Номер 2.74, страница 70 - гдз по алгебре 11 класс учебник Арефьева, Пирютко

Алгебра, 11 класс Учебник, авторы: Арефьева Ирина Глебовна, Пирютко Ольга Николаевна, издательство Народная асвета, Минск, 2020, бирюзового цвета

Авторы: Арефьева И. Г., Пирютко О. Н.

Тип: Учебник

Издательство: Народная асвета

Год издания: 2020 - 2026

Цвет обложки: бирюзовый, зелёный с графиком

ISBN: 978-985-03-3165-6

Популярные ГДЗ в 11 классе

Глава 2. Показательная функция. Параграф 5. Показательные уравнения - номер 2.74, страница 70.

№2.74 (с. 70)
Условие. №2.74 (с. 70)
скриншот условия
Алгебра, 11 класс Учебник, авторы: Арефьева Ирина Глебовна, Пирютко Ольга Николаевна, издательство Народная асвета, Минск, 2020, бирюзового цвета, страница 70, номер 2.74, Условие

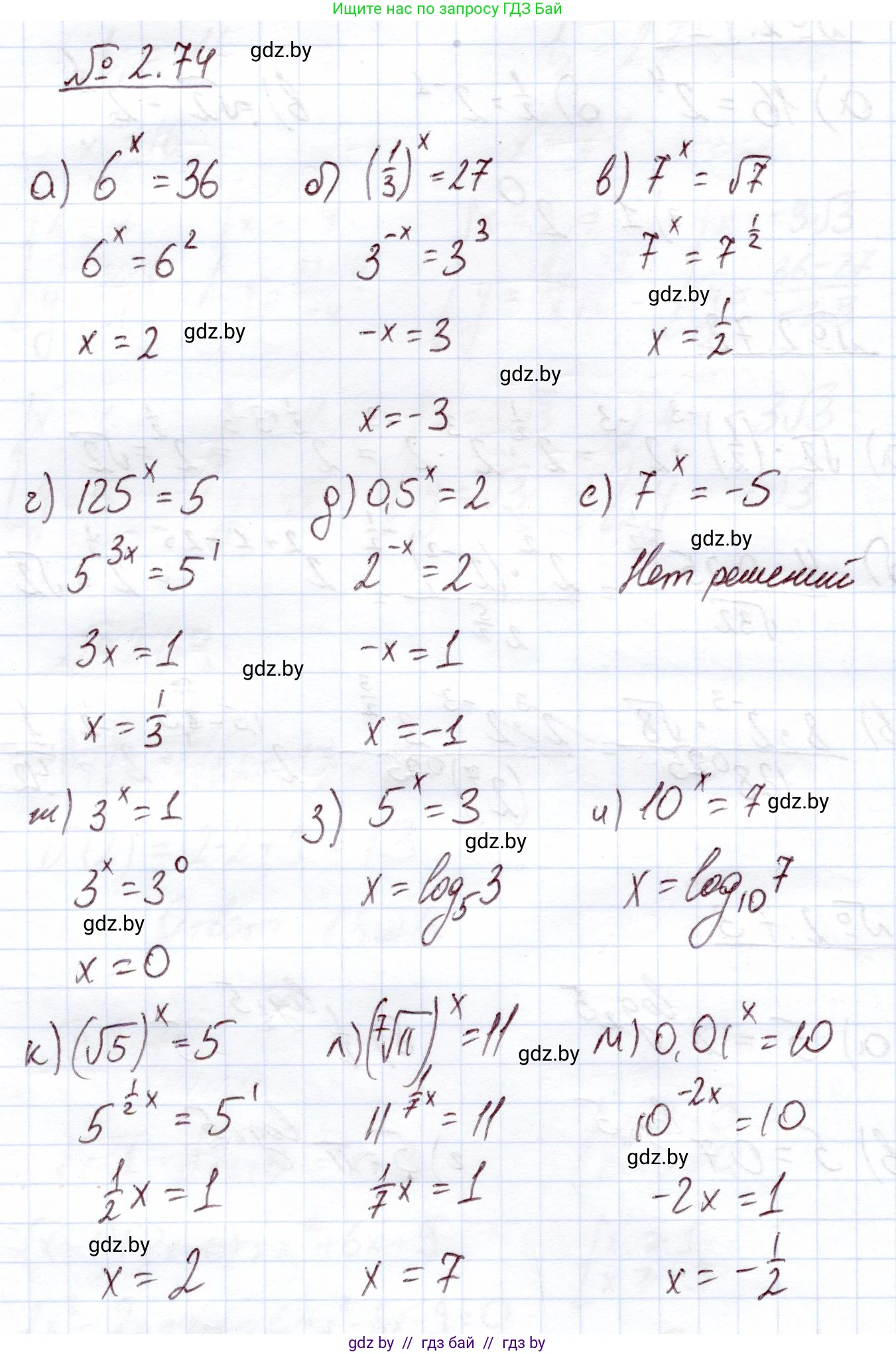
2.74. Решите показательное уравнение:

