Номер 3, страница 159 - гдз по алгебре 10 класс учебник Арефьева, Пирютко

Алгебра, 10 класс Учебник, авторы: Арефьева Ирина Глебовна, Пирютко Ольга Николаевна, издательство Народная асвета, Минск, 2019, голубого цвета

Авторы: Арефьева И. Г., Пирютко О. Н.

Тип: Учебник

Издательство: Народная асвета

Год издания: 2019 - 2026

Цвет обложки: голубой с графиком

Допущено Министерством образования Республики Беларусь

Популярные ГДЗ в 10 классе

Глава 1. Тригонометрия. Я проверяю свои знания - номер 3, страница 159.

№3 (с. 159)
Условие. №3 (с. 159)
скриншот условия
Алгебра, 10 класс Учебник, авторы: Арефьева Ирина Глебовна, Пирютко Ольга Николаевна, издательство Народная асвета, Минск, 2019, голубого цвета, страница 159, номер 3, Условие

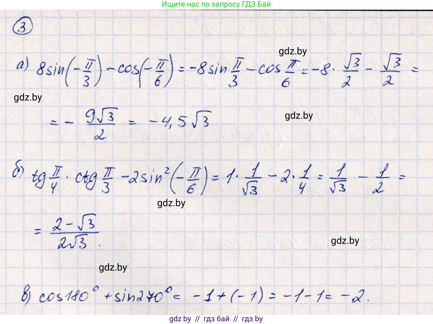
3. Найдите значение выражения:

а) $ 8\sin\left(-\frac{\pi}{3}\right) - \cos\left(-\frac{\pi}{6}\right); $

б) $ \mathrm{tg}\frac{\pi}{4}\mathrm{ctg}\frac{\pi}{3} - 2\sin^2\left(-\frac{\pi}{6}\right); $

в) $ \cos 180^\circ + \sin 270^\circ $.

Решение. №3 (с. 159)
Алгебра, 10 класс Учебник, авторы: Арефьева Ирина Глебовна, Пирютко Ольга Николаевна, издательство Народная асвета, Минск, 2019, голубого цвета, страница 159, номер 3, Решение
Решение 2. №3 (с. 159)

а) Для упрощения выражения $\cos(\pi - \alpha) + \cos(-\alpha)$ воспользуемся формулами приведения и свойствами тригонометрических функций.

1. Формула приведения для косинуса: $\cos(\pi - \alpha) = -\cos(\alpha)$. Это следует из того, что для угла $(\pi - \alpha)$, который находится во второй координатной четверти, значение косинуса отрицательно, а так как в формуле используется $\pi$, то название функции не меняется.

2. Свойство четности косинуса: $\cos(-\alpha) = \cos(\alpha)$, так как косинус является четной функцией.

3. Подставляем упрощенные выражения в исходное:
$\cos(\pi - \alpha) + \cos(-\alpha) = -\cos(\alpha) + \cos(\alpha) = 0$.

Ответ: 0

б) Для упрощения выражения $\sin(-\alpha) + \cos(\alpha - \frac{\pi}{2})$ также применим свойства функций и формулы приведения.

1. Свойство нечетности синуса: $\sin(-\alpha) = -\sin(\alpha)$, так как синус является нечетной функцией.

2. Преобразуем второй член, используя свойство четности косинуса: $\cos(\alpha - \frac{\pi}{2}) = \cos(-(\frac{\pi}{2} - \alpha)) = \cos(\frac{\pi}{2} - \alpha)$.

3. Применим формулу приведения (формулу для кофункции): $\cos(\frac{\pi}{2} - \alpha) = \sin(\alpha)$.

4. Подставляем упрощенные выражения в исходное:
$\sin(-\alpha) + \cos(\alpha - \frac{\pi}{2}) = -\sin(\alpha) + \sin(\alpha) = 0$.

Ответ: 0

в) Упростим выражение $\text{tg}^2(\pi - \alpha) + \sin^2(-\alpha) + \sin^2(\frac{3\pi}{2} - \alpha)$.

1. Упростим первый член $\text{tg}^2(\pi - \alpha)$. По формуле приведения, $\text{tg}(\pi - \alpha) = -\text{tg}(\alpha)$. Тогда $\text{tg}^2(\pi - \alpha) = (-\text{tg}(\alpha))^2 = \text{tg}^2(\alpha)$.

2. Упростим второй член $\sin^2(-\alpha)$. Так как синус - нечетная функция, $\sin(-\alpha) = -\sin(\alpha)$. Тогда $\sin^2(-\alpha) = (-\sin(\alpha))^2 = \sin^2(\alpha)$.

3. Упростим третий член $\sin^2(\frac{3\pi}{2} - \alpha)$. По формуле приведения, для угла $(\frac{3\pi}{2} - \alpha)$, который находится в третьей координатной четверти, синус отрицателен, и так как в формуле используется $\frac{3\pi}{2}$, функция меняется на кофункцию (косинус). Таким образом, $\sin(\frac{3\pi}{2} - \alpha) = -\cos(\alpha)$. Тогда $\sin^2(\frac{3\pi}{2} - \alpha) = (-\cos(\alpha))^2 = \cos^2(\alpha)$.

4. Подставим все упрощенные части в исходное выражение:
$\text{tg}^2(\alpha) + \sin^2(\alpha) + \cos^2(\alpha)$.

5. Используем основное тригонометрическое тождество $\sin^2(\alpha) + \cos^2(\alpha) = 1$.
Выражение принимает вид: $\text{tg}^2(\alpha) + 1$.

Ответ: $1 + \text{tg}^2(\alpha)$

Помогло решение? Оставьте отзыв в комментариях ниже.

Присоединяйтесь к Телеграм-группе @gdz_by_belarus

Присоединиться

Мы подготовили для вас ответ c подробным объяснением домашего задания по алгебре за 10 класс, для упражнения номер 3 расположенного на странице 159 к учебнику 2019 года издания для учащихся школ и гимназий.

Теперь на нашем сайте ГДЗ.ТОП вы всегда легко и бесплатно найдёте условие с правильным ответом на вопрос «Как решить ДЗ» и «Как сделать» задание по алгебре к упражнению №3 (с. 159), авторов: Арефьева (Ирина Глебовна), Пирютко (Ольга Николаевна), учебного пособия издательства Народная асвета.