Номер 2.68, страница 59 - гдз по алгебре 11 класс учебник Арефьева, Пирютко

Алгебра, 11 класс Учебник, авторы: Арефьева Ирина Глебовна, Пирютко Ольга Николаевна, издательство Народная асвета, Минск, 2020, бирюзового цвета

Авторы: Арефьева И. Г., Пирютко О. Н.

Тип: Учебник

Издательство: Народная асвета

Год издания: 2020 - 2026

Цвет обложки: бирюзовый, зелёный с графиком

ISBN: 978-985-03-3165-6

Популярные ГДЗ в 11 классе

Глава 2. Показательная функция. Параграф 4. Показательная функция - номер 2.68, страница 59.

№2.68 (с. 59)
Условие. №2.68 (с. 59)
скриншот условия
Алгебра, 11 класс Учебник, авторы: Арефьева Ирина Глебовна, Пирютко Ольга Николаевна, издательство Народная асвета, Минск, 2020, бирюзового цвета, страница 59, номер 2.68, Условие

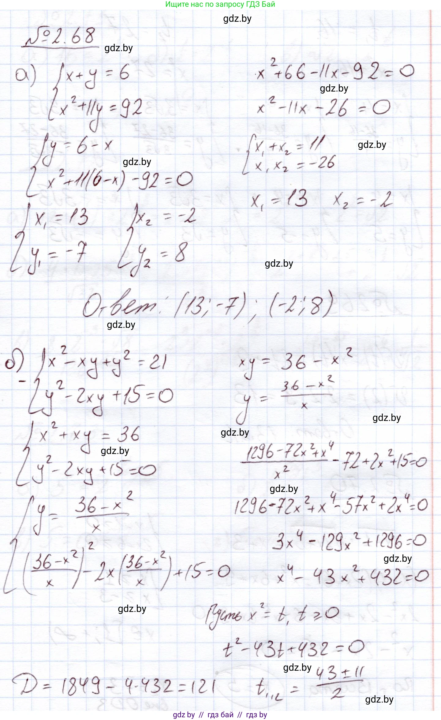
2.68. Решите систему уравнений:

а) $\begin{cases} x + y = 6, \\ x^2 + 11y = 92; \end{cases}$

б)* $\begin{cases} x^2 - xy + y^2 = 21, \\ y^2 - 2xy + 15 = 0. \end{cases}$

Решение. №2.68 (с. 59)
Алгебра, 11 класс Учебник, авторы: Арефьева Ирина Глебовна, Пирютко Ольга Николаевна, издательство Народная асвета, Минск, 2020, бирюзового цвета, страница 59, номер 2.68, Решение Алгебра, 11 класс Учебник, авторы: Арефьева Ирина Глебовна, Пирютко Ольга Николаевна, издательство Народная асвета, Минск, 2020, бирюзового цвета, страница 59, номер 2.68, Решение (продолжение 2)
Решение 2. №2.68 (с. 59)

a)

Дана система уравнений:

$$ \begin{cases} x + y = 6 \\ x^2 + 11y = 92 \end{cases} $$

Для решения этой системы используем метод подстановки. Выразим переменную $x$ из первого уравнения:

$x = 6 - y$

Теперь подставим полученное выражение для $x$ во второе уравнение системы:

$(6 - y)^2 + 11y = 92$

Раскроем скобки и упростим уравнение:

$36 - 12y + y^2 + 11y = 92$

Приведем подобные слагаемые, чтобы получить стандартное квадратное уравнение:

$y^2 - y + 36 - 92 = 0$

$y^2 - y - 56 = 0$

Решим это квадратное уравнение относительно $y$ с помощью дискриминанта.

Дискриминант $D = b^2 - 4ac = (-1)^2 - 4 \cdot 1 \cdot (-56) = 1 + 224 = 225$.

Корень из дискриминанта: $\sqrt{D} = \sqrt{225} = 15$.

Найдем корни уравнения для $y$:

$y_1 = \frac{-b + \sqrt{D}}{2a} = \frac{1 + 15}{2} = \frac{16}{2} = 8$

$y_2 = \frac{-b - \sqrt{D}}{2a} = \frac{1 - 15}{2} = \frac{-14}{2} = -7$

Теперь для каждого найденного значения $y$ найдем соответствующее значение $x$, используя подстановку $x = 6 - y$.

1. Если $y_1 = 8$, то $x_1 = 6 - 8 = -2$.

2. Если $y_2 = -7$, то $x_2 = 6 - (-7) = 6 + 7 = 13$.

Таким образом, мы получили две пары решений системы.

Ответ: $(-2, 8), (13, -7)$.

