Номер 80, страница 289 - гдз по алгебре 10-11 класс учебник Колмогоров, Абрамов

Алгебра, 10-11 класс Учебник, авторы: Колмогоров Андрей Николаевич, Абрамов Александр Михайлович, Дудницын Юрий Павлович, издательство Просвещение, Москва, 2008, зелёного цвета

Авторы: Колмогоров А. Н., Абрамов А. М., Дудницын Ю. П.

Тип: Учебник

Издательство: Просвещение

Год издания: 2008 - 2026

Цвет обложки: зелёный, чёрный

ISBN: 978-5-09-019513-3

Рекомендовано Министерством образования и науки Российской Федерации

Алгебра и начала математического анализа

Популярные ГДЗ в 10 классе

Глава 5. Задачи на повторение. Параграф 3. Функции - номер 80, страница 289.

№80 (с. 289)
Условие. №80 (с. 289)
скриншот условия
Алгебра, 10-11 класс Учебник, авторы: Колмогоров Андрей Николаевич, Абрамов Александр Михайлович, Дудницын Юрий Павлович, издательство Просвещение, Москва, 2008, зелёного цвета, страница 289, номер 80, Условие

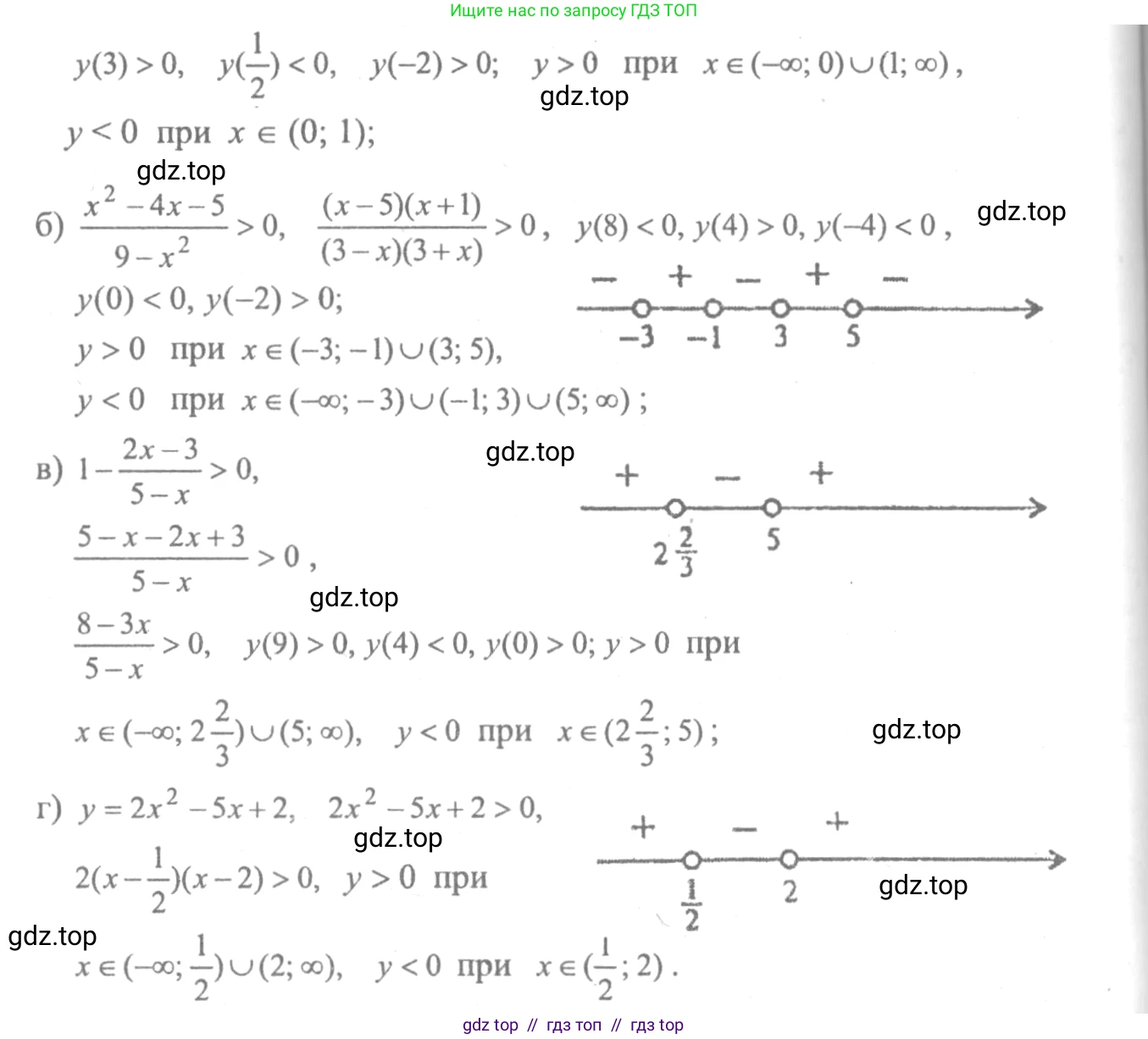
80. Найдите промежутки знакопостоянства функции:

