1} = -2$. Это уравнение не имеет решений, так как сумма неотрицательных значений квадратных корней не может быть отрицательным числом.2. $a+b = \sqrt{x-1} + \sqrt{2x-1} = 1$.

Решим второе уравнение. Проверим корень на границе ОДЗ, т.е. $x=1$:$\sqrt{1-1} + \sqrt{2(1)-1} = \sqrt{0} + \sqrt{1} = 0 + 1 = 1$. Равенство $1=1$ выполняется, значит $x=1$ является корнем уравнения.

Чтобы убедиться, что других корней нет, рассмотрим функцию $f(x) = \sqrt{x-1} + \sqrt{2x-1}$ на ОДЗ $x \ge 1$. Эта функция является суммой двух возрастающих функций, следовательно, она сама является строго возрастающей на своей области определения. Это означает, что каждое свое значение она принимает только один раз. Поскольку мы нашли, что $f(1)=1$, других значений $x$, для которых $f(x)=1$, не существует.

Таким образом, единственным решением исходного уравнения является $x=1$.

Ответ: 1

Помогло решение? Оставьте отзыв в комментариях ниже.

Присоединяйтесь к Телеграм-группе @gdz_by_belarus

Присоединиться

Мы подготовили для вас ответ c подробным объяснением домашего задания по алгебре за 10 класс, для упражнения номер 10 расположенного на странице 217 к учебнику 2019 года издания для учащихся школ и гимназий.

Теперь на нашем сайте ГДЗ.ТОП вы всегда легко и бесплатно найдёте условие с правильным ответом на вопрос «Как решить ДЗ» и «Как сделать» задание по алгебре к упражнению №10 (с. 217), авторов: Арефьева (Ирина Глебовна), Пирютко (Ольга Николаевна), учебного пособия издательства Народная асвета.