Номер 438, страница 223 - гдз по алгебре 10-11 класс учебник Колмогоров, Абрамов

Алгебра, 10-11 класс Учебник, авторы: Колмогоров Андрей Николаевич, Абрамов Александр Михайлович, Дудницын Юрий Павлович, издательство Просвещение, Москва, 2008, зелёного цвета

Авторы: Колмогоров А. Н., Абрамов А. М., Дудницын Ю. П.

Тип: Учебник

Издательство: Просвещение

Год издания: 2008 - 2026

Цвет обложки: зелёный, чёрный

ISBN: 978-5-09-019513-3

Рекомендовано Министерством образования и науки Российской Федерации

Алгебра и начала математического анализа

Популярные ГДЗ в 10 классе

Глава 4. Показательная и логарифмическая функции. Параграф 9. Обобщение понятия степени - номер 438, страница 223.

№438 (с. 223)
Условие. №438 (с. 223)
скриншот условия
Алгебра, 10-11 класс Учебник, авторы: Колмогоров Андрей Николаевич, Абрамов Александр Михайлович, Дудницын Юрий Павлович, издательство Просвещение, Москва, 2008, зелёного цвета, страница 223, номер 438, Условие

438.- Упростите выражение:

а) $\frac{a-1}{a^{\frac{3}{4}}+a^{\frac{1}{2}}} \cdot \frac{\sqrt{a}+\sqrt[4]{a}}{\sqrt{a}+1} \cdot a^{\frac{1}{4}}+1;$

б) $\left( \frac{\sqrt[4]{x^3}-\sqrt[4]{x}}{1-\sqrt{x}} + \frac{1+\sqrt{x}}{\sqrt[4]{x}} \right)^2 \cdot \left( 1 + \frac{2}{\sqrt{x}} + \frac{1}{x} \right)^{-\frac{1}{2}};$

В) $\frac{a^{\frac{4}{3}}-27a^{\frac{1}{3}}b}{a^{\frac{2}{3}}+3a^{\frac{1}{3}}b^{\frac{1}{3}}+9b^{\frac{2}{3}}} : \left( 1-3\sqrt[3]{\frac{b}{a}} \right) - \sqrt[3]{a^2};$

г) $\left( \frac{1}{m+\sqrt{2}} - \frac{m^2+4}{m^3+2\sqrt{2}} \right) \cdot \left( \frac{m}{2} - \frac{1}{\sqrt{2}} + \frac{1}{m} \right).$

Решение 1. №438 (с. 223)
Алгебра, 10-11 класс Учебник, авторы: Колмогоров Андрей Николаевич, Абрамов Александр Михайлович, Дудницын Юрий Павлович, издательство Просвещение, Москва, 2008, зелёного цвета, страница 223, номер 438, Решение 1
Решение 2. №438 (с. 223)
Алгебра, 10-11 класс Учебник, авторы: Колмогоров Андрей Николаевич, Абрамов Александр Михайлович, Дудницын Юрий Павлович, издательство Просвещение, Москва, 2008, зелёного цвета, страница 223, номер 438, Решение 2
Алгебра, 10-11 класс Учебник, авторы: Колмогоров Андрей Николаевич, Абрамов Александр Михайлович, Дудницын Юрий Павлович, издательство Просвещение, Москва, 2008, зелёного цвета, страница 223, номер 438, Решение 2 (продолжение 2)
Решение 3. №438 (с. 223)
Алгебра, 10-11 класс Учебник, авторы: Колмогоров Андрей Николаевич, Абрамов Александр Михайлович, Дудницын Юрий Павлович, издательство Просвещение, Москва, 2008, зелёного цвета, страница 223, номер 438, Решение 3
Алгебра, 10-11 класс Учебник, авторы: Колмогоров Андрей Николаевич, Абрамов Александр Михайлович, Дудницын Юрий Павлович, издательство Просвещение, Москва, 2008, зелёного цвета, страница 223, номер 438, Решение 3 (продолжение 2)
Решение 4. №438 (с. 223)
Алгебра, 10-11 класс Учебник, авторы: Колмогоров Андрей Николаевич, Абрамов Александр Михайлович, Дудницын Юрий Павлович, издательство Просвещение, Москва, 2008, зелёного цвета, страница 223, номер 438, Решение 4
Алгебра, 10-11 класс Учебник, авторы: Колмогоров Андрей Николаевич, Абрамов Александр Михайлович, Дудницын Юрий Павлович, издательство Просвещение, Москва, 2008, зелёного цвета, страница 223, номер 438, Решение 4 (продолжение 2)
Решение 5. №438 (с. 223)

