Номер 103, страница 61 - гдз по алгебре 10-11 класс учебник Колмогоров, Абрамов

Алгебра, 10-11 класс Учебник, авторы: Колмогоров Андрей Николаевич, Абрамов Александр Михайлович, Дудницын Юрий Павлович, издательство Просвещение, Москва, 2008, зелёного цвета

Авторы: Колмогоров А. Н., Абрамов А. М., Дудницын Ю. П.

Тип: Учебник

Издательство: Просвещение

Год издания: 2008 - 2026

Цвет обложки: зелёный, чёрный

ISBN: 978-5-09-019513-3

Рекомендовано Министерством образования и науки Российской Федерации

Алгебра и начала математического анализа

Популярные ГДЗ в 10 классе

Глава 1. Тригонометрические функции. Параграф 2. Основные свойства функций - номер 103, страница 61.

№103 (с. 61)
Условие. №103 (с. 61)
скриншот условия
Алгебра, 10-11 класс Учебник, авторы: Колмогоров Андрей Николаевич, Абрамов Александр Михайлович, Дудницын Юрий Павлович, издательство Просвещение, Москва, 2008, зелёного цвета, страница 61, номер 103, Условие

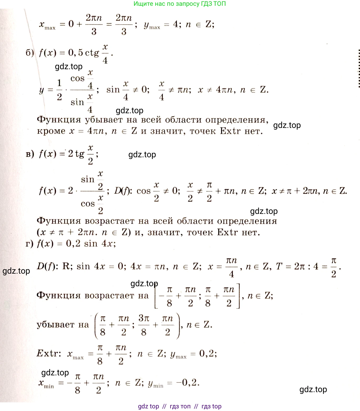
103. Найдите промежутки возрастания, убывания, точки максимума и минимума функции:

а) $f(x) = 4 \cos 3x;$

б) $f(x) = 0,5 \operatorname{ctg} \frac{x}{4};$

в) $f(x) = 2 \operatorname{tg} \frac{x}{2};$

г) $f(x) = 0,2 \sin 4x.$

Решение 1. №103 (с. 61)
Алгебра, 10-11 класс Учебник, авторы: Колмогоров Андрей Николаевич, Абрамов Александр Михайлович, Дудницын Юрий Павлович, издательство Просвещение, Москва, 2008, зелёного цвета, страница 61, номер 103, Решение 1
Алгебра, 10-11 класс Учебник, авторы: Колмогоров Андрей Николаевич, Абрамов Александр Михайлович, Дудницын Юрий Павлович, издательство Просвещение, Москва, 2008, зелёного цвета, страница 61, номер 103, Решение 1 (продолжение 2)
Решение 2. №103 (с. 61)
Алгебра, 10-11 класс Учебник, авторы: Колмогоров Андрей Николаевич, Абрамов Александр Михайлович, Дудницын Юрий Павлович, издательство Просвещение, Москва, 2008, зелёного цвета, страница 61, номер 103, Решение 2
Решение 3. №103 (с. 61)
Алгебра, 10-11 класс Учебник, авторы: Колмогоров Андрей Николаевич, Абрамов Александр Михайлович, Дудницын Юрий Павлович, издательство Просвещение, Москва, 2008, зелёного цвета, страница 61, номер 103, Решение 3
Решение 4. №103 (с. 61)
Алгебра, 10-11 класс Учебник, авторы: Колмогоров Андрей Николаевич, Абрамов Александр Михайлович, Дудницын Юрий Павлович, издательство Просвещение, Москва, 2008, зелёного цвета, страница 61, номер 103, Решение 4
Алгебра, 10-11 класс Учебник, авторы: Колмогоров Андрей Николаевич, Абрамов Александр Михайлович, Дудницын Юрий Павлович, издательство Просвещение, Москва, 2008, зелёного цвета, страница 61, номер 103, Решение 4 (продолжение 2)
Решение 5. №103 (с. 61)

а) $f(x) = 4 \cos 3x$

1. Находим область определения. Функция определена для всех действительных чисел $x$. $D(f) = (-\infty; +\infty)$.

2. Находим производную функции.
$f'(x) = (4 \cos 3x)' = 4 \cdot (-\sin 3x) \cdot (3x)' = -12 \sin 3x$.