б)*

Дана система уравнений:

$$ \begin{cases} x^2 - xy + y^2 = 21 \\ y^2 - 2xy + 15 = 0 \end{cases} $$

Преобразуем второе уравнение: $y^2 - 2xy = -15$ или $2xy - y^2 = 15$.

Заметим, что $y \neq 0$, так как в противном случае из второго уравнения следовало бы $15 = 0$, что невозможно. Аналогично, $x \neq 0$, так как если $x=0$, то из первого уравнения $y^2=21$, а из второго $y^2+15=0$, что противоречиво.

Данная система является системой однородного типа. Чтобы решить ее, исключим свободные члены. Для этого умножим обе части первого уравнения на 15, а обе части уравнения $2xy - y^2 = 15$ на 21:

$$ \begin{cases} 15(x^2 - xy + y^2) = 15 \cdot 21 \\ 21(2xy - y^2) = 21 \cdot 15 \end{cases} $$

Поскольку правые части уравнений равны, приравняем их левые части:

$15(x^2 - xy + y^2) = 21(2xy - y^2)$

Разделим обе части уравнения на 3:

$5(x^2 - xy + y^2) = 7(2xy - y^2)$

Раскроем скобки и перенесем все слагаемые в одну сторону:

$5x^2 - 5xy + 5y^2 = 14xy - 7y^2$

$5x^2 - 5xy - 14xy + 5y^2 + 7y^2 = 0$

$5x^2 - 19xy + 12y^2 = 0$

Мы получили однородное уравнение. Так как $y \neq 0$, мы можем разделить обе части уравнения на $y^2$:

$5\left(\frac{x}{y}\right)^2 - 19\left(\frac{x}{y}\right) + 12 = 0$

Сделаем замену $t = \frac{x}{y}$. Уравнение примет вид:

$5t^2 - 19t + 12 = 0$

Решим это квадратное уравнение. Дискриминант $D = (-19)^2 - 4 \cdot 5 \cdot 12 = 361 - 240 = 121 = 11^2$.

Корни уравнения для $t$:

$t_1 = \frac{19 + 11}{2 \cdot 5} = \frac{30}{10} = 3$

$t_2 = \frac{19 - 11}{2 \cdot 5} = \frac{8}{10} = \frac{4}{5}$

Теперь вернемся к замене и рассмотрим два случая.

Случай 1: $\frac{x}{y} = 3$, что означает $x = 3y$.

Подставим это выражение в первое уравнение исходной системы:

$(3y)^2 - (3y)y + y^2 = 21$

$9y^2 - 3y^2 + y^2 = 21$

$7y^2 = 21$

$y^2 = 3 \implies y = \pm\sqrt{3}$

Если $y_1 = \sqrt{3}$, то $x_1 = 3\sqrt{3}$.

Если $y_2 = -\sqrt{3}$, то $x_2 = -3\sqrt{3}$.

Получили две пары решений: $(3\sqrt{3}, \sqrt{3})$ и $(-3\sqrt{3}, -\sqrt{3})$.

Случай 2: $\frac{x}{y} = \frac{4}{5}$, что означает $x = \frac{4}{5}y$.

Подставим это выражение в первое уравнение исходной системы:

$\left(\frac{4}{5}y\right)^2 - \left(\frac{4}{5}y\right)y + y^2 = 21$

$\frac{16}{25}y^2 - \frac{4}{5}y^2 + y^2 = 21$

Умножим обе части на 25, чтобы избавиться от дробей:

$16y^2 - 20y^2 + 25y^2 = 21 \cdot 25$

$21y^2 = 21 \cdot 25$

$y^2 = 25 \implies y = \pm 5$

Если $y_3 = 5$, то $x_3 = \frac{4}{5} \cdot 5 = 4$.

Если $y_4 = -5$, то $x_4 = \frac{4}{5} \cdot (-5) = -4$.

Получили еще две пары решений: $(4, 5)$ и $(-4, -5)$.

Ответ: $(4, 5), (-4, -5), (3\sqrt{3}, \sqrt{3}), (-3\sqrt{3}, -\sqrt{3})$.

Помогло решение? Оставьте отзыв в комментариях ниже.

Присоединяйтесь к Телеграм-группе @gdz_by_belarus

Присоединиться

Мы подготовили для вас ответ c подробным объяснением домашего задания по алгебре за 11 класс, для упражнения номер 2.68 расположенного на странице 59 к учебнику 2020 года издания для учащихся школ и гимназий.

Теперь на нашем сайте ГДЗ.ТОП вы всегда легко и бесплатно найдёте условие с правильным ответом на вопрос «Как решить ДЗ» и «Как сделать» задание по алгебре к упражнению №2.68 (с. 59), авторов: Арефьева (Ирина Глебовна), Пирютко (Ольга Николаевна), учебного пособия издательства Народная асвета.