а)

Исходное выражение: $ \frac{a-1}{a^{\frac{3}{4}} + a^{\frac{1}{2}}} \cdot \frac{\sqrt{a} + \sqrt[4]{a}}{\sqrt{a} + 1} \cdot a^{\frac{1}{4}} + 1 $.

Перепишем все степени и корни в виде дробных показателей для удобства:$ \frac{a-1}{a^{3/4} + a^{1/2}} \cdot \frac{a^{1/2} + a^{1/4}}{a^{1/2} + 1} \cdot a^{1/4} + 1 $.

Сначала выполним умножение. Вынесем общие множители в знаменателе первой дроби и в числителе второй:$ \frac{a-1}{a^{1/2}(a^{1/4} + 1)} \cdot \frac{a^{1/4}(a^{1/4} + 1)}{a^{1/2} + 1} \cdot a^{1/4} $.

Сократим общий множитель $ (a^{1/4} + 1) $, который присутствует в числителе и знаменателе:$ \frac{a-1}{a^{1/2}} \cdot \frac{a^{1/4}}{a^{1/2} + 1} \cdot a^{1/4} $.

Объединим множители $ a^{1/4} $:$ \frac{a-1}{a^{1/2}} \cdot \frac{a^{1/4} \cdot a^{1/4}}{a^{1/2} + 1} = \frac{a-1}{a^{1/2}} \cdot \frac{a^{1/2}}{a^{1/2} + 1} $.

Сократим $ a^{1/2} $:$ \frac{a-1}{a^{1/2} + 1} $.

Разложим числитель $ a-1 $ по формуле разности квадратов, представив $ a = (a^{1/2})^2 $ и $ 1 = 1^2 $:$ a-1 = (a^{1/2} - 1)(a^{1/2} + 1) $.

Тогда дробь примет вид:$ \frac{(a^{1/2} - 1)(a^{1/2} + 1)}{a^{1/2} + 1} = a^{1/2} - 1 $.

Теперь добавим оставшийся член $ +1 $ к результату умножения:$ (a^{1/2} - 1) + 1 = a^{1/2} = \sqrt{a} $.

Ответ: $ \sqrt{a} $.

б)

Исходное выражение: $ \left( \frac{\sqrt[4]{x^3} - \sqrt[4]{x}}{1 - \sqrt{x}} + \frac{1+\sqrt{x}}{\sqrt[4]{x}} \right)^2 \cdot \left( 1 + \frac{2}{\sqrt{x}} + \frac{1}{x} \right)^{-\frac{1}{2}} $.

Перепишем выражение с использованием дробных показателей:$ \left( \frac{x^{3/4} - x^{1/4}}{1 - x^{1/2}} + \frac{1+x^{1/2}}{x^{1/4}} \right)^2 \cdot \left( 1 + \frac{2}{x^{1/2}} + \frac{1}{x} \right)^{-1/2} $.

Упростим выражение в первой скобке. Сначала преобразуем первую дробь, вынеся общий множитель в числителе:$ \frac{x^{1/4}(x^{1/2} - 1)}{1 - x^{1/2}} = \frac{-x^{1/4}(1 - x^{1/2})}{1 - x^{1/2}} = -x^{1/4} $.

