Номер 83, страница 47 - гдз по алгебре 10-11 класс учебник Колмогоров, Абрамов

Алгебра, 10-11 класс Учебник, авторы: Колмогоров Андрей Николаевич, Абрамов Александр Михайлович, Дудницын Юрий Павлович, издательство Просвещение, Москва, 2008, зелёного цвета

Авторы: Колмогоров А. Н., Абрамов А. М., Дудницын Ю. П.

Тип: Учебник

Издательство: Просвещение

Год издания: 2008 - 2026

Цвет обложки: зелёный, чёрный

ISBN: 978-5-09-019513-3

Рекомендовано Министерством образования и науки Российской Федерации

Алгебра и начала математического анализа

Популярные ГДЗ в 10 классе

Глава 1. Тригонометрические функции. Параграф 2. Основные свойства функций - номер 83, страница 47.

№83 (с. 47)
Условие. №83 (с. 47)
скриншот условия
Алгебра, 10-11 класс Учебник, авторы: Колмогоров Андрей Николаевич, Абрамов Александр Михайлович, Дудницын Юрий Павлович, издательство Просвещение, Москва, 2008, зелёного цвета, страница 47, номер 83, Условие

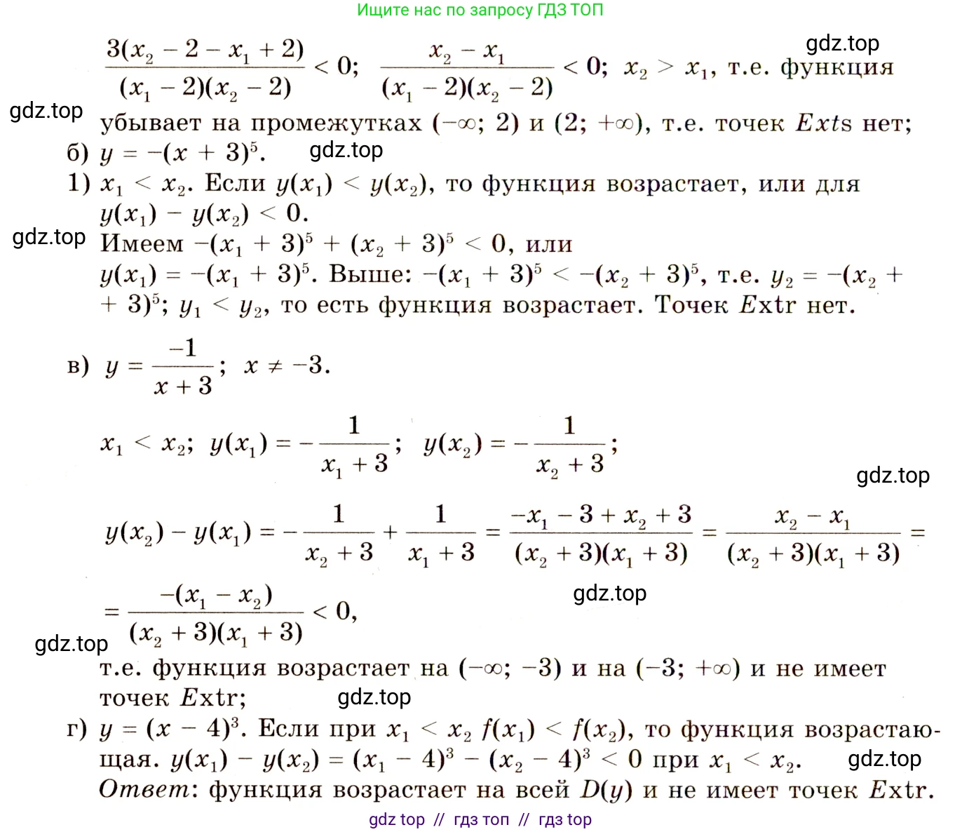
83. a) $y = -\frac{3}{x-2}$;

б) $y = -(x + 3)^5$;

в) $y = -\frac{1}{x+3}$;

г) $y = (x - 4)^3$.

