Номер 176, страница 84 - гдз по алгебре 10-11 класс учебник Колмогоров, Абрамов

Алгебра, 10-11 класс Учебник, авторы: Колмогоров Андрей Николаевич, Абрамов Александр Михайлович, Дудницын Юрий Павлович, издательство Просвещение, Москва, 2008, зелёного цвета

Авторы: Колмогоров А. Н., Абрамов А. М., Дудницын Ю. П.

Тип: Учебник

Издательство: Просвещение

Год издания: 2008 - 2026

Цвет обложки: зелёный, чёрный

ISBN: 978-5-09-019513-3

Рекомендовано Министерством образования и науки Российской Федерации

Алгебра и начала математического анализа

Популярные ГДЗ в 10 классе

Глава 1. Тригонометрические функции. Параграф 3. Решение тригонометрических уравнений и неравенств - номер 176, страница 84.

№176 (с. 84)
Условие. №176 (с. 84)
скриншот условия
Алгебра, 10-11 класс Учебник, авторы: Колмогоров Андрей Николаевич, Абрамов Александр Михайлович, Дудницын Юрий Павлович, издательство Просвещение, Москва, 2008, зелёного цвета, страница 84, номер 176, Условие

176. a) $\begin{cases} \sin x - \cos y = 0, \\ \sin^2 x + \cos^2 y = 2; \end{cases}$

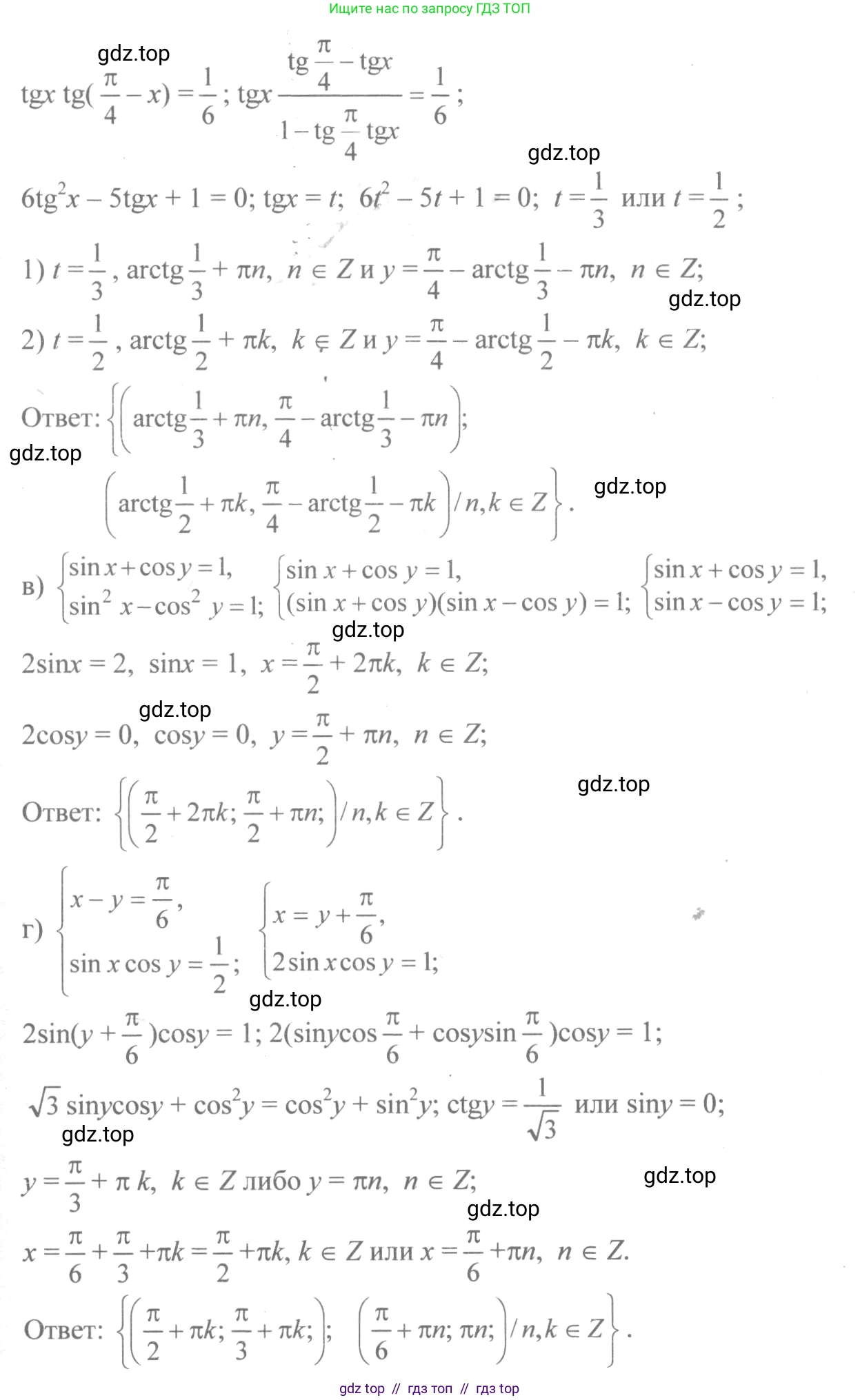
б) $\begin{cases} x + y = \frac{\pi}{4}, \\ \operatorname{tg} x \operatorname{tg} y = \frac{1}{6}; \end{cases}$