Теперь выполним сложение в первой скобке:$ -x^{1/4} + \frac{1+x^{1/2}}{x^{1/4}} = \frac{-x^{1/4} \cdot x^{1/4} + 1 + x^{1/2}}{x^{1/4}} = \frac{-x^{1/2} + 1 + x^{1/2}}{x^{1/4}} = \frac{1}{x^{1/4}} $.

Возведем результат в квадрат:$ \left(\frac{1}{x^{1/4}}\right)^2 = \frac{1}{x^{2/4}} = \frac{1}{x^{1/2}} $.

Теперь упростим выражение во второй скобке. Заметим, что это формула полного квадрата:$ 1 + \frac{2}{x^{1/2}} + \frac{1}{x} = 1^2 + 2 \cdot 1 \cdot \frac{1}{x^{1/2}} + \left(\frac{1}{x^{1/2}}\right)^2 = \left(1 + \frac{1}{x^{1/2}}\right)^2 $.

Возведем это выражение в степень $ -1/2 $:$ \left(\left(1 + \frac{1}{x^{1/2}}\right)^2\right)^{-1/2} = \left(1 + \frac{1}{x^{1/2}}\right)^{2 \cdot (-1/2)} = \left(1 + \frac{1}{x^{1/2}}\right)^{-1} = \frac{1}{1 + \frac{1}{x^{1/2}}} = \frac{1}{\frac{x^{1/2}+1}{x^{1/2}}} = \frac{x^{1/2}}{x^{1/2}+1} $.

Перемножим результаты упрощения обеих частей:$ \frac{1}{x^{1/2}} \cdot \frac{x^{1/2}}{x^{1/2}+1} = \frac{1}{x^{1/2}+1} = \frac{1}{\sqrt{x}+1} $.

Ответ: $ \frac{1}{\sqrt{x}+1} $.

в)

