Номер 40.19, страница 162, часть 2 - гдз по алгебре 10-11 класс задачник Мордкович, Семенов

Алгебра, 10-11 класс Задачник, авторы: Мордкович Александр Григорьевич, Семенов Павел Владимирович, Денищева Лариса Олеговна, Корешкова Т А, Мишустина Татьяна Николаевна, Тульчинская Елена Ефимовна, издательство Мнемозина, Москва, 2019, часть 1

Авторы: Мордкович А. Г., Семенов П. В., Денищева Л. О., Корешкова Т. А., Мишустина Т. Н., Тульчинская Е. Е.

Тип: Задачник

Издательство: Мнемозина

Год издания: 2019 - 2026

Уровень обучения: базовый

Часть: 2

ISBN: 978-5-346-04509-0 (общ.), 978-5-346-04510-6 (ч. 1), 978-5-346-04511-3 (ч. 2)

Рекомендовано Министерством образования и науки Российской Федерации

Математика: алгебра и начала математического анализа, геометрия

Популярные ГДЗ в 10 классе

Часть 2. Глава 7. Показательная и логарифмическая функции. §40. Показательные уравнения и неравенства - номер 40.19, страница 162.

№40.19 (с. 162)
Условие. №40.19 (с. 162)
скриншот условия
Алгебра, 10-11 класс Задачник, авторы: Мордкович Александр Григорьевич, Семенов Павел Владимирович, Денищева Лариса Олеговна, Корешкова Т А, Мишустина Татьяна Николаевна, Тульчинская Елена Ефимовна, издательство Мнемозина, Москва, 2019, Часть 2, страница 162, номер 40.19, Условие

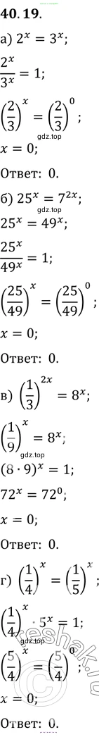
40.19 а) $2^x = 3^x$;

б) $25^x = 7^{2x}$;

В) $(\frac{1}{3})^{2x} = 8^x$;

Г) $(\frac{1}{4})^x = (\frac{1}{5})^x$.

Решение 1. №40.19 (с. 162)
Алгебра, 10-11 класс Задачник, авторы: Мордкович Александр Григорьевич, Семенов Павел Владимирович, Денищева Лариса Олеговна, Корешкова Т А, Мишустина Татьяна Николаевна, Тульчинская Елена Ефимовна, издательство Мнемозина, Москва, 2019, Часть 2, страница 162, номер 40.19, Решение 1
Решение 2. №40.19 (с. 162)
Алгебра, 10-11 класс Задачник, авторы: Мордкович Александр Григорьевич, Семенов Павел Владимирович, Денищева Лариса Олеговна, Корешкова Т А, Мишустина Татьяна Николаевна, Тульчинская Елена Ефимовна, издательство Мнемозина, Москва, 2019, Часть 2, страница 162, номер 40.19, Решение 2
Решение 3. №40.19 (с. 162)
Алгебра, 10-11 класс Задачник, авторы: Мордкович Александр Григорьевич, Семенов Павел Владимирович, Денищева Лариса Олеговна, Корешкова Т А, Мишустина Татьяна Николаевна, Тульчинская Елена Ефимовна, издательство Мнемозина, Москва, 2019, Часть 2, страница 162, номер 40.19, Решение 3
Решение 4. №40.19 (с. 162)
Алгебра, 10-11 класс Задачник, авторы: Мордкович Александр Григорьевич, Семенов Павел Владимирович, Денищева Лариса Олеговна, Корешкова Т А, Мишустина Татьяна Николаевна, Тульчинская Елена Ефимовна, издательство Мнемозина, Москва, 2019, Часть 2, страница 162, номер 40.19, Решение 4
Решение 5. №40.19 (с. 162)
Алгебра, 10-11 класс Задачник, авторы: Мордкович Александр Григорьевич, Семенов Павел Владимирович, Денищева Лариса Олеговна, Корешкова Т А, Мишустина Татьяна Николаевна, Тульчинская Елена Ефимовна, издательство Мнемозина, Москва, 2019, Часть 2, страница 162, номер 40.19, Решение 5 Алгебра, 10-11 класс Задачник, авторы: Мордкович Александр Григорьевич, Семенов Павел Владимирович, Денищева Лариса Олеговна, Корешкова Т А, Мишустина Татьяна Николаевна, Тульчинская Елена Ефимовна, издательство Мнемозина, Москва, 2019, Часть 2, страница 162, номер 40.19, Решение 5 (продолжение 2)
Решение 6. №40.19 (с. 162)

а) $2^x = 3^x$

Данное показательное уравнение имеет разные основания ($2$ и $3$), но одинаковые показатели ($x$). Для его решения разделим обе части уравнения на $3^x$. Так как $3^x > 0$ для любого действительного $x$, эта операция является равносильной и не приводит к потере корней.

