Номер 49, страница 282 - гдз по алгебре 10-11 класс учебник Колмогоров, Абрамов

Алгебра, 10-11 класс Учебник, авторы: Колмогоров Андрей Николаевич, Абрамов Александр Михайлович, Дудницын Юрий Павлович, издательство Просвещение, Москва, 2008, зелёного цвета

Авторы: Колмогоров А. Н., Абрамов А. М., Дудницын Ю. П.

Тип: Учебник

Издательство: Просвещение

Год издания: 2008 - 2026

Цвет обложки: зелёный, чёрный

ISBN: 978-5-09-019513-3

Рекомендовано Министерством образования и науки Российской Федерации

Алгебра и начала математического анализа

Популярные ГДЗ в 10 классе

Глава 5. Задачи на повторение. Параграф 2. Тождественные преобразования - номер 49, страница 282.

№49 (с. 282)
Условие. №49 (с. 282)
скриншот условия
Алгебра, 10-11 класс Учебник, авторы: Колмогоров Андрей Николаевич, Абрамов Александр Михайлович, Дудницын Юрий Павлович, издательство Просвещение, Москва, 2008, зелёного цвета, страница 282, номер 49, Условие

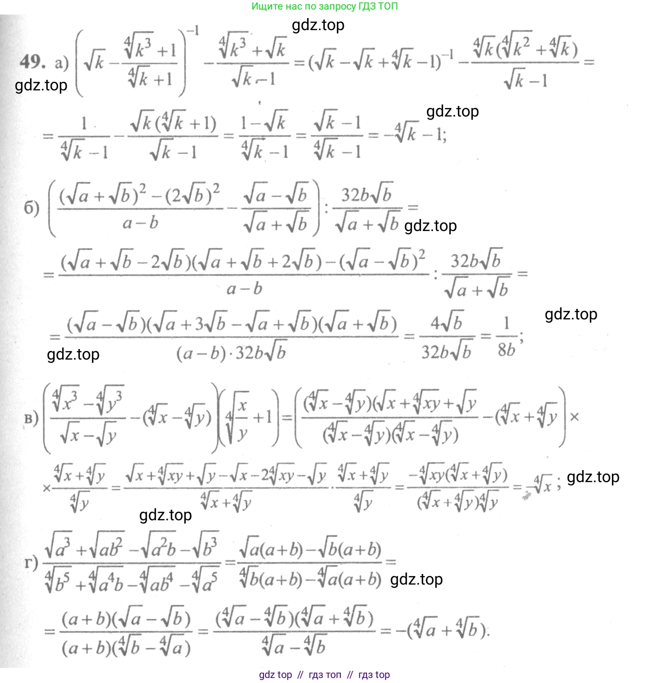
49. a) $\left(\sqrt{k} - \frac{\sqrt[4]{k^3} + 1}{\sqrt[4]{k} + 1}\right)^{-1} - \frac{\sqrt[4]{k^3} + \sqrt{k}}{\sqrt{k-1}};$

б) $\left(\frac{(\sqrt{a} + \sqrt{b})^2 - (2\sqrt{b})^2}{a - b} - \frac{\sqrt{a} - \sqrt{b}}{\sqrt{a} + \sqrt{b}}\right) : \frac{32b\sqrt{b}}{\sqrt{a} + \sqrt{b}};$

в) $\left(\frac{\sqrt[4]{x^3} - \sqrt[4]{y^3}}{\sqrt{x} - \sqrt{y}} - \left(\sqrt[4]{x} + \sqrt[4]{y}\right)\right) \left(\sqrt[4]{\frac{x}{y}} + 1\right);$

г) $\frac{\sqrt{a^3} + \sqrt{ab^2} - \sqrt{a^2 b} - \sqrt{b^3}}{\sqrt[4]{b^5} + \sqrt[4]{a^4 b} - \sqrt[4]{ab^4} - \sqrt[4]{a^5}}.$

Решение 1. №49 (с. 282)
Алгебра, 10-11 класс Учебник, авторы: Колмогоров Андрей Николаевич, Абрамов Александр Михайлович, Дудницын Юрий Павлович, издательство Просвещение, Москва, 2008, зелёного цвета, страница 282, номер 49, Решение 1
Решение 2. №49 (с. 282)
Алгебра, 10-11 класс Учебник, авторы: Колмогоров Андрей Николаевич, Абрамов Александр Михайлович, Дудницын Юрий Павлович, издательство Просвещение, Москва, 2008, зелёного цвета, страница 282, номер 49, Решение 2
Решение 3. №49 (с. 282)
Алгебра, 10-11 класс Учебник, авторы: Колмогоров Андрей Николаевич, Абрамов Александр Михайлович, Дудницын Юрий Павлович, издательство Просвещение, Москва, 2008, зелёного цвета, страница 282, номер 49, Решение 3
Решение 5. №49 (с. 282)