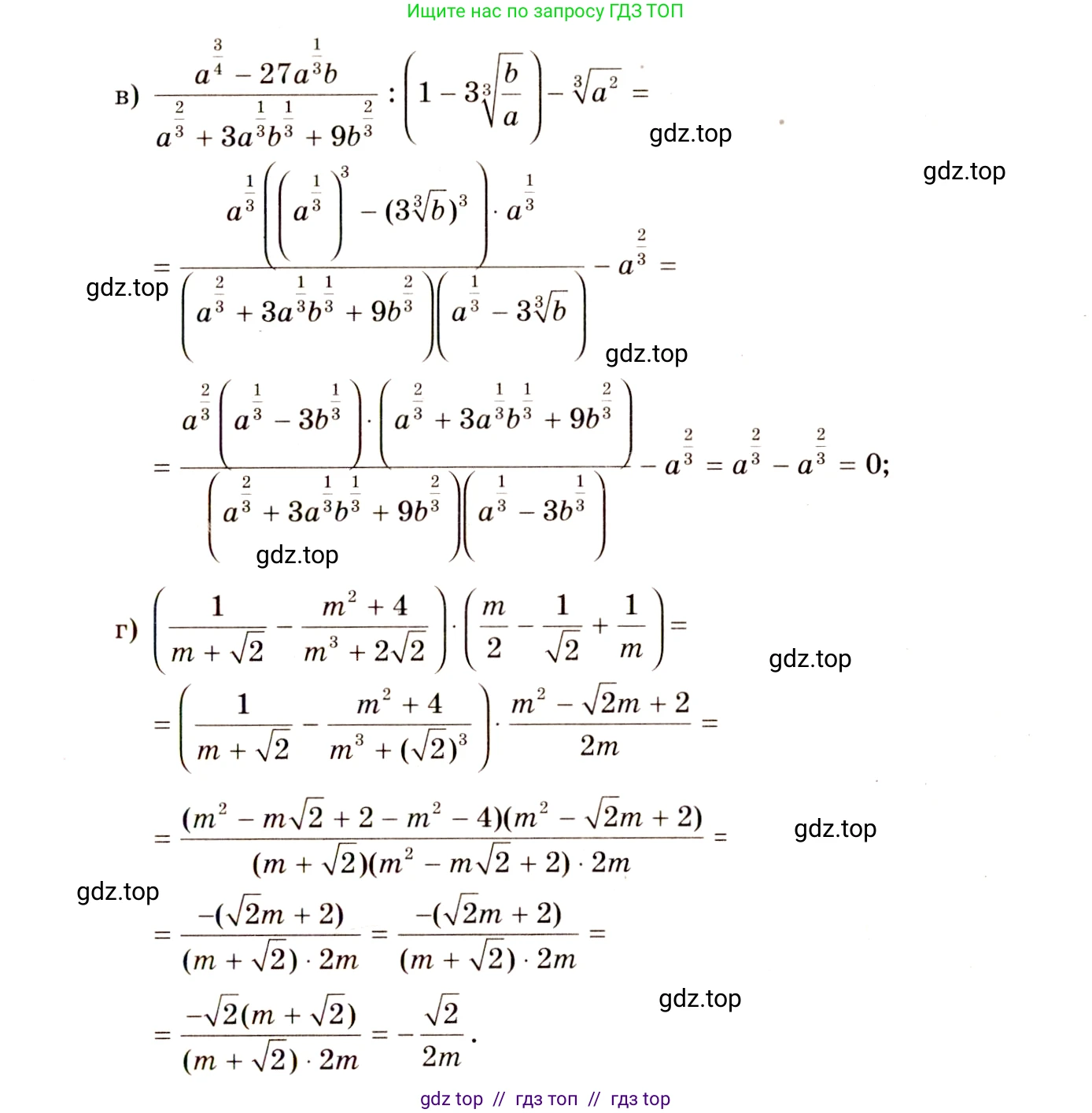
Исходное выражение: $ \frac{a^{\frac{4}{3}} - 27a^{\frac{1}{3}}b}{a^{\frac{2}{3}} + 3a^{\frac{1}{3}}b^{\frac{1}{3}} + 9b^{\frac{2}{3}}} : \left( 1 - 3 \sqrt[3]{\frac{b}{a}} \right) - \sqrt[3]{a^2} $.

Перепишем выражение с использованием дробных показателей:$ \frac{a^{4/3} - 27a^{1/3}b}{a^{2/3} + 3a^{1/3}b^{1/3} + 9b^{2/3}} : \left( 1 - 3 \frac{b^{1/3}}{a^{1/3}} \right) - a^{2/3} $.

Рассмотрим делимое. Вынесем в числителе общий множитель $ a^{1/3} $:$ a^{4/3} - 27a^{1/3}b = a^{1/3}(a - 27b) $.

Выражение в скобках $ (a - 27b) $ является разностью кубов: $ a - 27b = (a^{1/3})^3 - (3b^{1/3})^3 $.Применим формулу разности кубов $ x^3 - y^3 = (x-y)(x^2+xy+y^2) $, где $ x = a^{1/3} $ и $ y = 3b^{1/3} $:$ (a^{1/3} - 3b^{1/3})((a^{1/3})^2 + a^{1/3}(3b^{1/3}) + (3b^{1/3})^2) = (a^{1/3} - 3b^{1/3})(a^{2/3} + 3a^{1/3}b^{1/3} + 9b^{2/3}) $.

Таким образом, первая дробь равна:$ \frac{a^{1/3}(a^{1/3} - 3b^{1/3})(a^{2/3} + 3a^{1/3}b^{1/3} + 9b^{2/3})}{a^{2/3} + 3a^{1/3}b^{1/3} + 9b^{2/3}} = a^{1/3}(a^{1/3} - 3b^{1/3}) $.

Теперь преобразуем делитель, приведя к общему знаменателю:$ 1 - 3\frac{b^{1/3}}{a^{1/3}} = \frac{a^{1/3} - 3b^{1/3}}{a^{1/3}} $.

