Номер 121, страница 294 - гдз по алгебре 10-11 класс учебник Колмогоров, Абрамов

Алгебра, 10-11 класс Учебник, авторы: Колмогоров Андрей Николаевич, Абрамов Александр Михайлович, Дудницын Юрий Павлович, издательство Просвещение, Москва, 2008, зелёного цвета

Авторы: Колмогоров А. Н., Абрамов А. М., Дудницын Ю. П.

Тип: Учебник

Издательство: Просвещение

Год издания: 2008 - 2026

Цвет обложки: зелёный, чёрный

ISBN: 978-5-09-019513-3

Рекомендовано Министерством образования и науки Российской Федерации

Алгебра и начала математического анализа

Популярные ГДЗ в 10 классе

Глава 5. Задачи на повторение. Параграф 3. Функции - номер 121, страница 294.

№121 (с. 294)
Условие. №121 (с. 294)
скриншот условия
Алгебра, 10-11 класс Учебник, авторы: Колмогоров Андрей Николаевич, Абрамов Александр Михайлович, Дудницын Юрий Павлович, издательство Просвещение, Москва, 2008, зелёного цвета, страница 294, номер 121, Условие

121. Исследуйте функцию и постройте ее график:

а) $y = 2 \sqrt{x-1}$

б) $y = 4^{x-1} - 2$

в) $y = \frac{1}{2} \log_2(x+1)$

г) $y = \sqrt[3]{x-2} + 1$

Решение 1. №121 (с. 294)
Алгебра, 10-11 класс Учебник, авторы: Колмогоров Андрей Николаевич, Абрамов Александр Михайлович, Дудницын Юрий Павлович, издательство Просвещение, Москва, 2008, зелёного цвета, страница 294, номер 121, Решение 1
Решение 2. №121 (с. 294)
Алгебра, 10-11 класс Учебник, авторы: Колмогоров Андрей Николаевич, Абрамов Александр Михайлович, Дудницын Юрий Павлович, издательство Просвещение, Москва, 2008, зелёного цвета, страница 294, номер 121, Решение 2
Алгебра, 10-11 класс Учебник, авторы: Колмогоров Андрей Николаевич, Абрамов Александр Михайлович, Дудницын Юрий Павлович, издательство Просвещение, Москва, 2008, зелёного цвета, страница 294, номер 121, Решение 2 (продолжение 2)
Решение 5. №121 (с. 294)

а) $y = 2\sqrt{x-1}$

График данной функции можно получить из графика базовой функции $y=\sqrt{x}$ с помощью последовательных преобразований:

  1. Сдвиг графика $y=\sqrt{x}$ на 1 единицу вправо вдоль оси Ox. В результате получаем график функции $y=\sqrt{x-1}$.
  2. Растяжение полученного графика вдоль оси Oy в 2 раза (умножение всех ординат на 2). В результате получаем искомый график функции $y=2\sqrt{x-1}$.

Проведем полное исследование функции:

  • Область определения: Выражение под знаком квадратного корня должно быть неотрицательным.
    $x-1 \ge 0 \implies x \ge 1$.
    Следовательно, $D(y) = [1, +\infty)$.
  • Область значений: Так как $\sqrt{x-1} \ge 0$ для всех $x$ из области определения, то $y = 2\sqrt{x-1} \ge 0$.
    Следовательно, $E(y) = [0, +\infty)$.
  • Нули функции (пересечение с осью Ox): Найдем $x$, при котором $y=0$.
    $2\sqrt{x-1} = 0 \implies \sqrt{x-1} = 0 \implies x-1=0 \implies x=1$.
    График пересекает ось Ox в точке $(1, 0)$.
  • Пересечение с осью Oy: Для этого нужно найти значение функции при $x=0$. Однако $x=0$ не входит в область определения функции, поэтому график не пересекает ось Oy.
  • Промежутки монотонности: Функция является произведением положительной константы и возрастающей функции $\sqrt{x-1}$, поэтому она возрастает на всей своей области определения, то есть на промежутке $[1, +\infty)$.
  • Точки экстремума: Функция имеет точку минимума в начальной точке своей области определения.
    $y_{min} = y(1) = 0$. Точка минимума: $(1, 0)$.
  • Асимптоты: Горизонтальных, вертикальных и наклонных асимптот нет.
  • Четность и нечетность: Область определения $D(y) = [1, +\infty)$ не является симметричной относительно начала координат, поэтому функция не является ни четной, ни нечетной.

