Номер 58, страница 285 - гдз по алгебре 10-11 класс учебник Колмогоров, Абрамов

Алгебра, 10-11 класс Учебник, авторы: Колмогоров Андрей Николаевич, Абрамов Александр Михайлович, Дудницын Юрий Павлович, издательство Просвещение, Москва, 2008, зелёного цвета

Авторы: Колмогоров А. Н., Абрамов А. М., Дудницын Ю. П.

Тип: Учебник

Издательство: Просвещение

Год издания: 2008 - 2026

Цвет обложки: зелёный, чёрный

ISBN: 978-5-09-019513-3

Рекомендовано Министерством образования и науки Российской Федерации

Алгебра и начала математического анализа

Популярные ГДЗ в 10 классе

Глава 5. Задачи на повторение. Параграф 2. Тождественные преобразования - номер 58, страница 285.

№58 (с. 285)
Условие. №58 (с. 285)
скриншот условия
Алгебра, 10-11 класс Учебник, авторы: Колмогоров Андрей Николаевич, Абрамов Александр Михайлович, Дудницын Юрий Павлович, издательство Просвещение, Москва, 2008, зелёного цвета, страница 285, номер 58, Условие

Вычислите (58, 59).

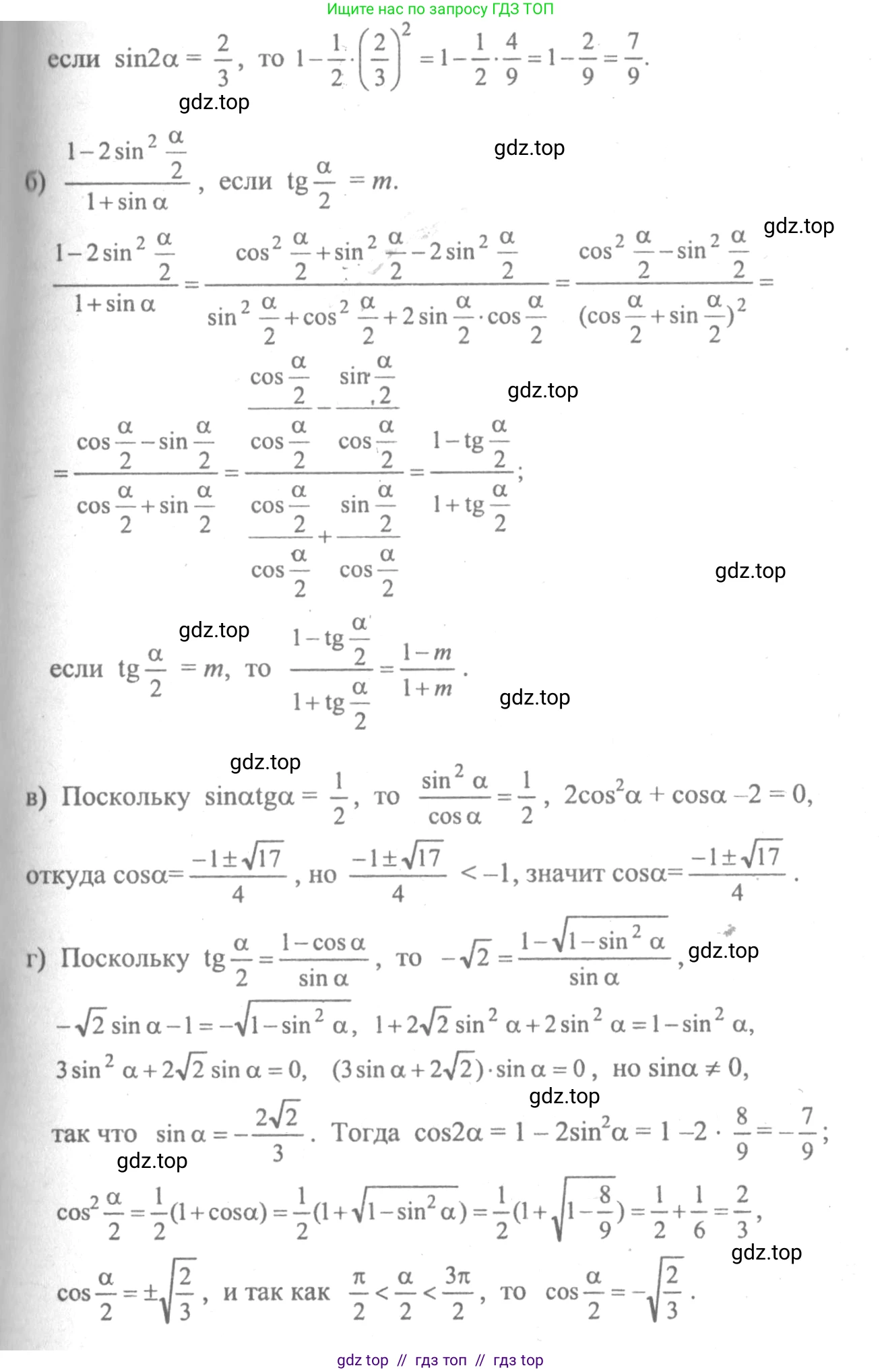
58. a) $\cos^4 \alpha + \sin^4 \alpha$, если $\sin 2\alpha = \frac{2}{3}$;

