Номер 159, страница 80 - гдз по алгебре 10-11 класс учебник Колмогоров, Абрамов

Алгебра, 10-11 класс Учебник, авторы: Колмогоров Андрей Николаевич, Абрамов Александр Михайлович, Дудницын Юрий Павлович, издательство Просвещение, Москва, 2008, зелёного цвета

Авторы: Колмогоров А. Н., Абрамов А. М., Дудницын Ю. П.

Тип: Учебник

Издательство: Просвещение

Год издания: 2008 - 2026

Цвет обложки: зелёный, чёрный

ISBN: 978-5-09-019513-3

Рекомендовано Министерством образования и науки Российской Федерации

Алгебра и начала математического анализа

Популярные ГДЗ в 10 классе

Глава 1. Тригонометрические функции. Параграф 3. Решение тригонометрических уравнений и неравенств - номер 159, страница 80.

№159 (с. 80)
Условие. №159 (с. 80)
скриншот условия
Алгебра, 10-11 класс Учебник, авторы: Колмогоров Андрей Николаевич, Абрамов Александр Михайлович, Дудницын Юрий Павлович, издательство Просвещение, Москва, 2008, зелёного цвета, страница 80, номер 159, Условие

159.-

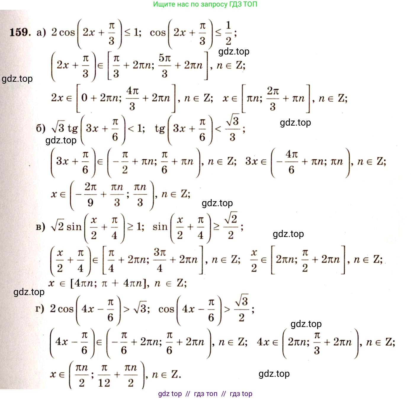
a) $2 \cos \left(2x + \frac{\pi}{3}\right) \le 1;$

б) $\sqrt{3} \operatorname{tg} \left(3x + \frac{\pi}{6}\right) < 1;$

в) $\sqrt{2} \sin \left(\frac{\pi}{4} + \frac{x}{2}\right) \ge 1;$

г) $2 \cos \left(4x - \frac{\pi}{6}\right) > \sqrt{3}.$

Решение 1. №159 (с. 80)
Алгебра, 10-11 класс Учебник, авторы: Колмогоров Андрей Николаевич, Абрамов Александр Михайлович, Дудницын Юрий Павлович, издательство Просвещение, Москва, 2008, зелёного цвета, страница 80, номер 159, Решение 1
Алгебра, 10-11 класс Учебник, авторы: Колмогоров Андрей Николаевич, Абрамов Александр Михайлович, Дудницын Юрий Павлович, издательство Просвещение, Москва, 2008, зелёного цвета, страница 80, номер 159, Решение 1 (продолжение 2)
Решение 2. №159 (с. 80)
Алгебра, 10-11 класс Учебник, авторы: Колмогоров Андрей Николаевич, Абрамов Александр Михайлович, Дудницын Юрий Павлович, издательство Просвещение, Москва, 2008, зелёного цвета, страница 80, номер 159, Решение 2
Решение 3. №159 (с. 80)
Алгебра, 10-11 класс Учебник, авторы: Колмогоров Андрей Николаевич, Абрамов Александр Михайлович, Дудницын Юрий Павлович, издательство Просвещение, Москва, 2008, зелёного цвета, страница 80, номер 159, Решение 3
Алгебра, 10-11 класс Учебник, авторы: Колмогоров Андрей Николаевич, Абрамов Александр Михайлович, Дудницын Юрий Павлович, издательство Просвещение, Москва, 2008, зелёного цвета, страница 80, номер 159, Решение 3 (продолжение 2)
Решение 4. №159 (с. 80)
Алгебра, 10-11 класс Учебник, авторы: Колмогоров Андрей Николаевич, Абрамов Александр Михайлович, Дудницын Юрий Павлович, издательство Просвещение, Москва, 2008, зелёного цвета, страница 80, номер 159, Решение 4
Решение 5. №159 (с. 80)