в) $\begin{cases} \sin x + \cos y = 1, \\ \sin^2 x - \cos^2 y = 1; \end{cases}$

г) $\begin{cases} x - y = \frac{\pi}{6}, \\ \sin x \cos y = \frac{1}{2}. \end{cases}$

Решение 1. №176 (с. 84)
Алгебра, 10-11 класс Учебник, авторы: Колмогоров Андрей Николаевич, Абрамов Александр Михайлович, Дудницын Юрий Павлович, издательство Просвещение, Москва, 2008, зелёного цвета, страница 84, номер 176, Решение 1
Алгебра, 10-11 класс Учебник, авторы: Колмогоров Андрей Николаевич, Абрамов Александр Михайлович, Дудницын Юрий Павлович, издательство Просвещение, Москва, 2008, зелёного цвета, страница 84, номер 176, Решение 1 (продолжение 2)
Решение 2. №176 (с. 84)
Алгебра, 10-11 класс Учебник, авторы: Колмогоров Андрей Николаевич, Абрамов Александр Михайлович, Дудницын Юрий Павлович, издательство Просвещение, Москва, 2008, зелёного цвета, страница 84, номер 176, Решение 2
Алгебра, 10-11 класс Учебник, авторы: Колмогоров Андрей Николаевич, Абрамов Александр Михайлович, Дудницын Юрий Павлович, издательство Просвещение, Москва, 2008, зелёного цвета, страница 84, номер 176, Решение 2 (продолжение 2)
Решение 3. №176 (с. 84)
Алгебра, 10-11 класс Учебник, авторы: Колмогоров Андрей Николаевич, Абрамов Александр Михайлович, Дудницын Юрий Павлович, издательство Просвещение, Москва, 2008, зелёного цвета, страница 84, номер 176, Решение 3
Алгебра, 10-11 класс Учебник, авторы: Колмогоров Андрей Николаевич, Абрамов Александр Михайлович, Дудницын Юрий Павлович, издательство Просвещение, Москва, 2008, зелёного цвета, страница 84, номер 176, Решение 3 (продолжение 2)
Решение 4. №176 (с. 84)
Алгебра, 10-11 класс Учебник, авторы: Колмогоров Андрей Николаевич, Абрамов Александр Михайлович, Дудницын Юрий Павлович, издательство Просвещение, Москва, 2008, зелёного цвета, страница 84, номер 176, Решение 4
Алгебра, 10-11 класс Учебник, авторы: Колмогоров Андрей Николаевич, Абрамов Александр Михайлович, Дудницын Юрий Павлович, издательство Просвещение, Москва, 2008, зелёного цвета, страница 84, номер 176, Решение 4 (продолжение 2)
Решение 5. №176 (с. 84)

а)

Дана система уравнений:

$ \begin{cases} \sin x - \cos y = 0 \\ \sin^2 x + \cos^2 y = 2 \end{cases} $

Из первого уравнения выразим $\sin x$: $\sin x = \cos y$.

Подставим это выражение во второе уравнение системы:

$(\cos y)^2 + \cos^2 y = 2$

$2\cos^2 y = 2$

$\cos^2 y = 1$

Отсюда получаем два случая: $\cos y = 1$ или $\cos y = -1$.