$\frac{2^x}{3^x} = \frac{3^x}{3^x}$

Используя свойство степени $\frac{a^n}{b^n} = (\frac{a}{b})^n$, получаем:

$(\frac{2}{3})^x = 1$

Любое число (кроме нуля), возведенное в степень $0$, равно $1$. Следовательно, чтобы равенство выполнялось, показатель степени должен быть равен нулю.

$x = 0$

Проверка: $2^0 = 1$ и $3^0 = 1$. Равенство $1 = 1$ является верным.

Ответ: $x=0$

б) $25^x = 7^{2x}$

Преобразуем левую часть уравнения, представив основание $25$ как степень числа $5$, то есть $25 = 5^2$.

Уравнение примет вид:

$(5^2)^x = 7^{2x}$

Используя свойство степени $(a^m)^n = a^{mn}$, получаем:

$5^{2x} = 7^{2x}$

Теперь мы получили уравнение с разными основаниями ($5$ и $7$), но одинаковыми показателями ($2x$). Разделим обе части на $7^{2x}$ (выражение $7^{2x}$ всегда положительно).

$\frac{5^{2x}}{7^{2x}} = 1$

$(\frac{5}{7})^{2x} = 1$

Приравниваем показатель степени к нулю, так как любое основание (кроме 0) в степени 0 равно 1.

$2x = 0$

$x = 0$

Проверка: $25^0 = 1$ и $7^{2 \cdot 0} = 7^0 = 1$. Равенство $1 = 1$ является верным.

Ответ: $x=0$

в) $(\frac{1}{3})^{2x} = 8^x$

Преобразуем левую часть уравнения так, чтобы показатель степени стал равен $x$, как и в правой части. Для этого воспользуемся свойством степени $(a^m)^n = (a^n)^m$.

$(\frac{1}{3})^{2x} = ((\frac{1}{3})^2)^x = (\frac{1}{9})^x$

Теперь уравнение имеет вид:

$(\frac{1}{9})^x = 8^x$

Это уравнение с разными основаниями ($\frac{1}{9}$ и $8$) и одинаковым показателем ($x$). Разделим обе части на $8^x$ (что всегда больше нуля).

$\frac{(\frac{1}{9})^x}{8^x} = 1$

$(\frac{1/9}{8})^x = 1$

$(\frac{1}{72})^x = 1$

Чтобы равенство было верным, показатель степени должен быть равен нулю.

$x = 0$

Проверка: $(\frac{1}{3})^{2 \cdot 0} = (\frac{1}{3})^0 = 1$ и $8^0 = 1$. Равенство $1 = 1$ является верным.

Ответ: $x=0$

г) $(\frac{1}{4})^x = (\frac{1}{5})^x$

Это показательное уравнение с разными основаниями ($\frac{1}{4}$ и $\frac{1}{5}$), но одинаковыми показателями ($x$). Разделим обе части уравнения на $(\frac{1}{5})^x$. Эта операция является равносильной, так как $(\frac{1}{5})^x > 0$ для любого действительного $x$.

$\frac{(\frac{1}{4})^x}{(\frac{1}{5})^x} = 1$

Применяя свойство частного степеней с одинаковым показателем, получаем:

$(\frac{1/4}{1/5})^x = 1$

Упростим основание степени в левой части:

$(\frac{1}{4} \cdot \frac{5}{1})^x = 1$

$(\frac{5}{4})^x = 1$

Равенство верно только в том случае, когда показатель степени равен нулю.

$x = 0$

Проверка: $(\frac{1}{4})^0 = 1$ и $(\frac{1}{5})^0 = 1$. Равенство $1 = 1$ является верным.

Ответ: $x=0$

Помогло решение? Оставьте отзыв в комментариях ниже.

Присоединяйтесь к Телеграм-группе @top_gdz

Присоединиться

Мы подготовили для вас ответ c подробным объяснением домашего задания по алгебре за 10-11 класс, для упражнения номер 40.19 расположенного на странице 162 для 2-й части к задачнику 2019 года издания для учащихся школ и гимназий.

Теперь на нашем сайте ГДЗ.ТОП вы всегда легко и бесплатно найдёте условие с правильным ответом на вопрос «Как решить ДЗ» и «Как сделать» задание по алгебре к упражнению №40.19 (с. 162), авторов: Мордкович (Александр Григорьевич), Семенов (Павел Владимирович), Денищева (Лариса Олеговна), Корешкова (Т А), Мишустина (Татьяна Николаевна), Тульчинская (Елена Ефимовна), 2-й части ФГОС (старый) базовый уровень обучения учебного пособия издательства Мнемозина.