Для построения графика найдем координаты нескольких точек:

  • при $x=1$, $y = 2\sqrt{1-1} = 0$. Точка $(1, 0)$.
  • при $x=2$, $y = 2\sqrt{2-1} = 2$. Точка $(2, 2)$.
  • при $x=5$, $y = 2\sqrt{5-1} = 2\sqrt{4} = 4$. Точка $(5, 4)$.

Ответ: Функция определена при $x \in [1, +\infty)$, область значений $y \in [0, +\infty)$. Нуль функции в точке $(1, 0)$. Функция строго возрастает на всей области определения. График — это ветвь параболы, смещенная на 1 вправо по оси Ox и растянутая в 2 раза вдоль оси Oy, выходящая из точки $(1, 0)$.

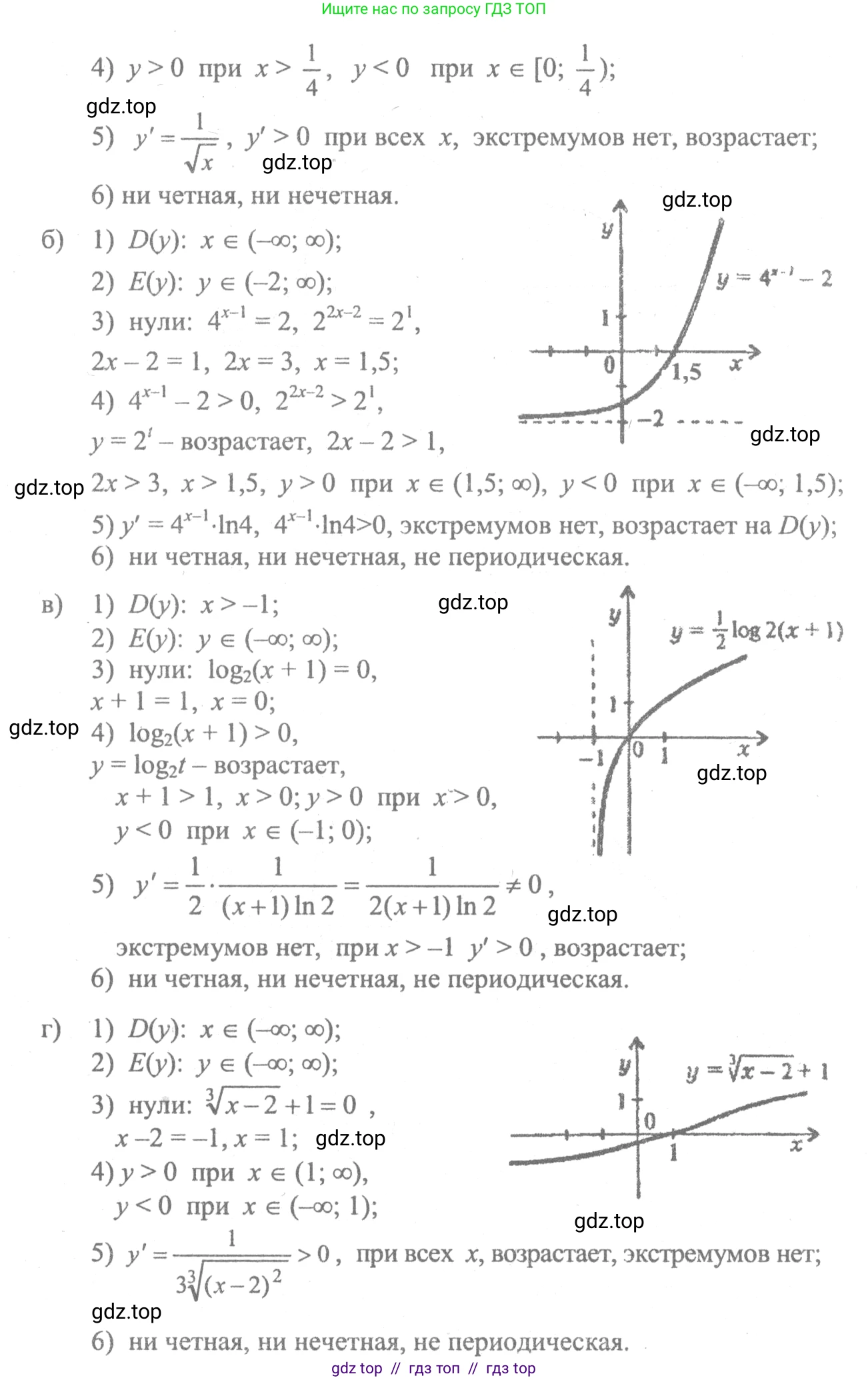
б) $y = 4^{x-1} - 2$

График данной функции можно получить из графика базовой показательной функции $y=4^x$ с помощью преобразований:

  1. Сдвиг графика $y=4^x$ на 1 единицу вправо вдоль оси Ox. Получаем график функции $y=4^{x-1}$.
  2. Сдвиг полученного графика на 2 единицы вниз вдоль оси Oy. Получаем искомый график функции $y=4^{x-1}-2$.

