Номер 339, страница 181 - гдз по алгебре 10-11 класс учебник Колмогоров, Абрамов

Алгебра, 10-11 класс Учебник, авторы: Колмогоров Андрей Николаевич, Абрамов Александр Михайлович, Дудницын Юрий Павлович, издательство Просвещение, Москва, 2008, зелёного цвета

Авторы: Колмогоров А. Н., Абрамов А. М., Дудницын Ю. П.

Тип: Учебник

Издательство: Просвещение

Год издания: 2008 - 2026

Цвет обложки: зелёный, чёрный

ISBN: 978-5-09-019513-3

Рекомендовано Министерством образования и науки Российской Федерации

Алгебра и начала математического анализа

Популярные ГДЗ в 10 классе

Глава 3. Первообразная и интеграл. Параграф 7. Первообразная - номер 339, страница 181.

№339 (с. 181)
Условие. №339 (с. 181)
скриншот условия
Алгебра, 10-11 класс Учебник, авторы: Колмогоров Андрей Николаевич, Абрамов Александр Михайлович, Дудницын Юрий Павлович, издательство Просвещение, Москва, 2008, зелёного цвета, страница 181, номер 339, Условие

339.— Для функции $f$ найдите первообразную, график которой проходит через данную точку $M$:

а) $f(x) = 2 \cos x, M \left( -\frac{\pi}{2}; 1 \right)$;

б) $f(x) = 1 - x^2, M (-3; 9)$;

в) $f(x) = \sin \left( x + \frac{\pi}{3} \right), M \left( \frac{2\pi}{3}; -1 \right)$;

г) $f(x) = \frac{1}{x^4}, M \left( \frac{1}{2}; 3 \right)$.

Решение 1. №339 (с. 181)
Алгебра, 10-11 класс Учебник, авторы: Колмогоров Андрей Николаевич, Абрамов Александр Михайлович, Дудницын Юрий Павлович, издательство Просвещение, Москва, 2008, зелёного цвета, страница 181, номер 339, Решение 1
Решение 2. №339 (с. 181)
Алгебра, 10-11 класс Учебник, авторы: Колмогоров Андрей Николаевич, Абрамов Александр Михайлович, Дудницын Юрий Павлович, издательство Просвещение, Москва, 2008, зелёного цвета, страница 181, номер 339, Решение 2
Алгебра, 10-11 класс Учебник, авторы: Колмогоров Андрей Николаевич, Абрамов Александр Михайлович, Дудницын Юрий Павлович, издательство Просвещение, Москва, 2008, зелёного цвета, страница 181, номер 339, Решение 2 (продолжение 2)
Решение 3. №339 (с. 181)
Алгебра, 10-11 класс Учебник, авторы: Колмогоров Андрей Николаевич, Абрамов Александр Михайлович, Дудницын Юрий Павлович, издательство Просвещение, Москва, 2008, зелёного цвета, страница 181, номер 339, Решение 3
Решение 4. №339 (с. 181)
Алгебра, 10-11 класс Учебник, авторы: Колмогоров Андрей Николаевич, Абрамов Александр Михайлович, Дудницын Юрий Павлович, издательство Просвещение, Москва, 2008, зелёного цвета, страница 181, номер 339, Решение 4
Алгебра, 10-11 класс Учебник, авторы: Колмогоров Андрей Николаевич, Абрамов Александр Михайлович, Дудницын Юрий Павлович, издательство Просвещение, Москва, 2008, зелёного цвета, страница 181, номер 339, Решение 4 (продолжение 2)
Решение 5. №339 (с. 181)

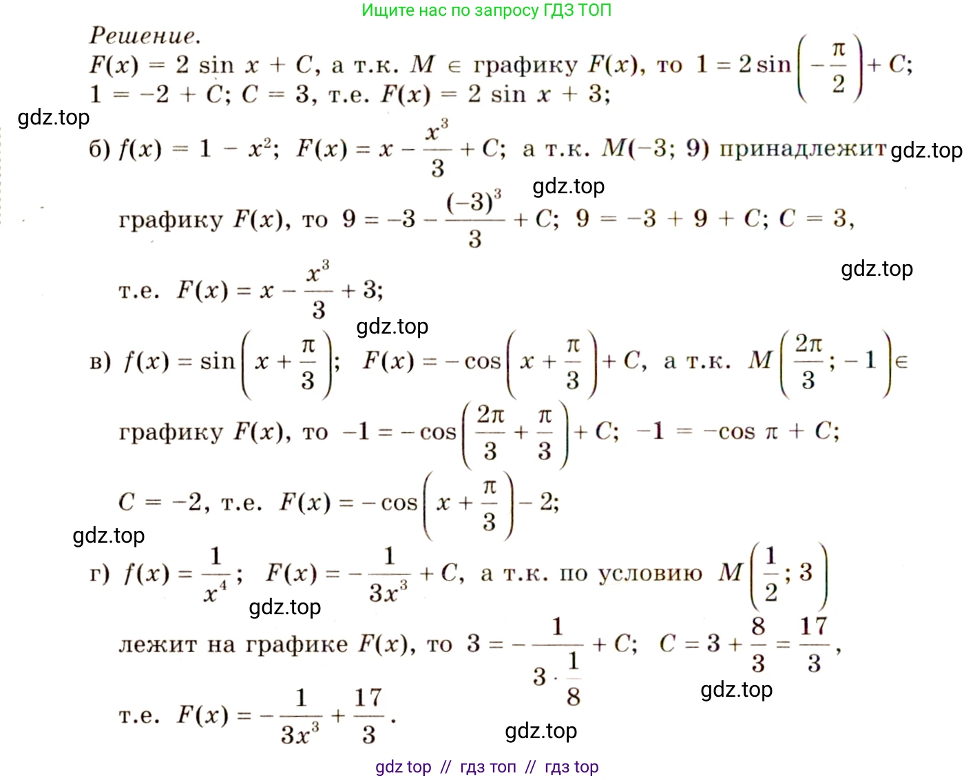
а) Чтобы найти первообразную для функции $f(x) = 2 \cos x$, сначала находим ее общий вид. Общий вид первообразной $F(x)$ — это неопределенный интеграл от данной функции:$F(x) = \int 2 \cos x \,dx = 2 \sin x + C$, где $C$ — произвольная постоянная.По условию, график первообразной проходит через точку $M(-\frac{\pi}{2}; 1)$. Это означает, что при $x = -\frac{\pi}{2}$ значение первообразной $F(x)$ равно $1$. Подставим эти значения в выражение для $F(x)$, чтобы найти константу $C$:$F(-\frac{\pi}{2}) = 2 \sin(-\frac{\pi}{2}) + C = 1$Поскольку $\sin(-\frac{\pi}{2}) = -1$, получаем уравнение:$2 \cdot (-1) + C = 1$$-2 + C = 1$$C = 3$Подставляем найденное значение $C$ в общую формулу первообразной.Ответ: $F(x) = 2 \sin x + 3$.