Решение 1. №83 (с. 47)
Алгебра, 10-11 класс Учебник, авторы: Колмогоров Андрей Николаевич, Абрамов Александр Михайлович, Дудницын Юрий Павлович, издательство Просвещение, Москва, 2008, зелёного цвета, страница 47, номер 83, Решение 1
Решение 2. №83 (с. 47)
Алгебра, 10-11 класс Учебник, авторы: Колмогоров Андрей Николаевич, Абрамов Александр Михайлович, Дудницын Юрий Павлович, издательство Просвещение, Москва, 2008, зелёного цвета, страница 47, номер 83, Решение 2
Решение 3. №83 (с. 47)
Алгебра, 10-11 класс Учебник, авторы: Колмогоров Андрей Николаевич, Абрамов Александр Михайлович, Дудницын Юрий Павлович, издательство Просвещение, Москва, 2008, зелёного цвета, страница 47, номер 83, Решение 3
Решение 4. №83 (с. 47)
Алгебра, 10-11 класс Учебник, авторы: Колмогоров Андрей Николаевич, Абрамов Александр Михайлович, Дудницын Юрий Павлович, издательство Просвещение, Москва, 2008, зелёного цвета, страница 47, номер 83, Решение 4
Алгебра, 10-11 класс Учебник, авторы: Колмогоров Андрей Николаевич, Абрамов Александр Михайлович, Дудницын Юрий Павлович, издательство Просвещение, Москва, 2008, зелёного цвета, страница 47, номер 83, Решение 4 (продолжение 2)
Решение 5. №83 (с. 47)

а) Дана функция $y = -\frac{3}{x-2}$. Эта функция является дробно-рациональной. Область определения дробно-рациональной функции — это множество всех действительных чисел, кроме тех значений $x$, при которых знаменатель дроби равен нулю.

Приравняем знаменатель к нулю, чтобы найти точки, которые необходимо исключить из области определения:

$x - 2 = 0$

$x = 2$

Таким образом, функция не определена при $x = 2$. Следовательно, область определения функции — это все действительные числа, кроме 2.

Ответ: $D(y) = (-\infty; 2) \cup (2; +\infty)$

б) Дана функция $y = -(x + 3)^5$. Эта функция является степенной, а также многочленом (полиномом). Область определения любого многочлена — это множество всех действительных чисел, так как для вычисления значения функции не выполняются операции, имеющие ограничения (например, деление на ноль или извлечение корня четной степени из отрицательного числа).

Следовательно, область определения функции — это все действительные числа.

Ответ: $D(y) = (-\infty; +\infty)$

в) Дана функция $y = -\frac{1}{x+3}$. Эта функция является дробно-рациональной. Область определения такой функции — это множество всех действительных чисел, за исключением тех значений $x$, при которых знаменатель обращается в ноль.

Найдем точки, в которых знаменатель равен нулю:

$x + 3 = 0$

$x = -3$

Значит, функция не определена в точке $x = -3$. Область определения функции — это все действительные числа, кроме -3.

Ответ: $D(y) = (-\infty; -3) \cup (-3; +\infty)$

г) Дана функция $y = (x - 4)^3$. Эта функция является степенной и представляет собой многочлен третьей степени. Многочлены определены для всех действительных значений переменной $x$, так как в их выражении отсутствуют операции, накладывающие ограничения на область определения.

Поэтому область определения данной функции — это множество всех действительных чисел.

Ответ: $D(y) = (-\infty; +\infty)$

Помогло решение? Оставьте отзыв в комментариях ниже.

Присоединяйтесь к Телеграм-группе @top_gdz

Присоединиться

Мы подготовили для вас ответ c подробным объяснением домашего задания по алгебре за 10-11 класс, для упражнения номер 83 расположенного на странице 47 к учебнику 2008 года издания для учащихся школ и гимназий.

Теперь на нашем сайте ГДЗ.ТОП вы всегда легко и бесплатно найдёте условие с правильным ответом на вопрос «Как решить ДЗ» и «Как сделать» задание по алгебре к упражнению №83 (с. 47), авторов: Колмогоров (Андрей Николаевич), Абрамов (Александр Михайлович), Дудницын (Юрий Павлович), учебного пособия издательства Просвещение.