Номер 9, страница 275 - гдз по алгебре 10 класс учебник Арефьева, Пирютко

Алгебра, 10 класс Учебник, авторы: Арефьева Ирина Глебовна, Пирютко Ольга Николаевна, издательство Народная асвета, Минск, 2019, голубого цвета

Авторы: Арефьева И. Г., Пирютко О. Н.

Тип: Учебник

Издательство: Народная асвета

Год издания: 2019 - 2026

Цвет обложки: голубой с графиком

Допущено Министерством образования Республики Беларусь

Популярные ГДЗ в 10 классе

Глава 3. Производная. Я проверяю свои знания - номер 9, страница 275.

№9 (с. 275)
Условие. №9 (с. 275)
скриншот условия
Алгебра, 10 класс Учебник, авторы: Арефьева Ирина Глебовна, Пирютко Ольга Николаевна, издательство Народная асвета, Минск, 2019, голубого цвета, страница 275, номер 9, Условие

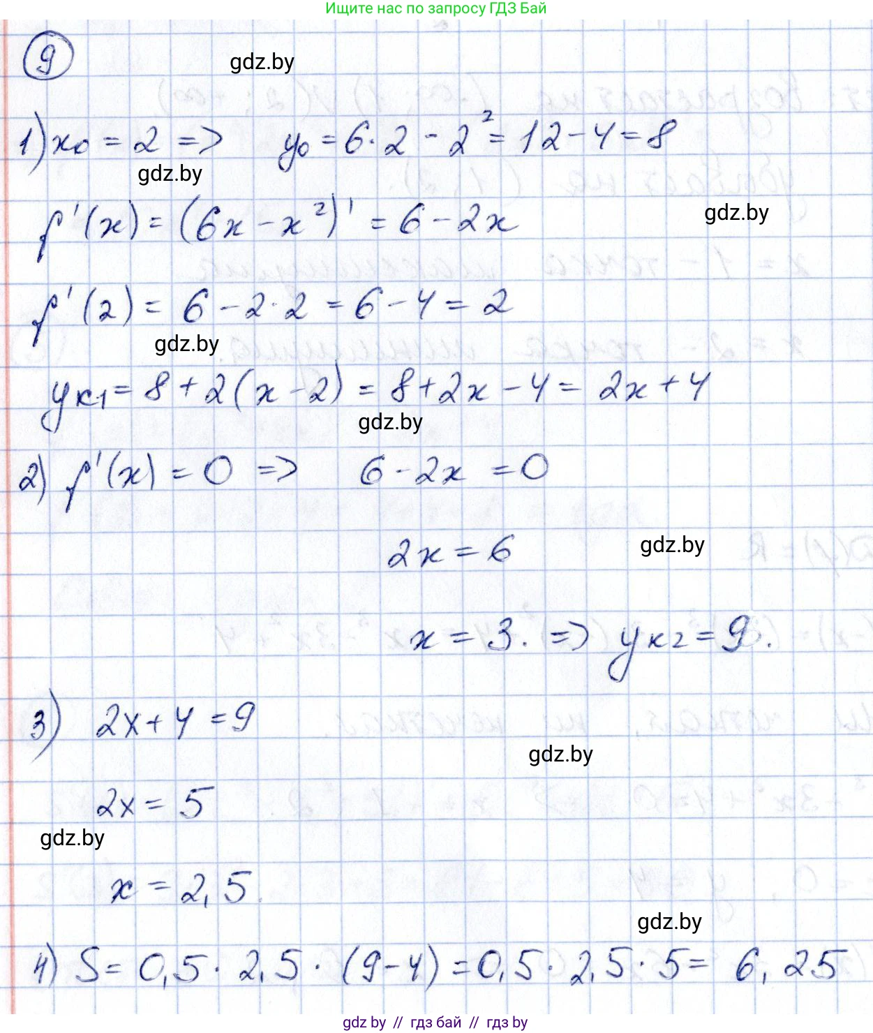
9. К графику функции $f(x) = 6x - x^2$ проведены две касательные. Первая касательная проведена в точке на графике с абсциссой $x_0 = 2$, вторая — в точке максимума данной функции. Найдите площадь треугольника, образованного осью ординат и этими касательными.