Выполним деление, заменив его умножением на обратную дробь:$ a^{1/3}(a^{1/3} - 3b^{1/3}) : \frac{a^{1/3} - 3b^{1/3}}{a^{1/3}} = a^{1/3}(a^{1/3} - 3b^{1/3}) \cdot \frac{a^{1/3}}{a^{1/3} - 3b^{1/3}} $.

Сократив $ (a^{1/3} - 3b^{1/3}) $, получим:$ a^{1/3} \cdot a^{1/3} = a^{2/3} $.

Наконец, выполним вычитание:$ a^{2/3} - a^{2/3} = 0 $.

Ответ: $ 0 $.

г)

Исходное выражение: $ \left( \frac{1}{m+\sqrt{2}} - \frac{m^2+4}{m^3+2\sqrt{2}} \right) \cdot \left( \frac{m}{2} - \frac{1}{\sqrt{2}} + \frac{1}{m} \right) $.

Упростим выражение в первой скобке. Знаменатель второй дроби $ m^3 + 2\sqrt{2} $ можно представить как сумму кубов $ m^3 + (\sqrt{2})^3 $.Разложим его по формуле суммы кубов $ x^3 + y^3 = (x+y)(x^2-xy+y^2) $:$ m^3 + (\sqrt{2})^3 = (m+\sqrt{2})(m^2 - m\sqrt{2} + 2) $.

Приведем дроби в первой скобке к общему знаменателю:$ \frac{1 \cdot (m^2 - m\sqrt{2} + 2)}{(m+\sqrt{2})(m^2 - m\sqrt{2} + 2)} - \frac{m^2+4}{m^3+2\sqrt{2}} = \frac{m^2 - m\sqrt{2} + 2 - (m^2+4)}{m^3+2\sqrt{2}} $.

Упростим числитель:$ m^2 - m\sqrt{2} + 2 - m^2 - 4 = -m\sqrt{2} - 2 = -\sqrt{2}(m+\sqrt{2}) $.

Выражение в первой скобке становится:$ \frac{-\sqrt{2}(m+\sqrt{2})}{(m+\sqrt{2})(m^2 - m\sqrt{2} + 2)} = \frac{-\sqrt{2}}{m^2 - m\sqrt{2} + 2} $.

Теперь упростим выражение во второй скобке. Приведем его к общему знаменателю $ 2m $:$ \frac{m}{2} - \frac{1}{\sqrt{2}} + \frac{1}{m} = \frac{m}{2} - \frac{\sqrt{2}}{2} + \frac{1}{m} = \frac{m \cdot m - \sqrt{2} \cdot m + 1 \cdot 2}{2m} = \frac{m^2 - m\sqrt{2} + 2}{2m} $.

Перемножим результаты упрощения обеих скобок:$ \left( \frac{-\sqrt{2}}{m^2 - m\sqrt{2} + 2} \right) \cdot \left( \frac{m^2 - m\sqrt{2} + 2}{2m} \right) $.

Сократим общий множитель $ (m^2 - m\sqrt{2} + 2) $, который не равен нулю ни при каком действительном $ m $:$ \frac{-\sqrt{2}}{2m} $.

Ответ: $ -\frac{\sqrt{2}}{2m} $.

Помогло решение? Оставьте отзыв в комментариях ниже.

Присоединяйтесь к Телеграм-группе @top_gdz

Присоединиться

Мы подготовили для вас ответ c подробным объяснением домашего задания по алгебре за 10-11 класс, для упражнения номер 438 расположенного на странице 223 к учебнику 2008 года издания для учащихся школ и гимназий.

Теперь на нашем сайте ГДЗ.ТОП вы всегда легко и бесплатно найдёте условие с правильным ответом на вопрос «Как решить ДЗ» и «Как сделать» задание по алгебре к упражнению №438 (с. 223), авторов: Колмогоров (Андрей Николаевич), Абрамов (Александр Михайлович), Дудницын (Юрий Павлович), учебного пособия издательства Просвещение.