Номер 558, страница 261 - гдз по алгебре 10-11 класс учебник Колмогоров, Абрамов

Алгебра, 10-11 класс Учебник, авторы: Колмогоров Андрей Николаевич, Абрамов Александр Михайлович, Дудницын Юрий Павлович, издательство Просвещение, Москва, 2008, зелёного цвета

Авторы: Колмогоров А. Н., Абрамов А. М., Дудницын Ю. П.

Тип: Учебник

Издательство: Просвещение

Год издания: 2008 - 2026

Цвет обложки: зелёный, чёрный

ISBN: 978-5-09-019513-3

Рекомендовано Министерством образования и науки Российской Федерации

Алгебра и начала математического анализа

Популярные ГДЗ в 10 классе

Глава 4. Показательная и логарифмическая функции. Параграф 11. Производная показательной и логарифмической функций - номер 558, страница 261.

№558 (с. 261)
Условие. №558 (с. 261)
скриншот условия
Алгебра, 10-11 класс Учебник, авторы: Колмогоров Андрей Николаевич, Абрамов Александр Михайлович, Дудницын Юрий Павлович, издательство Просвещение, Москва, 2008, зелёного цвета, страница 261, номер 558, Условие

Постройте график функции $f$ и найдите ее производную (558–559).

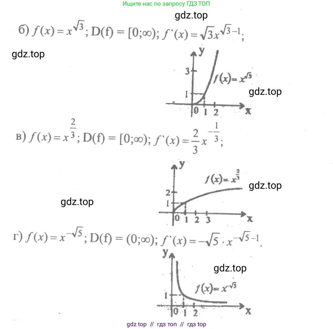
558. а) $f(x) = x^{-\frac{3}{2}}$;

б) $f(x) = x^{\sqrt{3}}$;

в) $f(x) = x^{\frac{2}{3}}$;

г) $f(x) = x^{-\sqrt{5}}$.

Решение 1. №558 (с. 261)
Алгебра, 10-11 класс Учебник, авторы: Колмогоров Андрей Николаевич, Абрамов Александр Михайлович, Дудницын Юрий Павлович, издательство Просвещение, Москва, 2008, зелёного цвета, страница 261, номер 558, Решение 1
Решение 2. №558 (с. 261)
Алгебра, 10-11 класс Учебник, авторы: Колмогоров Андрей Николаевич, Абрамов Александр Михайлович, Дудницын Юрий Павлович, издательство Просвещение, Москва, 2008, зелёного цвета, страница 261, номер 558, Решение 2
Алгебра, 10-11 класс Учебник, авторы: Колмогоров Андрей Николаевич, Абрамов Александр Михайлович, Дудницын Юрий Павлович, издательство Просвещение, Москва, 2008, зелёного цвета, страница 261, номер 558, Решение 2 (продолжение 2)
Решение 5. №558 (с. 261)

a) $f(x) = x^{-\frac{3}{2}}$

1. Нахождение производной.
Для нахождения производной степенной функции $f(x) = x^n$ используется формула $(x^n)' = n \cdot x^{n-1}$.
В данном случае $n = -\frac{3}{2}$.
$f'(x) = (x^{-\frac{3}{2}})' = -\frac{3}{2} \cdot x^{-\frac{3}{2} - 1} = -\frac{3}{2} \cdot x^{-\frac{5}{2}}$.
Производную можно также записать в виде $f'(x) = -\frac{3}{2\sqrt{x^5}}$.

2. Построение графика.
Функция $f(x) = x^{-\frac{3}{2}} = \frac{1}{\sqrt{x^3}}$.
- Область определения: Так как показатель степени является дробью с четным знаменателем ($-\frac{3}{2}$), основание $x$ должно быть неотрицательным. Кроме того, показатель степени отрицательный, поэтому основание не может быть равно нулю. Таким образом, область определения: $D(f) = (0, +\infty)$.
- Область значений: Для $x > 0$ значение $\sqrt{x^3}$ всегда положительно, следовательно, $f(x)$ также всегда положительна. Область значений: $E(f) = (0, +\infty)$.
- Поведение функции:
При $x \to 0^+$ (справа), $f(x) \to +\infty$. Ось $Oy$ является вертикальной асимптотой.
При $x \to +\infty$, $f(x) \to 0$. Ось $Ox$ является горизонтальной асимптотой.
- Монотонность: Производная $f'(x) = -\frac{3}{2}x^{-\frac{5}{2}}$ отрицательна для всех $x$ из области определения. Следовательно, функция монотонно убывает на всем промежутке $(0, +\infty)$.
- Ключевые точки: $f(1) = 1^{-\frac{3}{2}} = 1$. График проходит через точку $(1, 1)$.
- Описание графика: График функции расположен в первой координатной четверти. Он представляет собой выпуклую вниз кривую, которая начинается от $+\infty$ вблизи оси $Oy$, проходит через точку $(1, 1)$ и, убывая, асимптотически приближается к оси $Ox$.

Ответ: $f'(x) = -\frac{3}{2}x^{-\frac{5}{2}}$.

б) $f(x) = x^{\frac{2}{3}}$

1. Нахождение производной.
Используем ту же формулу $(x^n)' = n \cdot x^{n-1}$ при $n = \frac{2}{3}$.
$f'(x) = (x^{\frac{2}{3}})' = \frac{2}{3} \cdot x^{\frac{2}{3} - 1} = \frac{2}{3} \cdot x^{-\frac{1}{3}}$.
Производную можно также записать в виде $f'(x) = \frac{2}{3\sqrt[3]{x}}$.