3. Находим критические точки. Для этого решаем уравнение $f'(x) = 0$.
$-12 \sin 3x = 0$
$\sin 3x = 0$
$3x = n\pi$, где $n \in \mathbb{Z}$
$x = \frac{n\pi}{3}$, $n \in \mathbb{Z}$.

4. Определяем промежутки монотонности. Знак производной $f'(x) = -12 \sin 3x$ противоположен знаку $\sin 3x$.
- Функция возрастает, когда $f'(x) > 0$, то есть $\sin 3x < 0$. Это неравенство выполняется при $3x \in (\pi + 2\pi n, 2\pi + 2\pi n)$, откуда $x \in (\frac{\pi}{3} + \frac{2\pi n}{3}, \frac{2\pi}{3} + \frac{2\pi n}{3})$.
- Функция убывает, когда $f'(x) < 0$, то есть $\sin 3x > 0$. Это неравенство выполняется при $3x \in (2\pi n, \pi + 2\pi n)$, откуда $x \in (\frac{2\pi n}{3}, \frac{\pi}{3} + \frac{2\pi n}{3})$.

5. Определяем точки экстремума.
- В точках $x = \frac{2\pi n}{3}$ производная меняет знак с «+» на «−» (функция переходит от возрастания к убыванию), следовательно, это точки максимума.
- В точках $x = \frac{\pi}{3} + \frac{2\pi n}{3}$ производная меняет знак с «−» на «+» (функция переходит от убывания к возрастанию), следовательно, это точки минимума.

Ответ:
Промежутки возрастания: $[\frac{\pi}{3} + \frac{2\pi n}{3}, \frac{2\pi}{3} + \frac{2\pi n}{3}]$, $n \in \mathbb{Z}$.
Промежутки убывания: $[\frac{2\pi n}{3}, \frac{\pi}{3} + \frac{2\pi n}{3}]$, $n \in \mathbb{Z}$.
Точки максимума: $x_{max} = \frac{2\pi n}{3}$, $n \in \mathbb{Z}$.
Точки минимума: $x_{min} = \frac{\pi}{3} + \frac{2\pi n}{3}$, $n \in \mathbb{Z}$.

б) $f(x) = 0,5 \ctg \frac{x}{4}$

1. Находим область определения. Котангенс не определен, когда его аргумент равен $n\pi, n \in \mathbb{Z}$.
$\frac{x}{4} \neq n\pi \Rightarrow x \neq 4n\pi, n \in \mathbb{Z}$.
$D(f): x \in \mathbb{R} \setminus \{4n\pi | n \in \mathbb{Z}\}$.

2. Находим производную функции.
$f'(x) = (0,5 \ctg \frac{x}{4})' = 0,5 \cdot (-\frac{1}{\sin^2(\frac{x}{4})}) \cdot (\frac{x}{4})' = -0,5 \cdot \frac{1}{\sin^2(\frac{x}{4})} \cdot \frac{1}{4} = -\frac{0,125}{\sin^2(\frac{x}{4})}$.

3. Анализируем знак производной.
Выражение $\sin^2(\frac{x}{4})$ всегда положительно в области определения функции. Числитель -0,125 - отрицательное число. Следовательно, $f'(x) < 0$ для всех $x$ из области определения. Производная нигде не равна нулю и существует во всей области определения функции, поэтому критических точек нет.

4. Делаем вывод.
Так как производная всегда отрицательна, функция убывает на всей своей области определения. Точек максимума и минимума у функции нет.

Ответ:
Промежутки возрастания: нет.
Промежутки убывания: на каждом из интервалов $(4n\pi, 4(n+1)\pi)$, $n \in \mathbb{Z}$.
Точки максимума: нет.
Точки минимума: нет.

в) $f(x) = 2 \tg \frac{x}{2}$

1. Находим область определения. Тангенс не определен, когда его аргумент равен $\frac{\pi}{2} + n\pi, n \in \mathbb{Z}$.
$\frac{x}{2} \neq \frac{\pi}{2} + n\pi \Rightarrow x \neq \pi + 2n\pi, n \in \mathbb{Z}$.
$D(f): x \in \mathbb{R} \setminus \{\pi + 2n\pi | n \in \mathbb{Z}\}$.

2. Находим производную функции.
$f'(x) = (2 \tg \frac{x}{2})' = 2 \cdot \frac{1}{\cos^2(\frac{x}{2})} \cdot (\frac{x}{2})' = 2 \cdot \frac{1}{\cos^2(\frac{x}{2})} \cdot \frac{1}{2} = \frac{1}{\cos^2(\frac{x}{2})}$.