Проведем полное исследование функции:

  • Область определения: Показательная функция определена для любых действительных значений аргумента.
    $D(y) = (-\infty, +\infty)$.
  • Область значений: Так как $4^{x-1} > 0$, то $y = 4^{x-1}-2 > -2$.
    Следовательно, $E(y) = (-2, +\infty)$.
  • Нули функции (пересечение с осью Ox): Решим уравнение $y=0$.
    $4^{x-1}-2 = 0 \implies 4^{x-1} = 2 \implies (2^2)^{x-1} = 2^1 \implies 2^{2x-2} = 2^1$.
    $2x-2 = 1 \implies 2x = 3 \implies x = 1.5$.
    График пересекает ось Ox в точке $(1.5, 0)$.
  • Пересечение с осью Oy: Найдем значение функции при $x=0$.
    $y = 4^{0-1} - 2 = 4^{-1} - 2 = \frac{1}{4} - 2 = -1.75$.
    График пересекает ось Oy в точке $(0, -1.75)$.
  • Промежутки монотонности: Так как основание степени $4 > 1$, показательная функция является возрастающей. Сдвиги не меняют характер монотонности. Функция возрастает на всей области определения $(-\infty, +\infty)$.
  • Точки экстремума: Экстремумов нет.
  • Асимптоты: При $x \to -\infty$, $4^{x-1} \to 0$, следовательно $y \to -2$.
    Горизонтальная асимптота: $y=-2$. Вертикальных асимптот нет.
  • Четность и нечетность: $y(-x) = 4^{-x-1}-2$. Так как $y(-x) \ne y(x)$ и $y(-x) \ne -y(x)$, функция не является ни четной, ни нечетной.

Ответ: Функция определена для всех $x \in \mathbb{R}$, область значений $y \in (-2, +\infty)$. Пересекает ось Ox в точке $(1.5, 0)$ и ось Oy в точке $(0, -1.75)$. Функция строго возрастает. Имеет горизонтальную асимптоту $y=-2$. График — это экспонента $y=4^x$, смещенная на 1 вправо и на 2 вниз.

в) $y = \frac{1}{2}\log_2(x+1)$

График данной функции можно получить из графика базовой логарифмической функции $y=\log_2 x$ с помощью преобразований:

  1. Сдвиг графика $y=\log_2 x$ на 1 единицу влево вдоль оси Ox. Получаем график функции $y=\log_2(x+1)$.
  2. Сжатие полученного графика к оси Ox в 2 раза (умножение всех ординат на $\frac{1}{2}$). Получаем искомый график функции $y = \frac{1}{2}\log_2(x+1)$.

Проведем полное исследование функции:

  • Область определения: Аргумент логарифма должен быть строго положительным.
    $x+1 > 0 \implies x > -1$.
    Следовательно, $D(y) = (-1, +\infty)$.
  • Область значений: Область значений логарифмической функции — все действительные числа.
    $E(y) = (-\infty, +\infty)$.
  • Нули функции (пересечение с осью Ox): Решим уравнение $y=0$.
    $\frac{1}{2}\log_2(x+1) = 0 \implies \log_2(x+1) = 0 \implies x+1 = 2^0 \implies x+1=1 \implies x=0$.
    График пересекает ось Ox в точке $(0, 0)$.
  • Пересечение с осью Oy: Так как $x=0$ является нулем функции, точка пересечения с осью Oy — это начало координат $(0, 0)$.
  • Промежутки монотонности: Так как основание логарифма $2 > 1$, логарифмическая функция является возрастающей. Преобразования не меняют характер монотонности. Функция возрастает на всей области определения $(-1, +\infty)$.
  • Точки экстремума: Экстремумов нет.
  • Асимптоты: При $x \to -1^+$, $x+1 \to 0^+$, следовательно $\log_2(x+1) \to -\infty$ и $y \to -\infty$.
    Вертикальная асимптота: $x=-1$. Горизонтальных асимптот нет.
  • Четность и нечетность: Область определения $D(y) = (-1, +\infty)$ не является симметричной, поэтому функция не является ни четной, ни нечетной.