б) $\frac{1-2 \sin^2 \frac{\alpha}{2}}{1+\sin \alpha}$, если $\operatorname{tg} \frac{\alpha}{2} = m$;

в) $\cos \alpha$, если $\sin \alpha \operatorname{tg} \alpha = \frac{1}{2}$;

г) $\sin \alpha$, $\cos 2\alpha$, $\cos \frac{\alpha}{2}$, если $\operatorname{tg} \frac{\alpha}{2} = -\sqrt{2}$, $\pi < \alpha < \frac{3\pi}{2}$;

Решение 1. №58 (с. 285)
Алгебра, 10-11 класс Учебник, авторы: Колмогоров Андрей Николаевич, Абрамов Александр Михайлович, Дудницын Юрий Павлович, издательство Просвещение, Москва, 2008, зелёного цвета, страница 285, номер 58, Решение 1
Решение 2. №58 (с. 285)
Алгебра, 10-11 класс Учебник, авторы: Колмогоров Андрей Николаевич, Абрамов Александр Михайлович, Дудницын Юрий Павлович, издательство Просвещение, Москва, 2008, зелёного цвета, страница 285, номер 58, Решение 2
Алгебра, 10-11 класс Учебник, авторы: Колмогоров Андрей Николаевич, Абрамов Александр Михайлович, Дудницын Юрий Павлович, издательство Просвещение, Москва, 2008, зелёного цвета, страница 285, номер 58, Решение 2 (продолжение 2)
Решение 3. №58 (с. 285)
Алгебра, 10-11 класс Учебник, авторы: Колмогоров Андрей Николаевич, Абрамов Александр Михайлович, Дудницын Юрий Павлович, издательство Просвещение, Москва, 2008, зелёного цвета, страница 285, номер 58, Решение 3
Решение 5. №58 (с. 285)

а) Чтобы найти значение выражения $cos^4 \alpha + sin^4 \alpha$, воспользуемся основным тригонометрическим тождеством и формулой квадрата суммы.
Преобразуем выражение:
$cos^4 \alpha + sin^4 \alpha = (cos^2 \alpha)^2 + (sin^2 \alpha)^2 = (cos^2 \alpha + sin^2 \alpha)^2 - 2 sin^2 \alpha cos^2 \alpha$.
Так как $cos^2 \alpha + sin^2 \alpha = 1$, получаем:
$1^2 - 2 sin^2 \alpha cos^2 \alpha = 1 - 2 (sin \alpha cos \alpha)^2$.
Используем формулу синуса двойного угла $sin 2\alpha = 2 sin \alpha cos \alpha$, откуда $sin \alpha cos \alpha = \frac{sin 2\alpha}{2}$.
Подставим это в наше выражение:
$1 - 2 \left(\frac{sin 2\alpha}{2}\right)^2 = 1 - 2 \frac{sin^2 2\alpha}{4} = 1 - \frac{sin^2 2\alpha}{2}$.
По условию $sin 2\alpha = \frac{2}{3}$. Подставляем это значение:
$1 - \frac{(\frac{2}{3})^2}{2} = 1 - \frac{\frac{4}{9}}{2} = 1 - \frac{4}{18} = 1 - \frac{2}{9} = \frac{7}{9}$.
Ответ: $\frac{7}{9}$.