3. Анализируем знак производной.
Выражение $\cos^2(\frac{x}{2})$ всегда положительно в области определения функции. Числитель 1 - положительное число. Следовательно, $f'(x) > 0$ для всех $x$ из области определения. Производная нигде не равна нулю и существует во всей области определения функции, поэтому критических точек нет.

4. Делаем вывод.
Так как производная всегда положительна, функция возрастает на всей своей области определения. Точек максимума и минимума у функции нет.

Ответ:
Промежутки возрастания: на каждом из интервалов $(-\pi + 2n\pi, \pi + 2n\pi)$, $n \in \mathbb{Z}$.
Промежутки убывания: нет.
Точки максимума: нет.
Точки минимума: нет.

г) $f(x) = 0,2 \sin 4x$

1. Находим область определения. Функция определена для всех действительных чисел $x$. $D(f) = (-\infty; +\infty)$.

2. Находим производную функции.
$f'(x) = (0,2 \sin 4x)' = 0,2 \cdot \cos 4x \cdot (4x)' = 0,8 \cos 4x$.

3. Находим критические точки. Для этого решаем уравнение $f'(x) = 0$.
$0,8 \cos 4x = 0$
$\cos 4x = 0$
$4x = \frac{\pi}{2} + n\pi$, где $n \in \mathbb{Z}$
$x = \frac{\pi}{8} + \frac{n\pi}{4}$, $n \in \mathbb{Z}$.

4. Определяем промежутки монотонности. Знак производной $f'(x) = 0,8 \cos 4x$ совпадает со знаком $\cos 4x$.
- Функция возрастает, когда $f'(x) > 0$, то есть $\cos 4x > 0$. Это неравенство выполняется при $4x \in (-\frac{\pi}{2} + 2\pi n, \frac{\pi}{2} + 2\pi n)$, откуда $x \in (-\frac{\pi}{8} + \frac{\pi n}{2}, \frac{\pi}{8} + \frac{\pi n}{2})$.
- Функция убывает, когда $f'(x) < 0$, то есть $\cos 4x < 0$. Это неравенство выполняется при $4x \in (\frac{\pi}{2} + 2\pi n, \frac{3\pi}{2} + 2\pi n)$, откуда $x \in (\frac{\pi}{8} + \frac{\pi n}{2}, \frac{3\pi}{8} + \frac{\pi n}{2})$.

5. Определяем точки экстремума.
- В точках $x = \frac{\pi}{8} + \frac{\pi n}{2}$ производная меняет знак с «+» на «−», следовательно, это точки максимума.
- В точках $x = \frac{3\pi}{8} + \frac{\pi n}{2}$ производная меняет знак с «−» на «+», следовательно, это точки минимума.

Ответ:
Промежутки возрастания: $[-\frac{\pi}{8} + \frac{\pi n}{2}, \frac{\pi}{8} + \frac{\pi n}{2}]$, $n \in \mathbb{Z}$.
Промежутки убывания: $[\frac{\pi}{8} + \frac{\pi n}{2}, \frac{3\pi}{8} + \frac{\pi n}{2}]$, $n \in \mathbb{Z}$.
Точки максимума: $x_{max} = \frac{\pi}{8} + \frac{\pi n}{2}$, $n \in \mathbb{Z}$.
Точки минимума: $x_{min} = \frac{3\pi}{8} + \frac{\pi n}{2}$, $n \in \mathbb{Z}$.

Помогло решение? Оставьте отзыв в комментариях ниже.

Присоединяйтесь к Телеграм-группе @top_gdz

Присоединиться

Мы подготовили для вас ответ c подробным объяснением домашего задания по алгебре за 10-11 класс, для упражнения номер 103 расположенного на странице 61 к учебнику 2008 года издания для учащихся школ и гимназий.

Теперь на нашем сайте ГДЗ.ТОП вы всегда легко и бесплатно найдёте условие с правильным ответом на вопрос «Как решить ДЗ» и «Как сделать» задание по алгебре к упражнению №103 (с. 61), авторов: Колмогоров (Андрей Николаевич), Абрамов (Александр Михайлович), Дудницын (Юрий Павлович), учебного пособия издательства Просвещение.