Случай 1: $\cos y = 1$.

Тогда из $\sin x = \cos y$ следует, что $\sin x = 1$.

Решаем систему:

$ \begin{cases} \sin x = 1 \\ \cos y = 1 \end{cases} $

Получаем решения: $x = \frac{\pi}{2} + 2\pi n$, $y = 2\pi k$, где $n, k \in \mathbb{Z}$.

Случай 2: $\cos y = -1$.

Тогда из $\sin x = \cos y$ следует, что $\sin x = -1$.

Решаем систему:

$ \begin{cases} \sin x = -1 \\ \cos y = -1 \end{cases} $

Получаем решения: $x = -\frac{\pi}{2} + 2\pi n$, $y = \pi + 2\pi k$, где $n, k \in \mathbb{Z}$.

Ответ: $(\frac{\pi}{2} + 2\pi n, 2\pi k)$; $(-\frac{\pi}{2} + 2\pi n, \pi + 2\pi k)$, где $n, k \in \mathbb{Z}$.

б)

Дана система уравнений:

$ \begin{cases} x + y = \frac{\pi}{4} \\ \tg x \tg y = \frac{1}{6} \end{cases} $

Используем формулу тангенса суммы: $\tg(x+y) = \frac{\tg x + \tg y}{1 - \tg x \tg y}$.

Из первого уравнения $x+y = \frac{\pi}{4}$, следовательно, $\tg(x+y) = \tg(\frac{\pi}{4}) = 1$.

Подставим известные значения в формулу:

$1 = \frac{\tg x + \tg y}{1 - \frac{1}{6}}$

$1 = \frac{\tg x + \tg y}{5/6}$

$\tg x + \tg y = \frac{5}{6}$

Теперь у нас есть система для $\tg x$ и $\tg y$:

$ \begin{cases} \tg x + \tg y = \frac{5}{6} \\ \tg x \tg y = \frac{1}{6} \end{cases} $

По теореме Виета, $\tg x$ и $\tg y$ являются корнями квадратного уравнения $t^2 - \frac{5}{6}t + \frac{1}{6} = 0$.

Умножим уравнение на 6, чтобы избавиться от дробей: $6t^2 - 5t + 1 = 0$.

Находим корни: $t = \frac{5 \pm \sqrt{25 - 24}}{12} = \frac{5 \pm 1}{12}$.

Корни: $t_1 = \frac{6}{12} = \frac{1}{2}$ и $t_2 = \frac{4}{12} = \frac{1}{3}$.

Возможны два случая:

Случай 1: $\tg x = \frac{1}{2}$ и $\tg y = \frac{1}{3}$.

$x = \arctan(\frac{1}{2}) + \pi n$, $y = \arctan(\frac{1}{3}) + \pi k$.

Подставляя в $x+y=\frac{\pi}{4}$, получаем $\arctan(\frac{1}{2}) + \arctan(\frac{1}{3}) + \pi(n+k) = \frac{\pi}{4}$.

Так как $\arctan(\frac{1}{2}) + \arctan(\frac{1}{3}) = \arctan(\frac{1/2+1/3}{1-1/6}) = \arctan(1) = \frac{\pi}{4}$, то $\frac{\pi}{4} + \pi(n+k) = \frac{\pi}{4}$, откуда $n+k=0$, т.е. $k=-n$.

Решение: $x = \arctan(\frac{1}{2}) + \pi n$, $y = \arctan(\frac{1}{3}) - \pi n$, где $n \in \mathbb{Z}$.

Случай 2: $\tg x = \frac{1}{3}$ и $\tg y = \frac{1}{2}$.

Аналогично, $x = \arctan(\frac{1}{3}) + \pi n$, $y = \arctan(\frac{1}{2}) - \pi n$, где $n \in \mathbb{Z}$.

Ответ: $(\arctan\frac{1}{2} + \pi n, \arctan\frac{1}{3} - \pi n)$; $(\arctan\frac{1}{3} + \pi n, \arctan\frac{1}{2} - \pi n)$, где $n \in \mathbb{Z}$.