2. Построение графика.
Функция $f(x) = x^{\frac{2}{3}} = \sqrt[3]{x^2} = (\sqrt[3]{x})^2$.
- Область определения: Кубический корень определен для всех действительных чисел, поэтому область определения: $D(f) = (-\infty, +\infty)$.
- Четность: $f(-x) = (-x)^{\frac{2}{3}} = \sqrt[3]{(-x)^2} = \sqrt[3]{x^2} = f(x)$. Функция является четной, ее график симметричен относительно оси $Oy$.
- Область значений: Так как $f(x) = (\sqrt[3]{x})^2$, значения функции всегда неотрицательны. Область значений: $E(f) = [0, +\infty)$.
- Монотонность: Производная $f'(x) = \frac{2}{3\sqrt[3]{x}}$.
При $x > 0$, $f'(x) > 0$, функция возрастает.
При $x < 0$, $f'(x) < 0$, функция убывает.
В точке $x=0$ производная не существует (знаменатель равен нулю), что указывает на наличие каспа (точки возврата) в этой точке. Точка $(0, 0)$ является точкой минимума.
- Ключевые точки: $f(0)=0$, $f(1)=1$, $f(-1)=1$, $f(8)=4$, $f(-8)=4$.
- Описание графика: График симметричен относительно оси $Oy$ и расположен в верхней полуплоскости. Он убывает из $+\infty$ при $x \to -\infty$ до точки $(0, 0)$, где образует острый "клюв" (касп), касательная в этой точке вертикальна. Затем график возрастает вправо от точки $(0, 0)$ до $+\infty$ при $x \to +\infty$.

Ответ: $f'(x) = \frac{2}{3}x^{-\frac{1}{3}}$.

в) $f(x) = x^{\sqrt{3}}$

1. Нахождение производной.
Используем формулу $(x^n)' = n \cdot x^{n-1}$ при $n = \sqrt{3}$.
$f'(x) = (x^{\sqrt{3}})' = \sqrt{3} \cdot x^{\sqrt{3} - 1}$.

2. Построение графика.
Функция $f(x) = x^{\sqrt{3}}$.
- Область определения: Так как показатель степени $\sqrt{3}$ является иррациональным числом, функция определена для $x \ge 0$. Область определения: $D(f) = [0, +\infty)$.
- Область значений: Для $x \ge 0$, $f(x) \ge 0$. Область значений: $E(f) = [0, +\infty)$.
- Поведение функции:
$f(0) = 0$. График начинается в точке $(0, 0)$.
При $x \to +\infty$, $f(x) \to +\infty$.
- Монотонность: Производная $f'(x) = \sqrt{3}x^{\sqrt{3}-1}$. Так как $\sqrt{3} \approx 1.732$, то $\sqrt{3} > 0$ и $\sqrt{3}-1 > 0$. Следовательно, $f'(x) > 0$ для всех $x > 0$. Функция монотонно возрастает на всей области определения.
- Ключевые точки: $f(0)=0$, $f(1)=1$.
- Описание графика: График функции расположен в первой координатной четверти. Он начинается в начале координат, проходит через точку $(1, 1)$ и продолжает возрастать. Так как показатель степени $\sqrt{3} > 1$, график в точке $(0,0)$ касается оси $Ox$ и является выпуклым вниз.

Ответ: $f'(x) = \sqrt{3}x^{\sqrt{3}-1}$.

г) $f(x) = x^{-\sqrt{5}}$

1. Нахождение производной.
Используем формулу $(x^n)' = n \cdot x^{n-1}$ при $n = -\sqrt{5}$.
$f'(x) = (x^{-\sqrt{5}})' = -\sqrt{5} \cdot x^{-\sqrt{5} - 1}$.

2. Построение графика.
Функция $f(x) = x^{-\sqrt{5}} = \frac{1}{x^{\sqrt{5}}}$.
- Область определения: Показатель степени $-\sqrt{5}$ иррациональный и отрицательный, поэтому функция определена для $x > 0$. Область определения: $D(f) = (0, +\infty)$.
- Область значений: Для $x > 0$, $x^{\sqrt{5}} > 0$, следовательно, $f(x) > 0$. Область значений: $E(f) = (0, +\infty)$.
- Поведение функции:
При $x \to 0^+$ (справа), $f(x) \to +\infty$. Ось $Oy$ является вертикальной асимптотой.
При $x \to +\infty$, $f(x) \to 0$. Ось $Ox$ является горизонтальной асимптотой.
- Монотонность: Производная $f'(x) = -\sqrt{5}x^{-\sqrt{5}-1} = -\frac{\sqrt{5}}{x^{\sqrt{5}+1}}$. Для $x>0$ производная всегда отрицательна. Следовательно, функция монотонно убывает на всей области определения.
- Ключевые точки: $f(1) = 1^{-\sqrt{5}} = 1$. График проходит через точку $(1, 1)$.
- Описание графика: График функции расположен в первой координатной четверти. Это выпуклая вниз кривая, которая начинается от $+\infty$ вблизи оси $Oy$, проходит через точку $(1, 1)$ и, убывая, асимптотически приближается к оси $Ox$.

Ответ: $f'(x) = -\sqrt{5}x^{-\sqrt{5}-1}$.

Помогло решение? Оставьте отзыв в комментариях ниже.

Присоединяйтесь к Телеграм-группе @top_gdz

Присоединиться

Мы подготовили для вас ответ c подробным объяснением домашего задания по алгебре за 10-11 класс, для упражнения номер 558 расположенного на странице 261 к учебнику 2008 года издания для учащихся школ и гимназий.

Теперь на нашем сайте ГДЗ.ТОП вы всегда легко и бесплатно найдёте условие с правильным ответом на вопрос «Как решить ДЗ» и «Как сделать» задание по алгебре к упражнению №558 (с. 261), авторов: Колмогоров (Андрей Николаевич), Абрамов (Александр Михайлович), Дудницын (Юрий Павлович), учебного пособия издательства Просвещение.