Номер 231, страница 308 - гдз по алгебре 10-11 класс учебник Колмогоров, Абрамов

Алгебра, 10-11 класс Учебник, авторы: Колмогоров Андрей Николаевич, Абрамов Александр Михайлович, Дудницын Юрий Павлович, издательство Просвещение, Москва, 2008, зелёного цвета

Авторы: Колмогоров А. Н., Абрамов А. М., Дудницын Ю. П.

Тип: Учебник

Издательство: Просвещение

Год издания: 2008 - 2026

Цвет обложки: зелёный, чёрный

ISBN: 978-5-09-019513-3

Рекомендовано Министерством образования и науки Российской Федерации

Алгебра и начала математического анализа

Популярные ГДЗ в 10 классе

Глава 5. Задачи на повторение. Параграф 5. Производная, первообразная, интеграл и их применения - номер 231, страница 308.

№231 (с. 308)
Условие. №231 (с. 308)
скриншот условия
Алгебра, 10-11 класс Учебник, авторы: Колмогоров Андрей Николаевич, Абрамов Александр Михайлович, Дудницын Юрий Павлович, издательство Просвещение, Москва, 2008, зелёного цвета, страница 308, номер 231, Условие

231. а) $f(x) = \cos 2x - 2 \cos x$;

б) $f(x) = 2 - \sin \frac{x}{2}$;

в) $f(x) = 2 \sin x + \cos 2x$;

г) $f(x) = 3x - \cos 3x$.

Решение 1. №231 (с. 308)
Алгебра, 10-11 класс Учебник, авторы: Колмогоров Андрей Николаевич, Абрамов Александр Михайлович, Дудницын Юрий Павлович, издательство Просвещение, Москва, 2008, зелёного цвета, страница 308, номер 231, Решение 1
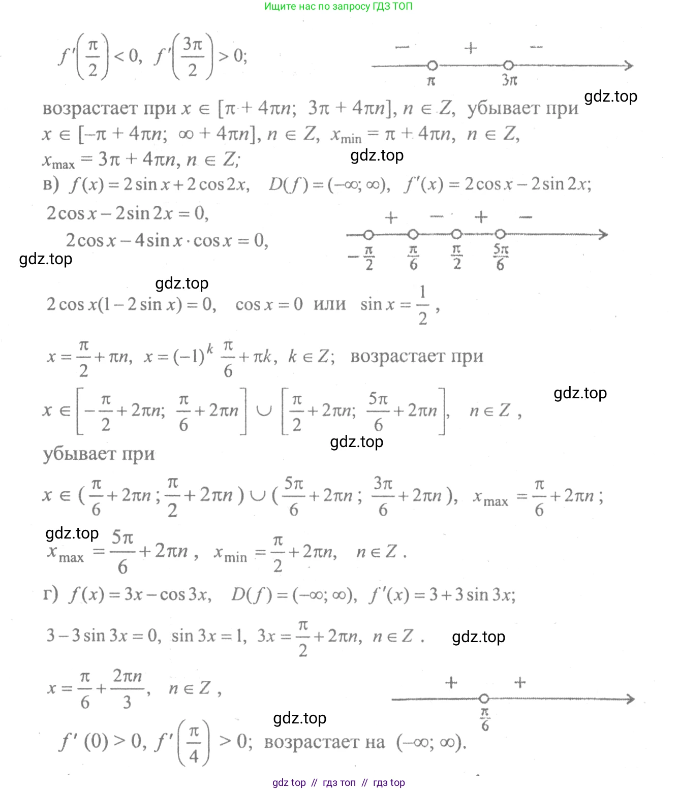
Решение 2. №231 (с. 308)
Алгебра, 10-11 класс Учебник, авторы: Колмогоров Андрей Николаевич, Абрамов Александр Михайлович, Дудницын Юрий Павлович, издательство Просвещение, Москва, 2008, зелёного цвета, страница 308, номер 231, Решение 2
Алгебра, 10-11 класс Учебник, авторы: Колмогоров Андрей Николаевич, Абрамов Александр Михайлович, Дудницын Юрий Павлович, издательство Просвещение, Москва, 2008, зелёного цвета, страница 308, номер 231, Решение 2 (продолжение 2)
Решение 3. №231 (с. 308)
Алгебра, 10-11 класс Учебник, авторы: Колмогоров Андрей Николаевич, Абрамов Александр Михайлович, Дудницын Юрий Павлович, издательство Просвещение, Москва, 2008, зелёного цвета, страница 308, номер 231, Решение 3
Алгебра, 10-11 класс Учебник, авторы: Колмогоров Андрей Николаевич, Абрамов Александр Михайлович, Дудницын Юрий Павлович, издательство Просвещение, Москва, 2008, зелёного цвета, страница 308, номер 231, Решение 3 (продолжение 2)
Решение 5. №231 (с. 308)

а)

Чтобы найти первообразную для функции $f(x) = \cos 2x - 2 \cos x$, необходимо найти ее неопределенный интеграл $F(x) = \int f(x) \,dx$.