a) $y = \frac{x-1}{3x};$

б) $y = \frac{x^2-4x-5}{9-x^2};$

в) $y = 1 - \frac{2x-3}{5-x};$

г) $y = 2x^2 - 5x + 2.$

Решение 1. №80 (с. 289)
Алгебра, 10-11 класс Учебник, авторы: Колмогоров Андрей Николаевич, Абрамов Александр Михайлович, Дудницын Юрий Павлович, издательство Просвещение, Москва, 2008, зелёного цвета, страница 289, номер 80, Решение 1
Решение 2. №80 (с. 289)
Алгебра, 10-11 класс Учебник, авторы: Колмогоров Андрей Николаевич, Абрамов Александр Михайлович, Дудницын Юрий Павлович, издательство Просвещение, Москва, 2008, зелёного цвета, страница 289, номер 80, Решение 2
Алгебра, 10-11 класс Учебник, авторы: Колмогоров Андрей Николаевич, Абрамов Александр Михайлович, Дудницын Юрий Павлович, издательство Просвещение, Москва, 2008, зелёного цвета, страница 289, номер 80, Решение 2 (продолжение 2)
Решение 3. №80 (с. 289)
Алгебра, 10-11 класс Учебник, авторы: Колмогоров Андрей Николаевич, Абрамов Александр Михайлович, Дудницын Юрий Павлович, издательство Просвещение, Москва, 2008, зелёного цвета, страница 289, номер 80, Решение 3
Алгебра, 10-11 класс Учебник, авторы: Колмогоров Андрей Николаевич, Абрамов Александр Михайлович, Дудницын Юрий Павлович, издательство Просвещение, Москва, 2008, зелёного цвета, страница 289, номер 80, Решение 3 (продолжение 2)
Решение 5. №80 (с. 289)

а) $y = \frac{x-1}{3x}$

Для нахождения промежутков знакопостоянства функции, найдем ее область определения и нули.

1. Область определения функции $D(y)$.

Знаменатель дроби не должен быть равен нулю: $3x \neq 0$, следовательно, $x \neq 0$.

$D(y) = (-\infty; 0) \cup (0; +\infty)$.

2. Нули функции.

Найдем значения $x$, при которых $y=0$.

$\frac{x-1}{3x} = 0$

Дробь равна нулю, когда ее числитель равен нулю, а знаменатель не равен нулю.

$x - 1 = 0 \implies x = 1$.

При $x=1$ знаменатель $3(1)=3 \neq 0$. Значит, $x=1$ - ноль функции.

3. Метод интервалов.

Отметим на числовой оси точки, в которых функция меняет знак: ноль функции $x=1$ и точку разрыва $x=0$. Эти точки разбивают ось на три интервала: $(-\infty; 0)$, $(0; 1)$ и $(1; +\infty)$. Определим знак функции в каждом интервале.

  • При $x \in (-\infty; 0)$, например, $x=-1$: $y(-1) = \frac{-1-1}{3(-1)} = \frac{-2}{-3} = \frac{2}{3} > 0$.
  • При $x \in (0; 1)$, например, $x=0.5$: $y(0.5) = \frac{0.5-1}{3(0.5)} = \frac{-0.5}{1.5} < 0$.
  • При $x \in (1; +\infty)$, например, $x=2$: $y(2) = \frac{2-1}{3(2)} = \frac{1}{6} > 0$.

Таким образом, функция положительна при $x \in (-\infty; 0) \cup (1; +\infty)$ и отрицательна при $x \in (0; 1)$.

Ответ: $y > 0$ при $x \in (-\infty; 0) \cup (1; +\infty)$; $y < 0$ при $x \in (0; 1)$.

б) $y = \frac{x^2-4x-5}{9-x^2}$

1. Область определения функции $D(y)$.

Знаменатель $9-x^2 \neq 0 \implies x^2 \neq 9 \implies x \neq \pm 3$.

$D(y) = (-\infty; -3) \cup (-3; 3) \cup (3; +\infty)$.

2. Нули функции.

Решим уравнение $y=0$, что эквивалентно $x^2-4x-5=0$ (при условии, что знаменатель не равен нулю).

Используем теорему Виета: $x_1 + x_2 = 4$, $x_1 \cdot x_2 = -5$. Корни: $x_1 = 5$, $x_2 = -1$.

Оба корня входят в область определения функции.

3. Метод интервалов.

Разложим числитель и знаменатель на множители: $y = \frac{(x-5)(x+1)}{(3-x)(3+x)} = -\frac{(x-5)(x+1)}{(x-3)(x+3)}$.

Отметим на числовой оси нули функции ($x=-1, x=5$) и точки разрыва ($x=-3, x=3$).

Получим интервалы: $(-\infty; -3)$, $(-3; -1)$, $(-1; 3)$, $(3; 5)$, $(5; +\infty)$.