а) Решим неравенство $2 \cos\left(2x + \frac{\pi}{3}\right) \le 1$.
Разделим обе части неравенства на 2:
$\cos\left(2x + \frac{\pi}{3}\right) \le \frac{1}{2}$.
Введем новую переменную $t = 2x + \frac{\pi}{3}$. Неравенство примет вид $\cos(t) \le \frac{1}{2}$.
Решением этого простейшего тригонометрического неравенства является объединение промежутков, которые на единичной окружности соответствуют дуге от $\frac{\pi}{3}$ до $\frac{5\pi}{3}$.
С учетом периодичности функции косинус, решение для $t$ можно записать в виде двойного неравенства:
$\frac{\pi}{3} + 2\pi k \le t \le \frac{5\pi}{3} + 2\pi k$, где $k \in \mathbb{Z}$.
Теперь вернемся к исходной переменной $x$, подставив $t = 2x + \frac{\pi}{3}$:
$\frac{\pi}{3} + 2\pi k \le 2x + \frac{\pi}{3} \le \frac{5\pi}{3} + 2\pi k$.
Вычтем $\frac{\pi}{3}$ из всех частей неравенства:
$\frac{\pi}{3} - \frac{\pi}{3} + 2\pi k \le 2x \le \frac{5\pi}{3} - \frac{\pi}{3} + 2\pi k$.
$2\pi k \le 2x \le \frac{4\pi}{3} + 2\pi k$.
Разделим все части неравенства на 2:
$\pi k \le x \le \frac{2\pi}{3} + \pi k$.
Ответ: $x \in \left[\pi k, \frac{2\pi}{3} + \pi k\right]$, $k \in \mathbb{Z}$.

б) Решим неравенство $\sqrt{3} \operatorname{tg}\left(3x + \frac{\pi}{6}\right) < 1$.
Разделим обе части неравенства на $\sqrt{3}$:
$\operatorname{tg}\left(3x + \frac{\pi}{6}\right) < \frac{1}{\sqrt{3}}$.
Введем новую переменную $t = 3x + \frac{\pi}{6}$. Неравенство примет вид $\operatorname{tg}(t) < \frac{1}{\sqrt{3}}$.
Учитывая область определения тангенса ($t \neq \frac{\pi}{2} + \pi k$) и его периодичность, решением этого неравенства является:
$-\frac{\pi}{2} + \pi k < t < \frac{\pi}{6} + \pi k$, где $k \in \mathbb{Z}$.
Вернемся к переменной $x$:
$-\frac{\pi}{2} + \pi k < 3x + \frac{\pi}{6} < \frac{\pi}{6} + \pi k$.
Вычтем $\frac{\pi}{6}$ из всех частей неравенства:
$-\frac{\pi}{2} - \frac{\pi}{6} + \pi k < 3x < \frac{\pi}{6} - \frac{\pi}{6} + \pi k$.
$-\frac{3\pi}{6} - \frac{\pi}{6} + \pi k < 3x < \pi k$.
$-\frac{4\pi}{6} + \pi k < 3x < \pi k$.
$-\frac{2\pi}{3} + \pi k < 3x < \pi k$.
Разделим все части неравенства на 3:
$-\frac{2\pi}{9} + \frac{\pi k}{3} < x < \frac{\pi k}{3}$.
Ответ: $x \in \left(-\frac{2\pi}{9} + \frac{\pi k}{3}, \frac{\pi k}{3}\right)$, $k \in \mathbb{Z}$.