б) Для функции $f(x) = 1 - x^2$ найдем общий вид первообразной:$F(x) = \int (1 - x^2) \,dx = x - \frac{x^3}{3} + C$, где $C$ — произвольная постоянная.График этой первообразной проходит через точку $M(-3; 9)$. Следовательно, $F(-3) = 9$. Подставим координаты точки в уравнение для $F(x)$:$F(-3) = (-3) - \frac{(-3)^3}{3} + C = 9$Вычисляем:$-3 - \frac{-27}{3} + C = 9$$-3 - (-9) + C = 9$$-3 + 9 + C = 9$$6 + C = 9$$C = 3$Таким образом, искомая первообразная имеет вид:Ответ: $F(x) = x - \frac{x^3}{3} + 3$.

в) Для функции $f(x) = \sin(x + \frac{\pi}{3})$ общий вид первообразной:$F(x) = \int \sin(x + \frac{\pi}{3}) \,dx = -\cos(x + \frac{\pi}{3}) + C$, где $C$ — произвольная постоянная.График первообразной проходит через точку $M(\frac{2\pi}{3}; -1)$, поэтому $F(\frac{2\pi}{3}) = -1$. Подставляем значения:$F(\frac{2\pi}{3}) = -\cos(\frac{2\pi}{3} + \frac{\pi}{3}) + C = -1$Упрощаем выражение в скобках:$-\cos(\frac{3\pi}{3}) + C = -1$$-\cos(\pi) + C = -1$Так как $\cos(\pi) = -1$, получаем:$-(-1) + C = -1$$1 + C = -1$$C = -2$Следовательно, искомая первообразная:Ответ: $F(x) = -\cos(x + \frac{\pi}{3}) - 2$.

г) Для функции $f(x) = \frac{1}{x^4}$ представим ее в виде степенной функции $f(x) = x^{-4}$. Теперь найдем общий вид первообразной:$F(x) = \int x^{-4} \,dx = \frac{x^{-4+1}}{-4+1} + C = \frac{x^{-3}}{-3} + C = -\frac{1}{3x^3} + C$, где $C$ — произвольная постоянная.График первообразной проходит через точку $M(\frac{1}{2}; 3)$, значит $F(\frac{1}{2}) = 3$. Подставляем координаты в уравнение:$F(\frac{1}{2}) = -\frac{1}{3(\frac{1}{2})^3} + C = 3$Вычисляем:$-\frac{1}{3 \cdot \frac{1}{8}} + C = 3$$-\frac{1}{\frac{3}{8}} + C = 3$$-\frac{8}{3} + C = 3$$C = 3 + \frac{8}{3} = \frac{9}{3} + \frac{8}{3} = \frac{17}{3}$Искомая первообразная:Ответ: $F(x) = -\frac{1}{3x^3} + \frac{17}{3}$.

Помогло решение? Оставьте отзыв в комментариях ниже.

Присоединяйтесь к Телеграм-группе @top_gdz

Присоединиться

Мы подготовили для вас ответ c подробным объяснением домашего задания по алгебре за 10-11 класс, для упражнения номер 339 расположенного на странице 181 к учебнику 2008 года издания для учащихся школ и гимназий.

Теперь на нашем сайте ГДЗ.ТОП вы всегда легко и бесплатно найдёте условие с правильным ответом на вопрос «Как решить ДЗ» и «Как сделать» задание по алгебре к упражнению №339 (с. 181), авторов: Колмогоров (Андрей Николаевич), Абрамов (Александр Михайлович), Дудницын (Юрий Павлович), учебного пособия издательства Просвещение.