  • При $x \in (-\infty; -3)$ (например, $x=-4$): $y(-4) = \frac{(-)(-)}{(-)(+)} = \frac{+}{-} < 0$.
  • При $x \in (-3; -1)$ (например, $x=-2$): $y(-2) = \frac{(-)(-)}{(+)(+)} = \frac{+}{+} > 0$.
  • При $x \in (-1; 3)$ (например, $x=0$): $y(0) = \frac{(-)(+)}{(+)(+)} = \frac{-}{+} < 0$.
  • При $x \in (3; 5)$ (например, $x=4$): $y(4) = \frac{(-)(+)}{(-)(+)} = \frac{-}{-} > 0$.
  • При $x \in (5; +\infty)$ (например, $x=6$): $y(6) = \frac{(+)(+)}{(-)(+)} = \frac{+}{-} < 0$.

Ответ: $y > 0$ при $x \in (-3; -1) \cup (3; 5)$; $y < 0$ при $x \in (-\infty; -3) \cup (-1; 3) \cup (5; +\infty)$.

в) $y = 1 - \frac{2x-3}{5-x}$

1. Упростим выражение для функции.

$y = \frac{5-x}{5-x} - \frac{2x-3}{5-x} = \frac{(5-x) - (2x-3)}{5-x} = \frac{5-x-2x+3}{5-x} = \frac{8-3x}{5-x}$.

2. Область определения.

Знаменатель $5-x \neq 0 \implies x \neq 5$.

$D(y) = (-\infty; 5) \cup (5; +\infty)$.

3. Нули функции.

Решим уравнение $\frac{8-3x}{5-x} = 0$.

$8-3x=0 \implies 3x=8 \implies x = \frac{8}{3}$.

4. Метод интервалов.

Точки, разбивающие числовую ось: $x=\frac{8}{3}$ и $x=5$.

Интервалы: $(-\infty; \frac{8}{3})$, $(\frac{8}{3}; 5)$, $(5; +\infty)$.

Функция: $y = \frac{8-3x}{5-x}$.

  • При $x \in (-\infty; \frac{8}{3})$ (например, $x=0$): $y(0) = \frac{8}{5} > 0$.
  • При $x \in (\frac{8}{3}; 5)$ (например, $x=3$): $y(3) = \frac{8-9}{5-3} = \frac{-1}{2} < 0$.
  • При $x \in (5; +\infty)$ (например, $x=6$): $y(6) = \frac{8-18}{5-6} = \frac{-10}{-1} = 10 > 0$.

Ответ: $y > 0$ при $x \in (-\infty; \frac{8}{3}) \cup (5; +\infty)$; $y < 0$ при $x \in (\frac{8}{3}; 5)$.

г) $y = 2x^2 - 5x + 2$

Данная функция является квадратичной. Ее график — парабола. Знак функции зависит от направления ветвей параболы и ее нулей.

1. Область определения.

Функция определена для всех действительных чисел: $D(y) = (-\infty; +\infty)$.

2. Нули функции.

Решим квадратное уравнение $2x^2 - 5x + 2 = 0$.

Дискриминант $D = b^2 - 4ac = (-5)^2 - 4 \cdot 2 \cdot 2 = 25 - 16 = 9$.

Корни уравнения: $x_1 = \frac{-(-5) - \sqrt{9}}{2 \cdot 2} = \frac{5-3}{4} = \frac{2}{4} = \frac{1}{2}$.

$x_2 = \frac{-(-5) + \sqrt{9}}{2 \cdot 2} = \frac{5+3}{4} = \frac{8}{4} = 2$.

3. Определение знаков.

Коэффициент при $x^2$ равен 2, он положителен ($a>0$), значит, ветви параболы направлены вверх.

Следовательно, функция положительна вне интервала между корнями и отрицательна внутри этого интервала.

Нули функции $x=\frac{1}{2}$ и $x=2$ разбивают числовую ось на три интервала: $(-\infty; \frac{1}{2})$, $(\frac{1}{2}; 2)$, $(2; +\infty)$.

  • $y > 0$ на интервалах $(-\infty; \frac{1}{2})$ и $(2; +\infty)$.
  • $y < 0$ на интервале $(\frac{1}{2}; 2)$.

Ответ: $y > 0$ при $x \in (-\infty; \frac{1}{2}) \cup (2; +\infty)$; $y < 0$ при $x \in (\frac{1}{2}; 2)$.

Помогло решение? Оставьте отзыв в комментариях ниже.

Присоединяйтесь к Телеграм-группе @top_gdz

Присоединиться

Мы подготовили для вас ответ c подробным объяснением домашего задания по алгебре за 10-11 класс, для упражнения номер 80 расположенного на странице 289 к учебнику 2008 года издания для учащихся школ и гимназий.

Теперь на нашем сайте ГДЗ.ТОП вы всегда легко и бесплатно найдёте условие с правильным ответом на вопрос «Как решить ДЗ» и «Как сделать» задание по алгебре к упражнению №80 (с. 289), авторов: Колмогоров (Андрей Николаевич), Абрамов (Александр Михайлович), Дудницын (Юрий Павлович), учебного пособия издательства Просвещение.