а) $6^x = 36;$

б) $\left(\frac{1}{3}\right)^x = 27;$

в) $7^x = \sqrt{7};$

г) $125^x = 5;$

д) $0,5^x = 2;$

е) $7^x = -5;$

ж) $3^x = 1;$

з) $5^x = 3;$

и) $10^x = 7;$

к) $(\sqrt{5})^x = 5;$

л) $(\sqrt[3]{11})^x = 11;$

м) $0,01^x = 10.$

Решение. №2.74 (с. 70)
Алгебра, 11 класс Учебник, авторы: Арефьева Ирина Глебовна, Пирютко Ольга Николаевна, издательство Народная асвета, Минск, 2020, бирюзового цвета, страница 70, номер 2.74, Решение
Решение 2. №2.74 (с. 70)

а) Дано уравнение $6^x = 36$. Чтобы решить это показательное уравнение, приведем обе части к одному основанию. Заметим, что $36 = 6^2$. Таким образом, уравнение принимает вид $6^x = 6^2$. Поскольку основания степеней равны, мы можем приравнять их показатели: $x = 2$.
Ответ: $2$.

б) В уравнении $(\frac{1}{3})^x = 27$ приведем обе части к основанию $3$. Левую часть можно записать как $(3^{-1})^x = 3^{-x}$. Правую часть можно записать как $27 = 3^3$. Уравнение принимает вид $3^{-x} = 3^3$. Приравнивая показатели степеней, получаем $-x = 3$, откуда $x = -3$.
Ответ: $-3$.

в) В уравнении $7^x = \sqrt{7}$ представим корень в правой части как степень с основанием $7$. По определению корня, $\sqrt{7} = 7^{1/2}$. Таким образом, уравнение можно записать как $7^x = 7^{1/2}$. Приравнивая показатели степеней, получаем $x = \frac{1}{2}$.
Ответ: $\frac{1}{2}$.

г) В уравнении $125^x = 5$ приведем левую часть к основанию $5$. Так как $125 = 5^3$, уравнение можно переписать в виде $(5^3)^x = 5$. Используя свойство степени $(a^m)^n = a^{mn}$, получаем $5^{3x} = 5^1$. Приравнивая показатели степеней, имеем $3x = 1$, откуда $x = \frac{1}{3}$.
Ответ: $\frac{1}{3}$.

д) В уравнении $0,5^x = 2$ представим десятичную дробь $0,5$ в виде степени с основанием $2$. $0,5 = \frac{1}{2} = 2^{-1}$. Уравнение принимает вид $(2^{-1})^x = 2^1$, или $2^{-x} = 2^1$. Приравнивая показатели, получаем $-x = 1$, откуда $x = -1$.
Ответ: $-1$.

е) Уравнение $7^x = -5$ не имеет решений. Показательная функция $y=a^x$ при $a>0$ и $a \neq 1$ принимает только положительные значения. