Номер 442, страница 161 - гдз по геометрии 10 класс учебник Латотин, Чеботаревский

Геометрия, 10 класс Учебник, авторы: Латотин Леонид Александрович, Чеботаревский Борис Дмитриевич, Горбунова Ирина Владимировна, издательство Адукацыя i выхаванне, Минск, 2020, белого цвета

Авторы: Латотин Л. А., Чеботаревский Б. Д., Горбунова И. В.

Тип: Учебник

Издательство: Адукацыя i выхаванне

Год издания: 2020 - 2026

Уровень обучения: базовый и повышенный

Цвет обложки: белый в клеточку

Допущено Министерством образования Республики Беларусь

Популярные ГДЗ в 10 классе

Раздел 4. Координаты и векторы в пространстве. Параграф 13. Скалярное произведение векторов. Задания - номер 442, страница 161.

№442 (с. 161)
Условие. №442 (с. 161)
скриншот условия
Геометрия, 10 класс Учебник, авторы: Латотин Леонид Александрович, Чеботаревский Борис Дмитриевич, Горбунова Ирина Владимировна, издательство Адукацыя i выхаванне, Минск, 2020, белого цвета, страница 161, номер 442, Условие

442. Найдите периметр и больший угол пространственного треугольника ABC, учитывая, что:

а) $A(3; 9; -5)$, $B(10; 2; -5)$, $C(3; 2; 2)$;

б) $A(-1; 5; -5)$, $B(-1; 5; -3)$, $C(0; 4; -3)$;

в) $A(6; 2; -4)$, $B(4; 4; -6)$, $C(4; 0; -2)$;

г) $A(7; -4; 3)$, $B(-3; 2; 5)$, $C(2; 0; -5)$.

Решение 2. №442 (с. 161)
Геометрия, 10 класс Учебник, авторы: Латотин Леонид Александрович, Чеботаревский Борис Дмитриевич, Горбунова Ирина Владимировна, издательство Адукацыя i выхаванне, Минск, 2020, белого цвета, страница 161, номер 442, Решение 2 Геометрия, 10 класс Учебник, авторы: Латотин Леонид Александрович, Чеботаревский Борис Дмитриевич, Горбунова Ирина Владимировна, издательство Адукацыя i выхаванне, Минск, 2020, белого цвета, страница 161, номер 442, Решение 2 (продолжение 2)
Решение 3. №442 (с. 161)

а)

Даны вершины треугольника: A(3; 9; -5), B(10; 2; -5), C(3; 2; 2).

1. Найдем длины сторон треугольника, используя формулу расстояния между двумя точками в пространстве: $d = \sqrt{(x_2 - x_1)^2 + (y_2 - y_1)^2 + (z_2 - z_1)^2}$.

Длина стороны $AB$: $|AB| = \sqrt{(10-3)^2 + (2-9)^2 + (-5-(-5))^2} = \sqrt{7^2 + (-7)^2 + 0^2} = \sqrt{49+49+0} = \sqrt{98} = 7\sqrt{2}$.

Длина стороны $BC$: $|BC| = \sqrt{(3-10)^2 + (2-2)^2 + (2-(-5))^2} = \sqrt{(-7)^2 + 0^2 + 7^2} = \sqrt{49+0+49} = \sqrt{98} = 7\sqrt{2}$.

Длина стороны $AC$: $|AC| = \sqrt{(3-3)^2 + (2-9)^2 + (2-(-5))^2} = \sqrt{0^2 + (-7)^2 + 7^2} = \sqrt{0+49+49} = \sqrt{98} = 7\sqrt{2}$.

2. Периметр треугольника $P$ равен сумме длин его сторон:

$P = |AB| + |BC| + |AC| = 7\sqrt{2} + 7\sqrt{2} + 7\sqrt{2} = 21\sqrt{2}$.

3. Для нахождения большего угла сравним длины сторон. Так как все стороны равны ($|AB|=|BC|=|AC|$), треугольник является равносторонним. В равностороннем треугольнике все углы равны $60^\circ$, следовательно, больший угол равен $60^\circ$.

Ответ: периметр $P = 21\sqrt{2}$, больший угол $60^\circ$.

б)

Даны вершины треугольника: A(-1; 5; -5), B(-1; 5; -3), C(0; 4; -3).

1. Найдем длины сторон треугольника:

$|AB| = \sqrt{(-1-(-1))^2 + (5-5)^2 + (-3-(-5))^2} = \sqrt{0^2 + 0^2 + 2^2} = \sqrt{4} = 2$.

$|BC| = \sqrt{(0-(-1))^2 + (4-5)^2 + (-3-(-3))^2} = \sqrt{1^2 + (-1)^2 + 0^2} = \sqrt{1+1+0} = \sqrt{2}$.

$|AC| = \sqrt{(0-(-1))^2 + (4-5)^2 + (-3-(-5))^2} = \sqrt{1^2 + (-1)^2 + 2^2} = \sqrt{1+1+4} = \sqrt{6}$.

2. Периметр треугольника $P$ равен сумме длин его сторон:

$P = |AB| + |BC| + |AC| = 2 + \sqrt{2} + \sqrt{6}$.

3. Для нахождения большего угла сравним квадраты длин сторон: $|AB|^2 = 4$, $|BC|^2 = 2$, $|AC|^2 = 6$. Наибольшая сторона — $AC$, следовательно, наибольший угол — $\angle B$.

Проверим, выполняется ли теорема Пифагора: $|AB|^2 + |BC|^2 = 4 + 2 = 6 = |AC|^2$.

