Номер 545, страница 256 - гдз по алгебре 10-11 класс учебник Колмогоров, Абрамов

Алгебра, 10-11 класс Учебник, авторы: Колмогоров Андрей Николаевич, Абрамов Александр Михайлович, Дудницын Юрий Павлович, издательство Просвещение, Москва, 2008, зелёного цвета

Авторы: Колмогоров А. Н., Абрамов А. М., Дудницын Ю. П.

Тип: Учебник

Издательство: Просвещение

Год издания: 2008 - 2026

Цвет обложки: зелёный, чёрный

ISBN: 978-5-09-019513-3

Рекомендовано Министерством образования и науки Российской Федерации

Алгебра и начала математического анализа

Популярные ГДЗ в 10 классе

Глава 4. Показательная и логарифмическая функции. Параграф 11. Производная показательной и логарифмической функций - номер 545, страница 256.

№545 (с. 256)
Условие. №545 (с. 256)
скриншот условия
Алгебра, 10-11 класс Учебник, авторы: Колмогоров Андрей Николаевич, Абрамов Александр Михайлович, Дудницын Юрий Павлович, издательство Просвещение, Москва, 2008, зелёного цвета, страница 256, номер 545, Условие

545.— Исследуйте на возрастание (убывание) и экстремумы функ-цию:

а) $f(x) = xe^{5x}$;

б) $f(x) = x^2 2^{-x}$;

в) $f(x) = xe^{-x}$;

г) $f(x) = x^4 0.5^x$.

Решение 1. №545 (с. 256)
Алгебра, 10-11 класс Учебник, авторы: Колмогоров Андрей Николаевич, Абрамов Александр Михайлович, Дудницын Юрий Павлович, издательство Просвещение, Москва, 2008, зелёного цвета, страница 256, номер 545, Решение 1
Алгебра, 10-11 класс Учебник, авторы: Колмогоров Андрей Николаевич, Абрамов Александр Михайлович, Дудницын Юрий Павлович, издательство Просвещение, Москва, 2008, зелёного цвета, страница 256, номер 545, Решение 1 (продолжение 2)
Решение 2. №545 (с. 256)
Алгебра, 10-11 класс Учебник, авторы: Колмогоров Андрей Николаевич, Абрамов Александр Михайлович, Дудницын Юрий Павлович, издательство Просвещение, Москва, 2008, зелёного цвета, страница 256, номер 545, Решение 2
Алгебра, 10-11 класс Учебник, авторы: Колмогоров Андрей Николаевич, Абрамов Александр Михайлович, Дудницын Юрий Павлович, издательство Просвещение, Москва, 2008, зелёного цвета, страница 256, номер 545, Решение 2 (продолжение 2)
Решение 3. №545 (с. 256)
Алгебра, 10-11 класс Учебник, авторы: Колмогоров Андрей Николаевич, Абрамов Александр Михайлович, Дудницын Юрий Павлович, издательство Просвещение, Москва, 2008, зелёного цвета, страница 256, номер 545, Решение 3
Алгебра, 10-11 класс Учебник, авторы: Колмогоров Андрей Николаевич, Абрамов Александр Михайлович, Дудницын Юрий Павлович, издательство Просвещение, Москва, 2008, зелёного цвета, страница 256, номер 545, Решение 3 (продолжение 2)
Решение 5. №545 (с. 256)

Для исследования функции на возрастание (убывание) и экстремумы необходимо найти её производную, приравнять её к нулю, чтобы найти критические точки, а затем определить знаки производной на интервалах, на которые критические точки разбивают область определения функции.

а) $f(x) = xe^{5x}$

1. Область определения функции — все действительные числа, $D(f) = (-\infty; +\infty)$.

2. Найдём производную функции, используя правило произведения $(uv)' = u'v + uv'$:

$f'(x) = (x)'e^{5x} + x(e^{5x})' = 1 \cdot e^{5x} + x \cdot e^{5x} \cdot 5 = e^{5x}(1 + 5x)$.

3. Найдём критические точки, решив уравнение $f'(x) = 0$:

$e^{5x}(1 + 5x) = 0$.

Так как $e^{5x} > 0$ для любого $x$, то $1 + 5x = 0$, откуда $x = -1/5$.

4. Исследуем знак производной на интервалах $(-\infty; -1/5)$ и $(-1/5; +\infty)$.

При $x < -1/5$, например $x = -1$, имеем $f'(-1) = e^{-5}(1 - 5) = -4e^{-5} < 0$. Следовательно, на интервале $(-\infty, -1/5]$ функция убывает.