а)

Для упрощения выражения введем замену $x = \sqrt[4]{k}$. Тогда $\sqrt{k} = x^2$ и $\sqrt[4]{k^3} = x^3$. Исходное выражение примет вид: $ (\sqrt{k} - \frac{\sqrt[4]{k^3} + 1}{\sqrt[4]{k} + 1})^{-1} - \frac{\sqrt[4]{k^3} + \sqrt{k}}{\sqrt{k}-1} = (x^2 - \frac{x^3 + 1}{x + 1})^{-1} - \frac{x^3 + x^2}{x^2 - 1} $.
Рассмотрим первое слагаемое. Упростим выражение в скобках. Применим формулу суммы кубов $a^3+b^3 = (a+b)(a^2-ab+b^2)$ к числителю дроби: $ \frac{x^3 + 1}{x+1} = \frac{(x+1)(x^2-x+1)}{x+1} = x^2-x+1 $.
Тогда выражение в скобках становится: $ x^2 - (x^2-x+1) = x^2 - x^2 + x - 1 = x - 1 $.
Возводя в степень -1, получаем: $ (x-1)^{-1} = \frac{1}{x-1} $.
Теперь упростим второе слагаемое. В числителе вынесем общий множитель $x^2$, а знаменатель разложим по формуле разности квадратов $a^2-b^2=(a-b)(a+b)$: $ \frac{x^3 + x^2}{x^2 - 1} = \frac{x^2(x+1)}{(x-1)(x+1)} = \frac{x^2}{x-1} $.
Выполним вычитание полученных выражений: $ \frac{1}{x-1} - \frac{x^2}{x-1} = \frac{1-x^2}{x-1} = \frac{-(x^2-1)}{x-1} = \frac{-(x-1)(x+1)}{x-1} = -(x+1) = -x-1 $.
Выполним обратную замену $x = \sqrt[4]{k}$: $ -x-1 = -\sqrt[4]{k}-1 $.

Ответ: $-\sqrt[4]{k}-1$.

б)

Сначала упростим выражение в скобках. Рассмотрим первую дробь: $ \frac{(\sqrt{a}+\sqrt{b})^2 - (2\sqrt{b})^2}{a-b} $.
Числитель является разностью квадратов. Разложим его по формуле $x^2-y^2=(x-y)(x+y)$: $ (\sqrt{a}+\sqrt{b})^2 - (2\sqrt{b})^2 = ((\sqrt{a}+\sqrt{b}) - 2\sqrt{b})((\sqrt{a}+\sqrt{b}) + 2\sqrt{b}) = (\sqrt{a}-\sqrt{b})(\sqrt{a}+3\sqrt{b}) $.
Знаменатель $a-b$ также является разностью квадратов: $ a-b = (\sqrt{a}-\sqrt{b})(\sqrt{a}+\sqrt{b}) $.
Сократив дробь, получим: $ \frac{(\sqrt{a}-\sqrt{b})(\sqrt{a}+3\sqrt{b})}{(\sqrt{a}-\sqrt{b})(\sqrt{a}+\sqrt{b})} = \frac{\sqrt{a}+3\sqrt{b}}{\sqrt{a}+\sqrt{b}} $.
Теперь выполним вычитание в скобках: $ \frac{\sqrt{a}+3\sqrt{b}}{\sqrt{a}+\sqrt{b}} - \frac{\sqrt{a}-\sqrt{b}}{\sqrt{a}+\sqrt{b}} = \frac{(\sqrt{a}+3\sqrt{b}) - (\sqrt{a}-\sqrt{b})}{\sqrt{a}+\sqrt{b}} = \frac{\sqrt{a}+3\sqrt{b}-\sqrt{a}+\sqrt{b}}{\sqrt{a}+\sqrt{b}} = \frac{4\sqrt{b}}{\sqrt{a}+\sqrt{b}} $.
Осталось выполнить деление: $ \frac{4\sqrt{b}}{\sqrt{a}+\sqrt{b}} : \frac{32b\sqrt{b}}{\sqrt{a}+\sqrt{b}} = \frac{4\sqrt{b}}{\sqrt{a}+\sqrt{b}} \cdot \frac{\sqrt{a}+\sqrt{b}}{32b\sqrt{b}} $.
Сокращаем общие множители $\sqrt{a}+\sqrt{b}$ и $\sqrt{b}$: $ \frac{4}{32b} = \frac{1}{8b} $.

Ответ: $\frac{1}{8b}$.