Так как сумма квадратов двух сторон равна квадрату третьей стороны, по обратной теореме Пифагора, треугольник является прямоугольным, а угол $\angle B$ — прямой. Таким образом, больший угол равен $90^\circ$.

Ответ: периметр $P = 2 + \sqrt{2} + \sqrt{6}$, больший угол $90^\circ$.

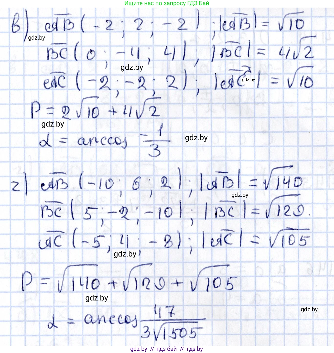
в)

Даны вершины треугольника: A(6; 2; -4), B(4; 4; -6), C(4; 0; -2).

1. Найдем длины сторон треугольника:

$|AB| = \sqrt{(4-6)^2 + (4-2)^2 + (-6-(-4))^2} = \sqrt{(-2)^2 + 2^2 + (-2)^2} = \sqrt{4+4+4} = \sqrt{12} = 2\sqrt{3}$.

$|BC| = \sqrt{(4-4)^2 + (0-4)^2 + (-2-(-6))^2} = \sqrt{0^2 + (-4)^2 + 4^2} = \sqrt{0+16+16} = \sqrt{32} = 4\sqrt{2}$.

$|AC| = \sqrt{(4-6)^2 + (0-2)^2 + (-2-(-4))^2} = \sqrt{(-2)^2 + (-2)^2 + 2^2} = \sqrt{4+4+4} = \sqrt{12} = 2\sqrt{3}$.

2. Периметр треугольника $P$ равен сумме длин его сторон:

$P = |AB| + |BC| + |AC| = 2\sqrt{3} + 4\sqrt{2} + 2\sqrt{3} = 4\sqrt{3} + 4\sqrt{2}$.

3. Сравним квадраты длин сторон: $|AB|^2=12$, $|BC|^2=32$, $|AC|^2=12$. Треугольник равнобедренный, так как $|AB|=|AC|$. Наибольшая сторона — $BC$, следовательно, наибольший угол — $\angle A$. Найдем его величину по теореме косинусов:

$\cos(\angle A) = \frac{|AB|^2+|AC|^2-|BC|^2}{2|AB||AC|} = \frac{12+12-32}{2 \cdot \sqrt{12} \cdot \sqrt{12}} = \frac{24-32}{2 \cdot 12} = \frac{-8}{24} = -\frac{1}{3}$.

Следовательно, $\angle A = \arccos\left(-\frac{1}{3}\right)$.

Ответ: периметр $P = 4\sqrt{3} + 4\sqrt{2}$, больший угол $\arccos\left(-\frac{1}{3}\right)$.

г)

Даны вершины треугольника: A(7; -4; 3), B(-3; 2; 5), C(2; 0; -5).

1. Найдем длины сторон треугольника:

$|AB| = \sqrt{(-3-7)^2 + (2-(-4))^2 + (5-3)^2} = \sqrt{(-10)^2 + 6^2 + 2^2} = \sqrt{100+36+4} = \sqrt{140} = 2\sqrt{35}$.

$|BC| = \sqrt{(2-(-3))^2 + (0-2)^2 + (-5-5)^2} = \sqrt{5^2 + (-2)^2 + (-10)^2} = \sqrt{25+4+100} = \sqrt{129}$.

$|AC| = \sqrt{(2-7)^2 + (0-(-4))^2 + (-5-3)^2} = \sqrt{(-5)^2 + 4^2 + (-8)^2} = \sqrt{25+16+64} = \sqrt{105}$.

2. Периметр треугольника $P$ равен сумме длин его сторон:

$P = |AB| + |BC| + |AC| = \sqrt{140} + \sqrt{129} + \sqrt{105} = 2\sqrt{35} + \sqrt{129} + \sqrt{105}$.

3. Сравним квадраты длин сторон: $|AB|^2=140$, $|BC|^2=129$, $|AC|^2=105$. Наибольшая сторона — $AB$, следовательно, наибольший угол — $\angle C$. Найдем его величину по теореме косинусов:

$\cos(\angle C) = \frac{|AC|^2+|BC|^2-|AB|^2}{2|AC||BC|} = \frac{105+129-140}{2\sqrt{105}\sqrt{129}} = \frac{94}{2\sqrt{13545}} = \frac{47}{\sqrt{13545}}$.

Следовательно, $\angle C = \arccos\left(\frac{47}{\sqrt{13545}}\right)$.

Ответ: периметр $P = 2\sqrt{35} + \sqrt{129} + \sqrt{105}$, больший угол $\arccos\left(\frac{47}{\sqrt{13545}}\right)$.

Помогло решение? Оставьте отзыв в комментариях ниже.

Присоединяйтесь к Телеграм-группе @gdz_by_belarus

Присоединиться

Мы подготовили для вас ответ c подробным объяснением домашего задания по геометрии за 10 класс, для упражнения номер 442 расположенного на странице 161 к учебнику 2020 года издания для учащихся школ и гимназий.

Теперь на нашем сайте ГДЗ.ТОП вы всегда легко и бесплатно найдёте условие с правильным ответом на вопрос «Как решить ДЗ» и «Как сделать» задание по геометрии к упражнению №442 (с. 161), авторов: Латотин (Леонид Александрович), Чеботаревский (Борис Дмитриевич), Горбунова (Ирина Владимировна), базовый и повышенный уровень обучения учебного пособия издательства Адукацыя i выхаванне.