Используем свойство линейности интеграла (интеграл суммы/разности равен сумме/разности интегралов):

$F(x) = \int (\cos 2x - 2 \cos x) \,dx = \int \cos 2x \,dx - \int 2 \cos x \,dx = \int \cos 2x \,dx - 2 \int \cos x \,dx$.

Теперь найдем каждый интеграл по отдельности, используя табличные интегралы:

1. Для первого интеграла применим формулу $\int \cos(kx) \,dx = \frac{1}{k}\sin(kx) + C$. В нашем случае $k=2$.

$\int \cos 2x \,dx = \frac{1}{2} \sin 2x$.

2. Для второго интеграла воспользуемся основной формулой $\int \cos x \,dx = \sin x + C$.

$2 \int \cos x \,dx = 2 \sin x$.

Объединяя результаты и добавляя общую константу интегрирования $C$, получаем семейство всех первообразных:

$F(x) = \frac{1}{2} \sin 2x - 2 \sin x + C$.

Ответ: $F(x) = \frac{1}{2} \sin 2x - 2 \sin x + C$.

б)

Найдем неопределенный интеграл для функции $f(x) = 2 - \sin \frac{x}{2}$ для нахождения ее первообразной.

$F(x) = \int (2 - \sin \frac{x}{2}) \,dx = \int 2 \,dx - \int \sin \frac{x}{2} \,dx$.

Найдем каждый интеграл:

1. Интеграл от константы: $\int 2 \,dx = 2x$.

2. Для второго интеграла применим формулу $\int \sin(kx) \,dx = -\frac{1}{k}\cos(kx) + C$. В данном случае $k = \frac{1}{2}$.

$\int \sin \frac{x}{2} \,dx = -\frac{1}{1/2} \cos \frac{x}{2} = -2 \cos \frac{x}{2}$.

Вычитая второй результат из первого и добавляя константу интегрирования $C$, получаем:

$F(x) = 2x - (-2 \cos \frac{x}{2}) + C = 2x + 2 \cos \frac{x}{2} + C$.

Ответ: $F(x) = 2x + 2 \cos \frac{x}{2} + C$.

в)

Найдем первообразную для функции $f(x) = 2 \sin x + \cos 2x$, вычислив ее неопределенный интеграл.

$F(x) = \int (2 \sin x + \cos 2x) \,dx = \int 2 \sin x \,dx + \int \cos 2x \,dx = 2 \int \sin x \,dx + \int \cos 2x \,dx$.

Найдем каждый интеграл:

1. Интеграл от синуса: $2 \int \sin x \,dx = -2 \cos x$.

2. Интеграл от косинуса двойного угла (как в пункте а)): $\int \cos 2x \,dx = \frac{1}{2} \sin 2x$.

Складывая результаты и добавляя константу интегрирования $C$, получаем:

$F(x) = -2 \cos x + \frac{1}{2} \sin 2x + C$.

Ответ: $F(x) = \frac{1}{2} \sin 2x - 2 \cos x + C$.

г)

Для нахождения первообразной функции $f(x) = 3x - \cos 3x$ найдем ее неопределенный интеграл.

$F(x) = \int (3x - \cos 3x) \,dx = \int 3x \,dx - \int \cos 3x \,dx$.

Найдем каждый интеграл:

1. Интеграл от степенной функции по формуле $\int x^n \,dx = \frac{x^{n+1}}{n+1} + C$.

$\int 3x \,dx = 3 \int x^1 \,dx = 3 \cdot \frac{x^2}{2} = \frac{3}{2}x^2$.

2. Интеграл от косинуса по формуле $\int \cos(kx) \,dx = \frac{1}{k}\sin(kx) + C$. Здесь $k=3$.

$\int \cos 3x \,dx = \frac{1}{3} \sin 3x$.

Вычитая второй результат из первого и добавляя константу интегрирования $C$, получаем:

$F(x) = \frac{3}{2}x^2 - \frac{1}{3} \sin 3x + C$.

Ответ: $F(x) = \frac{3}{2}x^2 - \frac{1}{3} \sin 3x + C$.

Помогло решение? Оставьте отзыв в комментариях ниже.

Присоединяйтесь к Телеграм-группе @top_gdz

Присоединиться

Мы подготовили для вас ответ c подробным объяснением домашего задания по алгебре за 10-11 класс, для упражнения номер 231 расположенного на странице 308 к учебнику 2008 года издания для учащихся школ и гимназий.

Теперь на нашем сайте ГДЗ.ТОП вы всегда легко и бесплатно найдёте условие с правильным ответом на вопрос «Как решить ДЗ» и «Как сделать» задание по алгебре к упражнению №231 (с. 308), авторов: Колмогоров (Андрей Николаевич), Абрамов (Александр Михайлович), Дудницын (Юрий Павлович), учебного пособия издательства Просвещение.