Для построения графика найдем координаты нескольких точек:

  • при $x=0$, $y = \frac{1}{2}\log_2(1) = 0$. Точка $(0, 0)$.
  • при $x=1$, $y = \frac{1}{2}\log_2(2) = 0.5$. Точка $(1, 0.5)$.
  • при $x=3$, $y = \frac{1}{2}\log_2(4) = 1$. Точка $(3, 1)$.
  • при $x=7$, $y = \frac{1}{2}\log_2(8) = 1.5$. Точка $(7, 1.5)$.

Ответ: Функция определена при $x \in (-1, +\infty)$, область значений $y \in (-\infty, +\infty)$. График пересекает оси координат в точке $(0,0)$. Функция строго возрастает. Имеет вертикальную асимптоту $x=-1$. График — это логарифмическая кривая $y=\log_2 x$, смещенная на 1 влево и сжатая в 2 раза к оси Ox.

г) $y = \sqrt[3]{x-2} + 1$

График данной функции можно получить из графика базовой функции $y=\sqrt[3]{x}$ с помощью преобразований:

  1. Сдвиг графика $y=\sqrt[3]{x}$ на 2 единицы вправо вдоль оси Ox. Получаем график функции $y=\sqrt[3]{x-2}$.
  2. Сдвиг полученного графика на 1 единицу вверх вдоль оси Oy. Получаем искомый график функции $y = \sqrt[3]{x-2} + 1$.

Проведем полное исследование функции:

  • Область определения: Кубический корень определен для любых действительных чисел.
    $D(y) = (-\infty, +\infty)$.
  • Область значений: Область значений функции кубического корня — все действительные числа.
    $E(y) = (-\infty, +\infty)$.
  • Нули функции (пересечение с осью Ox): Решим уравнение $y=0$.
    $\sqrt[3]{x-2} + 1 = 0 \implies \sqrt[3]{x-2} = -1 \implies x-2 = (-1)^3 \implies x-2 = -1 \implies x=1$.
    График пересекает ось Ox в точке $(1, 0)$.
  • Пересечение с осью Oy: Найдем значение функции при $x=0$.
    $y = \sqrt[3]{0-2} + 1 = \sqrt[3]{-2} + 1 = 1 - \sqrt[3]{2} \approx -0.26$.
    График пересекает ось Oy в точке $(0, 1-\sqrt[3]{2})$.
  • Промежутки монотонности: Функция $y=\sqrt[3]{x}$ возрастает на всей числовой оси. Сдвиги не меняют монотонность. Следовательно, функция возрастает на $(-\infty, +\infty)$.
  • Точки экстремума: Экстремумов нет. Точка $(2, 1)$ является точкой перегиба.
  • Асимптоты: Асимптот нет.
  • Четность и нечетность: $y(-x) = \sqrt[3]{-x-2} + 1$. Так как $y(-x) \ne y(x)$ и $y(-x) \ne -y(x)$, функция не является ни четной, ни нечетной.

Для построения графика найдем координаты нескольких точек, симметричных относительно точки перегиба $(2,1)$:

  • при $x=2$, $y = \sqrt[3]{0}+1 = 1$. Точка перегиба $(2, 1)$.
  • при $x=1$, $y = \sqrt[3]{-1}+1 = 0$. Точка $(1, 0)$.
  • при $x=3$, $y = \sqrt[3]{1}+1 = 2$. Точка $(3, 2)$.
  • при $x=-6$, $y = \sqrt[3]{-8}+1 = -2+1=-1$. Точка $(-6, -1)$.
  • при $x=10$, $y = \sqrt[3]{8}+1 = 2+1=3$. Точка $(10, 3)$.

Ответ: Функция определена и возрастает на всей числовой прямой, область значений $y \in \mathbb{R}$. Пересекает ось Ox в точке $(1, 0)$ и ось Oy в точке $(0, 1-\sqrt[3]{2})$. Асимптот нет. График — это кубическая парабола $y=\sqrt[3]{x}$, смещенная на 2 единицы вправо и на 1 единицу вверх. Точка перегиба — $(2,1)$.

Помогло решение? Оставьте отзыв в комментариях ниже.

Присоединяйтесь к Телеграм-группе @top_gdz

Присоединиться

Мы подготовили для вас ответ c подробным объяснением домашего задания по алгебре за 10-11 класс, для упражнения номер 121 расположенного на странице 294 к учебнику 2008 года издания для учащихся школ и гимназий.

Теперь на нашем сайте ГДЗ.ТОП вы всегда легко и бесплатно найдёте условие с правильным ответом на вопрос «Как решить ДЗ» и «Как сделать» задание по алгебре к упражнению №121 (с. 294), авторов: Колмогоров (Андрей Николаевич), Абрамов (Александр Михайлович), Дудницын (Юрий Павлович), учебного пособия издательства Просвещение.