б) Упростим данное выражение $\frac{1-2 \sin^2 \frac{\alpha}{2}}{1+\sin \alpha}$.
В числителе используем формулу косинуса двойного угла $cos(2x) = 1 - 2 \sin^2 x$. Применив ее для $x = \frac{\alpha}{2}$, получаем:
$1 - 2 \sin^2 \frac{\alpha}{2} = cos \left(2 \cdot \frac{\alpha}{2}\right) = cos \alpha$.
Таким образом, выражение принимает вид: $\frac{cos \alpha}{1 + sin \alpha}$.
Теперь воспользуемся универсальной тригонометрической подстановкой, выразив $sin \alpha$ и $cos \alpha$ через $tg \frac{\alpha}{2} = m$:
$sin \alpha = \frac{2 tg \frac{\alpha}{2}}{1 + tg^2 \frac{\alpha}{2}} = \frac{2m}{1+m^2}$
$cos \alpha = \frac{1 - tg^2 \frac{\alpha}{2}}{1 + tg^2 \frac{\alpha}{2}} = \frac{1-m^2}{1+m^2}$
Подставим эти выражения в нашу дробь:
$\frac{\frac{1-m^2}{1+m^2}}{1 + \frac{2m}{1+m^2}} = \frac{\frac{1-m^2}{1+m^2}}{\frac{1+m^2+2m}{1+m^2}} = \frac{1-m^2}{(1+m)^2}$.
Разложим числитель на множители как разность квадратов: $1-m^2 = (1-m)(1+m)$.
$\frac{(1-m)(1+m)}{(1+m)^2} = \frac{1-m}{1+m}$.
Ответ: $\frac{1-m}{1+m}$.

в) Дано уравнение $sin \alpha \cdot tg \alpha = \frac{1}{2}$. Требуется найти $cos \alpha$.
Заменим $tg \alpha$ на $\frac{sin \alpha}{cos \alpha}$:
$sin \alpha \cdot \frac{sin \alpha}{cos \alpha} = \frac{1}{2}$
$\frac{sin^2 \alpha}{cos \alpha} = \frac{1}{2}$.
Используем основное тригонометрическое тождество $sin^2 \alpha = 1 - cos^2 \alpha$:
$\frac{1 - cos^2 \alpha}{cos \alpha} = \frac{1}{2}$.
Пусть $x = cos \alpha$. Тогда уравнение примет вид:
$\frac{1-x^2}{x} = \frac{1}{2}$.
Решим это уравнение:
$2(1-x^2) = x$
$2 - 2x^2 = x$
$2x^2 + x - 2 = 0$.
Найдем корни квадратного уравнения с помощью дискриминанта:
$D = b^2 - 4ac = 1^2 - 4(2)(-2) = 1 + 16 = 17$.
$x_{1,2} = \frac{-b \pm \sqrt{D}}{2a} = \frac{-1 \pm \sqrt{17}}{4}$.
Таким образом, мы получили два возможных значения для $cos \alpha$: $\frac{-1 + \sqrt{17}}{4}$ и $\frac{-1 - \sqrt{17}}{4}$.
Значение косинуса должно лежать в промежутке $[-1, 1]$.
Проверим первое значение: $4 < \sqrt{17} < 5$, поэтому $3 < -1+\sqrt{17} < 4$, и $\frac{3}{4} < \frac{-1+\sqrt{17}}{4} < 1$. Это значение подходит.
Проверим второе значение: $-5 < -\sqrt{17} < -4$, поэтому $-6 < -1-\sqrt{17} < -5$, и $-\frac{3}{2} < \frac{-1-\sqrt{17}}{4} < -\frac{5}{4}$. Это значение меньше -1, поэтому оно не является решением.
Следовательно, единственное возможное значение $cos \alpha = \frac{-1 + \sqrt{17}}{4}$.
Ответ: $\frac{\sqrt{17}-1}{4}$.