в) Решим неравенство $\sqrt{2} \sin\left(\frac{\pi}{4} + \frac{x}{2}\right) \ge 1$.
Разделим обе части неравенства на $\sqrt{2}$:
$\sin\left(\frac{\pi}{4} + \frac{x}{2}\right) \ge \frac{1}{\sqrt{2}}$, или $\sin\left(\frac{\pi}{4} + \frac{x}{2}\right) \ge \frac{\sqrt{2}}{2}$.
Введем новую переменную $t = \frac{\pi}{4} + \frac{x}{2}$. Неравенство примет вид $\sin(t) \ge \frac{\sqrt{2}}{2}$.
Решением этого неравенства является:
$\frac{\pi}{4} + 2\pi k \le t \le \frac{3\pi}{4} + 2\pi k$, где $k \in \mathbb{Z}$.
Вернемся к переменной $x$:
$\frac{\pi}{4} + 2\pi k \le \frac{\pi}{4} + \frac{x}{2} \le \frac{3\pi}{4} + 2\pi k$.
Вычтем $\frac{\pi}{4}$ из всех частей неравенства:
$2\pi k \le \frac{x}{2} \le \frac{3\pi}{4} - \frac{\pi}{4} + 2\pi k$.
$2\pi k \le \frac{x}{2} \le \frac{2\pi}{4} + 2\pi k$.
$2\pi k \le \frac{x}{2} \le \frac{\pi}{2} + 2\pi k$.
Умножим все части неравенства на 2:
$4\pi k \le x \le \pi + 4\pi k$.
Ответ: $x \in [4\pi k, \pi + 4\pi k]$, $k \in \mathbb{Z}$.

г) Решим неравенство $2 \cos\left(4x - \frac{\pi}{6}\right) > \sqrt{3}$.
Разделим обе части неравенства на 2:
$\cos\left(4x - \frac{\pi}{6}\right) > \frac{\sqrt{3}}{2}$.
Введем новую переменную $t = 4x - \frac{\pi}{6}$. Неравенство примет вид $\cos(t) > \frac{\sqrt{3}}{2}$.
Решением этого неравенства является:
$-\frac{\pi}{6} + 2\pi k < t < \frac{\pi}{6} + 2\pi k$, где $k \in \mathbb{Z}$.
Вернемся к переменной $x$:
$-\frac{\pi}{6} + 2\pi k < 4x - \frac{\pi}{6} < \frac{\pi}{6} + 2\pi k$.
Прибавим $\frac{\pi}{6}$ ко всем частям неравенства:
$-\frac{\pi}{6} + \frac{\pi}{6} + 2\pi k < 4x < \frac{\pi}{6} + \frac{\pi}{6} + 2\pi k$.
$2\pi k < 4x < \frac{2\pi}{6} + 2\pi k$.
$2\pi k < 4x < \frac{\pi}{3} + 2\pi k$.
Разделим все части неравенства на 4:
$\frac{2\pi k}{4} < x < \frac{\pi}{12} + \frac{2\pi k}{4}$.
$\frac{\pi k}{2} < x < \frac{\pi}{12} + \frac{\pi k}{2}$.
Ответ: $x \in \left(\frac{\pi k}{2}, \frac{\pi}{12} + \frac{\pi k}{2}\right)$, $k \in \mathbb{Z}$.

Помогло решение? Оставьте отзыв в комментариях ниже.

Присоединяйтесь к Телеграм-группе @top_gdz

Присоединиться

Мы подготовили для вас ответ c подробным объяснением домашего задания по алгебре за 10-11 класс, для упражнения номер 159 расположенного на странице 80 к учебнику 2008 года издания для учащихся школ и гимназий.

Теперь на нашем сайте ГДЗ.ТОП вы всегда легко и бесплатно найдёте условие с правильным ответом на вопрос «Как решить ДЗ» и «Как сделать» задание по алгебре к упражнению №159 (с. 80), авторов: Колмогоров (Андрей Николаевич), Абрамов (Александр Михайлович), Дудницын (Юрий Павлович), учебного пособия издательства Просвещение.