в)

Дана система уравнений:

$ \begin{cases} \sin x + \cos y = 1 \\ \sin^2 x - \cos^2 y = 1 \end{cases} $

Второе уравнение можно разложить по формуле разности квадратов:

$(\sin x - \cos y)(\sin x + \cos y) = 1$

Подставим в это уравнение выражение из первого уравнения системы ($\sin x + \cos y = 1$):

$(\sin x - \cos y) \cdot 1 = 1$

$\sin x - \cos y = 1$

Теперь решаем новую, более простую систему:

$ \begin{cases} \sin x + \cos y = 1 \\ \sin x - \cos y = 1 \end{cases} $

Сложим два уравнения: $2\sin x = 2 \Rightarrow \sin x = 1$.

Вычтем второе уравнение из первого: $2\cos y = 0 \Rightarrow \cos y = 0$.

Находим $x$ и $y$:

$x = \frac{\pi}{2} + 2\pi n$, где $n \in \mathbb{Z}$.

$y = \frac{\pi}{2} + \pi k$, где $k \in \mathbb{Z}$.

Ответ: $(\frac{\pi}{2} + 2\pi n, \frac{\pi}{2} + \pi k)$, где $n, k \in \mathbb{Z}$.

г)

Дана система уравнений:

$ \begin{cases} x - y = \frac{\pi}{6} \\ \sin x \cos y = \frac{1}{2} \end{cases} $

Используем тригонометрическую формулу преобразования произведения в сумму:

$\sin x \cos y = \frac{1}{2}(\sin(x+y) + \sin(x-y))$

Подставим в нее данные из системы:

$\frac{1}{2} = \frac{1}{2}(\sin(x+y) + \sin(\frac{\pi}{6}))$

$1 = \sin(x+y) + \sin(\frac{\pi}{6})$

Так как $\sin(\frac{\pi}{6}) = \frac{1}{2}$, получаем:

$1 = \sin(x+y) + \frac{1}{2}$

$\sin(x+y) = \frac{1}{2}$

Решение этого уравнения дает две серии для суммы $x+y$:

1) $x+y = \frac{\pi}{6} + 2\pi k$, где $k \in \mathbb{Z}$.

2) $x+y = \pi - \frac{\pi}{6} + 2\pi k = \frac{5\pi}{6} + 2\pi k$, где $k \in \mathbb{Z}$.

Рассмотрим оба случая.

Случай 1:

$ \begin{cases} x - y = \frac{\pi}{6} \\ x + y = \frac{\pi}{6} + 2\pi k \end{cases} $

Складывая уравнения, получаем: $2x = \frac{2\pi}{6} + 2\pi k = \frac{\pi}{3} + 2\pi k \Rightarrow x = \frac{\pi}{6} + \pi k$.

Вычитая первое из второго, получаем: $2y = 2\pi k \Rightarrow y = \pi k$.

Случай 2:

$ \begin{cases} x - y = \frac{\pi}{6} \\ x + y = \frac{5\pi}{6} + 2\pi k \end{cases} $

Складывая уравнения, получаем: $2x = \frac{6\pi}{6} + 2\pi k = \pi + 2\pi k \Rightarrow x = \frac{\pi}{2} + \pi k$.

Вычитая первое из второго, получаем: $2y = \frac{4\pi}{6} + 2\pi k = \frac{2\pi}{3} + 2\pi k \Rightarrow y = \frac{\pi}{3} + \pi k$.

Ответ: $(\frac{\pi}{6} + \pi k, \pi k)$; $(\frac{\pi}{2} + \pi k, \frac{\pi}{3} + \pi k)$, где $k \in \mathbb{Z}$.

Помогло решение? Оставьте отзыв в комментариях ниже.

Присоединяйтесь к Телеграм-группе @top_gdz

Присоединиться

Мы подготовили для вас ответ c подробным объяснением домашего задания по алгебре за 10-11 класс, для упражнения номер 176 расположенного на странице 84 к учебнику 2008 года издания для учащихся школ и гимназий.

Теперь на нашем сайте ГДЗ.ТОП вы всегда легко и бесплатно найдёте условие с правильным ответом на вопрос «Как решить ДЗ» и «Как сделать» задание по алгебре к упражнению №176 (с. 84), авторов: Колмогоров (Андрей Николаевич), Абрамов (Александр Михайлович), Дудницын (Юрий Павлович), учебного пособия издательства Просвещение.