в)

Для упрощения введем замену $a = \sqrt[4]{x}$ и $b = \sqrt[4]{y}$. Тогда $\sqrt{x}=a^2, \sqrt{y}=b^2, \sqrt[4]{x^3}=a^3, \sqrt[4]{y^3}=b^3$. Исходное выражение преобразуется к виду: $ (\frac{a^3-b^3}{a^2-b^2} - (a+b))(\sqrt[4]{\frac{x}{y}}+1) = (\frac{a^3-b^3}{a^2-b^2} - (a+b))(\frac{a}{b}+1) $.
Упростим первую дробь в скобках, используя формулы разности кубов и разности квадратов: $ \frac{a^3-b^3}{a^2-b^2} = \frac{(a-b)(a^2+ab+b^2)}{(a-b)(a+b)} = \frac{a^2+ab+b^2}{a+b} $.
Выполним вычитание в первых скобках: $ \frac{a^2+ab+b^2}{a+b} - (a+b) = \frac{a^2+ab+b^2 - (a+b)^2}{a+b} = \frac{a^2+ab+b^2 - (a^2+2ab+b^2)}{a+b} = \frac{-ab}{a+b} $.
Упростим выражение во вторых скобках: $ \frac{a}{b}+1 = \frac{a+b}{b} $.
Перемножим полученные выражения: $ (\frac{-ab}{a+b}) \cdot (\frac{a+b}{b}) = -a $.
Вернемся к исходной переменной: $ -a = -\sqrt[4]{x} $.

Ответ: $-\sqrt[4]{x}$.

г)

Рассмотрим отдельно числитель и знаменатель дроби. Числитель: $ \sqrt{a^3}+\sqrt{ab^2}-\sqrt{a^2b}-\sqrt{b^3} $.
Вынесем общие множители из-под корня и сгруппируем слагаемые: $ a\sqrt{a}+b\sqrt{a}-a\sqrt{b}-b\sqrt{b} = \sqrt{a}(a+b) - \sqrt{b}(a+b) = (a+b)(\sqrt{a}-\sqrt{b}) $.
Знаменатель: $ \sqrt[4]{b^5}+\sqrt[4]{a^4b}-\sqrt[4]{ab^4}-\sqrt[4]{a^5} $.
Аналогично, вынесем общие множители и сгруппируем: $ b\sqrt[4]{b}+a\sqrt[4]{b}-b\sqrt[4]{a}-a\sqrt[4]{a} = \sqrt[4]{b}(a+b) - \sqrt[4]{a}(a+b) = (a+b)(\sqrt[4]{b}-\sqrt[4]{a}) $.
Теперь запишем дробь с упрощенными числителем и знаменателем: $ \frac{(a+b)(\sqrt{a}-\sqrt{b})}{(a+b)(\sqrt[4]{b}-\sqrt[4]{a})} = \frac{\sqrt{a}-\sqrt{b}}{\sqrt[4]{b}-\sqrt[4]{a}} $.
Разложим числитель $\sqrt{a}-\sqrt{b}$ как разность квадратов, где $\sqrt{a}=(\sqrt[4]{a})^2$ и $\sqrt{b}=(\sqrt[4]{b})^2$: $ \sqrt{a}-\sqrt{b} = (\sqrt[4]{a})^2 - (\sqrt[4]{b})^2 = (\sqrt[4]{a}-\sqrt[4]{b})(\sqrt[4]{a}+\sqrt[4]{b}) $.
Подставим это в дробь: $ \frac{(\sqrt[4]{a}-\sqrt[4]{b})(\sqrt[4]{a}+\sqrt[4]{b})}{\sqrt[4]{b}-\sqrt[4]{a}} $.
Так как $\sqrt[4]{b}-\sqrt[4]{a} = -(\sqrt[4]{a}-\sqrt[4]{b})$, можем сократить дробь: $ \frac{(\sqrt[4]{a}-\sqrt[4]{b})(\sqrt[4]{a}+\sqrt[4]{b})}{-(\sqrt[4]{a}-\sqrt[4]{b})} = -(\sqrt[4]{a}+\sqrt[4]{b}) $.

Ответ: $-(\sqrt[4]{a}+\sqrt[4]{b})$.

Помогло решение? Оставьте отзыв в комментариях ниже.

Присоединяйтесь к Телеграм-группе @top_gdz

Присоединиться

Мы подготовили для вас ответ c подробным объяснением домашего задания по алгебре за 10-11 класс, для упражнения номер 49 расположенного на странице 282 к учебнику 2008 года издания для учащихся школ и гимназий.

Теперь на нашем сайте ГДЗ.ТОП вы всегда легко и бесплатно найдёте условие с правильным ответом на вопрос «Как решить ДЗ» и «Как сделать» задание по алгебре к упражнению №49 (с. 282), авторов: Колмогоров (Андрей Николаевич), Абрамов (Александр Михайлович), Дудницын (Юрий Павлович), учебного пособия издательства Просвещение.