г) Дано: $tg \frac{\alpha}{2} = -\sqrt{2}$ и $\pi < \alpha < \frac{3\pi}{2}$.
1. Найдем $sin \alpha$. Используем формулу универсальной подстановки:
$sin \alpha = \frac{2 tg \frac{\alpha}{2}}{1 + tg^2 \frac{\alpha}{2}} = \frac{2(-\sqrt{2})}{1 + (-\sqrt{2})^2} = \frac{-2\sqrt{2}}{1+2} = -\frac{2\sqrt{2}}{3}$.
2. Найдем $cos 2\alpha$. Сначала найдем $cos \alpha$:
$cos \alpha = \frac{1 - tg^2 \frac{\alpha}{2}}{1 + tg^2 \frac{\alpha}{2}} = \frac{1 - (-\sqrt{2})^2}{1 + (-\sqrt{2})^2} = \frac{1-2}{1+2} = -\frac{1}{3}$.
Условие $\pi < \alpha < \frac{3\pi}{2}$ соответствует III четверти, где $sin \alpha < 0$ и $cos \alpha < 0$, что совпадает с нашими результатами.
Теперь вычислим $cos 2\alpha$ по формуле $cos 2\alpha = 2cos^2 \alpha - 1$:
$cos 2\alpha = 2\left(-\frac{1}{3}\right)^2 - 1 = 2 \cdot \frac{1}{9} - 1 = \frac{2}{9} - 1 = -\frac{7}{9}$.
3. Найдем $cos \frac{\alpha}{2}$. Используем формулу понижения степени: $cos^2 \frac{\alpha}{2} = \frac{1+cos \alpha}{2}$.
$cos^2 \frac{\alpha}{2} = \frac{1 + (-\frac{1}{3})}{2} = \frac{\frac{2}{3}}{2} = \frac{1}{3}$.
Отсюда $cos \frac{\alpha}{2} = \pm \sqrt{\frac{1}{3}} = \pm \frac{\sqrt{3}}{3}$.
Чтобы выбрать знак, определим четверть, в которой находится угол $\frac{\alpha}{2}$. Из условия $\pi < \alpha < \frac{3\pi}{2}$ следует, что $\frac{\pi}{2} < \frac{\alpha}{2} < \frac{3\pi}{4}$. Это II четверть, где косинус отрицателен.
Следовательно, $cos \frac{\alpha}{2} = -\frac{\sqrt{3}}{3}$.
Ответ: $sin \alpha = -\frac{2\sqrt{2}}{3}$, $cos 2\alpha = -\frac{7}{9}$, $cos \frac{\alpha}{2} = -\frac{\sqrt{3}}{3}$.

Помогло решение? Оставьте отзыв в комментариях ниже.

Присоединяйтесь к Телеграм-группе @top_gdz

Присоединиться

Мы подготовили для вас ответ c подробным объяснением домашего задания по алгебре за 10-11 класс, для упражнения номер 58 расположенного на странице 285 к учебнику 2008 года издания для учащихся школ и гимназий.

Теперь на нашем сайте ГДЗ.ТОП вы всегда легко и бесплатно найдёте условие с правильным ответом на вопрос «Как решить ДЗ» и «Как сделать» задание по алгебре к упражнению №58 (с. 285), авторов: Колмогоров (Андрей Николаевич), Абрамов (Александр Михайлович), Дудницын (Юрий Павлович), учебного пособия издательства Просвещение.