При $x > -1/5$, например $x = 0$, имеем $f'(0) = e^{0}(1 + 0) = 1 > 0$. Следовательно, на интервале $[-1/5, +\infty)$ функция возрастает.

5. В точке $x = -1/5$ производная меняет знак с минуса на плюс, значит, это точка локального минимума.

Найдём значение функции в этой точке: $f(-1/5) = -\frac{1}{5}e^{5(-1/5)} = -\frac{1}{5}e^{-1} = -\frac{1}{5e}$.

Ответ: функция возрастает на промежутке $[-1/5; +\infty)$, убывает на промежутке $(-\infty; -1/5]$. Точка минимума $x_{min} = -1/5$, $f_{min} = -1/(5e)$.

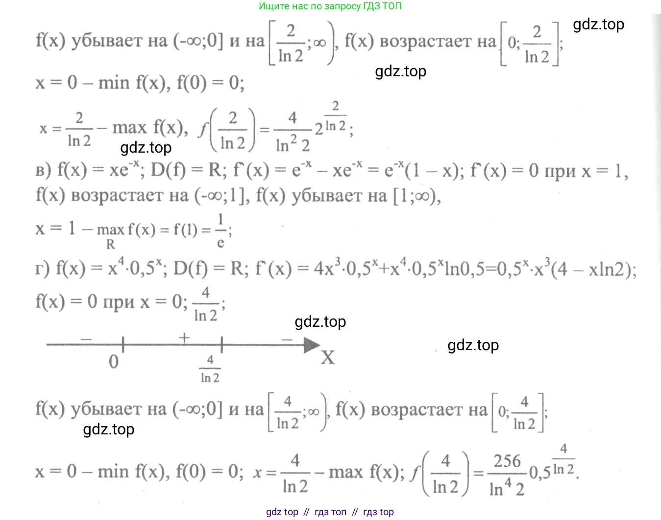
б) $f(x) = x^2 2^{-x}$

1. Область определения функции — все действительные числа, $D(f) = (-\infty; +\infty)$.

2. Найдём производную функции:

$f'(x) = (x^2)'2^{-x} + x^2(2^{-x})' = 2x \cdot 2^{-x} + x^2 \cdot 2^{-x} \ln(2) \cdot (-1) = x \cdot 2^{-x}(2 - x\ln 2)$.

3. Найдём критические точки из уравнения $f'(x) = 0$:

$x \cdot 2^{-x}(2 - x\ln 2) = 0$.

Так как $2^{-x} > 0$, то $x = 0$ или $2 - x\ln 2 = 0$. Отсюда получаем две критические точки: $x_1 = 0$ и $x_2 = 2/\ln 2$.

4. Исследуем знак производной на интервалах $(-\infty; 0)$, $(0; 2/\ln 2)$ и $(2/\ln 2; +\infty)$.

Знак $f'(x)$ совпадает со знаком выражения $x(2 - x\ln 2)$.

При $x < 0$: $f'(x) < 0$, функция убывает на $(-\infty, 0]$.

При $0 < x < 2/\ln 2$: $f'(x) > 0$, функция возрастает на $[0, 2/\ln 2]$.

При $x > 2/\ln 2$: $f'(x) < 0$, функция убывает на $[2/\ln 2, +\infty)$.

5. В точке $x=0$ производная меняет знак с "−" на "+", это точка минимума. $f(0) = 0^2 \cdot 2^0 = 0$.

В точке $x=2/\ln 2$ производная меняет знак с "+" на "−", это точка максимума. $f(2/\ln 2) = (\frac{2}{\ln 2})^2 2^{-2/\ln 2} = \frac{4}{\ln^2 2} \cdot (e^{\ln 2})^{-2/\ln 2} = \frac{4}{\ln^2 2} \cdot e^{-2} = \frac{4}{e^2\ln^2 2}$.

Ответ: функция возрастает на промежутке $[0; 2/\ln 2]$, убывает на промежутках $(-\infty; 0]$ и $[2/\ln 2; +\infty)$. Точка минимума $x_{min} = 0$, $f_{min} = 0$. Точка максимума $x_{max} = 2/\ln 2$, $f_{max} = 4/(e^2\ln^2 2)$.

в) $f(x) = xe^{-x}$

1. Область определения функции — все действительные числа, $D(f) = (-\infty; +\infty)$.

2. Найдём производную функции:

$f'(x) = (x)'e^{-x} + x(e^{-x})' = 1 \cdot e^{-x} + x \cdot e^{-x} \cdot (-1) = e^{-x}(1 - x)$.