Решение. №9 (с. 275)
Алгебра, 10 класс Учебник, авторы: Арефьева Ирина Глебовна, Пирютко Ольга Николаевна, издательство Народная асвета, Минск, 2019, голубого цвета, страница 275, номер 9, Решение Алгебра, 10 класс Учебник, авторы: Арефьева Ирина Глебовна, Пирютко Ольга Николаевна, издательство Народная асвета, Минск, 2019, голубого цвета, страница 275, номер 9, Решение (продолжение 2)
Решение 2. №9 (с. 275)

Для решения задачи необходимо последовательно найти уравнения двух касательных, определить координаты вершин треугольника, образованного этими касательными и осью ординат, и затем вычислить его площадь.

Нахождение уравнения первой касательной
Первая касательная проведена к графику функции $f(x) = 6x - x^2$ в точке с абсциссой $x_0 = 2$. Уравнение касательной в общем виде записывается как $y = f(x_0) + f'(x_0)(x - x_0)$.
1. Находим производную функции:
$f'(x) = (6x - x^2)' = 6 - 2x$.
2. Вычисляем значение функции и ее производной в точке $x_0 = 2$:
$f(2) = 6(2) - 2^2 = 12 - 4 = 8$.
$f'(2) = 6 - 2(2) = 6 - 4 = 2$.
3. Подставляем найденные значения в уравнение касательной:
$y = 8 + 2(x - 2)$
$y = 8 + 2x - 4$
$y = 2x + 4$.
Ответ: Уравнение первой касательной: $y = 2x + 4$.

Нахождение уравнения второй касательной
Вторая касательная проведена в точке максимума функции. Чтобы найти точку максимума, необходимо найти критическую точку, приравняв производную к нулю:
$f'(x) = 0 \implies 6 - 2x = 0 \implies x = 3$.
Найдем ординату точки максимума, подставив $x=3$ в исходную функцию:
$y_{max} = f(3) = 6(3) - 3^2 = 18 - 9 = 9$.
Точка максимума имеет координаты $(3, 9)$.
В точке экстремума (максимума) производная равна нулю, следовательно, касательная является горизонтальной линией. Ее уравнение $y = y_{max}$.
Ответ: Уравнение второй касательной: $y = 9$.

Нахождение площади треугольника
Искомый треугольник образован тремя прямыми:

  • Первая касательная: $y = 2x + 4$
  • Вторая касательная: $y = 9$
  • Ось ординат: $x = 0$

Найдем вершины треугольника, решив системы уравнений для точек пересечения этих прямых:
- Вершина A (пересечение двух касательных):
$\begin{cases} y = 2x + 4 \\ y = 9 \end{cases} \implies 9 = 2x + 4 \implies 2x = 5 \implies x = 2.5$.
Координаты вершины A: $(2.5, 9)$.
- Вершина B (пересечение первой касательной с осью ординат):
При $x = 0$, $y = 2(0) + 4 = 4$.
Координаты вершины B: $(0, 4)$.
- Вершина C (пересечение второй касательной с осью ординат):
При $x = 0$, $y = 9$.
Координаты вершины C: $(0, 9)$.

Основание треугольника — это отрезок BC, который лежит на оси ординат. Его длина равна разности ординат точек C и B:
Основание $b = |9 - 4| = 5$.
Высота треугольника $h$ — это перпендикуляр, опущенный из вершины A на ось ординат. Его длина равна абсциссе точки A:
Высота $h = 2.5$.
Площадь треугольника вычисляем по формуле $S = \frac{1}{2} \cdot b \cdot h$:
$S = \frac{1}{2} \cdot 5 \cdot 2.5 = \frac{12.5}{2} = 6.25$.
Переведем десятичную дробь в смешанное число: $6.25 = \frac{625}{100} = \frac{25}{4} = 6\frac{1}{4}$.
Ответ: Площадь треугольника равна 6$\frac{1}{4}$.

Помогло решение? Оставьте отзыв в комментариях ниже.

Присоединяйтесь к Телеграм-группе @gdz_by_belarus

Присоединиться

Мы подготовили для вас ответ c подробным объяснением домашего задания по алгебре за 10 класс, для упражнения номер 9 расположенного на странице 275 к учебнику 2019 года издания для учащихся школ и гимназий.

Теперь на нашем сайте ГДЗ.ТОП вы всегда легко и бесплатно найдёте условие с правильным ответом на вопрос «Как решить ДЗ» и «Как сделать» задание по алгебре к упражнению №9 (с. 275), авторов: Арефьева (Ирина Глебовна), Пирютко (Ольга Николаевна), учебного пособия издательства Народная асвета.