3. Найдём критические точки из уравнения $f'(x) = 0$:

$e^{-x}(1 - x) = 0$.

Так как $e^{-x} > 0$, то $1 - x = 0$, откуда $x = 1$.

4. Исследуем знак производной на интервалах $(-\infty; 1)$ и $(1; +\infty)$.

При $x < 1$, $f'(x) > 0$, следовательно, на интервале $(-\infty, 1]$ функция возрастает.

При $x > 1$, $f'(x) < 0$, следовательно, на интервале $[1, +\infty)$ функция убывает.

5. В точке $x = 1$ производная меняет знак с плюса на минус, значит, это точка локального максимума.

Найдём значение функции в этой точке: $f(1) = 1 \cdot e^{-1} = 1/e$.

Ответ: функция возрастает на промежутке $(-\infty; 1]$, убывает на промежутке $[1; +\infty)$. Точка максимума $x_{max} = 1$, $f_{max} = 1/e$.

г) $f(x) = x^4 \cdot 0,5^x$

1. Область определения функции — все действительные числа, $D(f) = (-\infty; +\infty)$.

2. Найдём производную функции. Заметим, что $0,5^x = (2^{-1})^x = 2^{-x}$ и $\ln 0,5 = -\ln 2$.

$f'(x) = (x^4)'0,5^x + x^4(0,5^x)' = 4x^3 \cdot 0,5^x + x^4 \cdot 0,5^x \ln(0,5) = x^3 \cdot 0,5^x(4 + x\ln 0,5) = x^3 \cdot 0,5^x(4 - x\ln 2)$.

3. Найдём критические точки из уравнения $f'(x) = 0$:

$x^3 \cdot 0,5^x(4 - x\ln 2) = 0$.

Так как $0,5^x > 0$, то $x^3 = 0$ или $4 - x\ln 2 = 0$. Отсюда получаем две критические точки: $x_1 = 0$ и $x_2 = 4/\ln 2$.

4. Исследуем знак производной на интервалах $(-\infty; 0)$, $(0; 4/\ln 2)$ и $(4/\ln 2; +\infty)$.

Знак $f'(x)$ совпадает со знаком выражения $x^3(4 - x\ln 2)$.

При $x < 0$ (например, $x=-1$): $(-1)^3(4 - (-1)\ln 2) < 0$. Функция убывает на $(-\infty, 0]$.

При $0 < x < 4/\ln 2$ (например, $x=1$): $(1)^3(4 - \ln 2) > 0$. Функция возрастает на $[0, 4/\ln 2]$.

При $x > 4/\ln 2$ (например, $x=6 > 4/\ln 2 \approx 5.77$): $(6)^3(4 - 6\ln 2) = 216(4 - \ln 64) < 0$ (т.к. $ \ln 64 > \ln e^4 = 4$). Функция убывает на $[4/\ln 2, +\infty)$.

5. В точке $x=0$ производная меняет знак с "−" на "+", это точка минимума. $f(0) = 0^4 \cdot 0,5^0 = 0$.

В точке $x=4/\ln 2$ производная меняет знак с "+" на "−", это точка максимума. $f(4/\ln 2) = (\frac{4}{\ln 2})^4 0,5^{4/\ln 2} = \frac{256}{\ln^4 2} \cdot (2^{-1})^{4/\ln 2} = \frac{256}{\ln^4 2} \cdot 2^{-4/\ln 2} = \frac{256}{\ln^4 2} \cdot e^{-4} = \frac{256}{e^4\ln^4 2}$.

Ответ: функция возрастает на промежутке $[0; 4/\ln 2]$, убывает на промежутках $(-\infty; 0]$ и $[4/\ln 2; +\infty)$. Точка минимума $x_{min} = 0$, $f_{min} = 0$. Точка максимума $x_{max} = 4/\ln 2$, $f_{max} = 256/(e^4\ln^4 2)$.

Помогло решение? Оставьте отзыв в комментариях ниже.

Присоединяйтесь к Телеграм-группе @top_gdz

Присоединиться

Мы подготовили для вас ответ c подробным объяснением домашего задания по алгебре за 10-11 класс, для упражнения номер 545 расположенного на странице 256 к учебнику 2008 года издания для учащихся школ и гимназий.

Теперь на нашем сайте ГДЗ.ТОП вы всегда легко и бесплатно найдёте условие с правильным ответом на вопрос «Как решить ДЗ» и «Как сделать» задание по алгебре к упражнению №545 (с. 256), авторов: Колмогоров (Андрей Николаевич), Абрамов (Александр Михайлович), Дудницын (Юрий Павлович), учебного пособия издательства Просвещение.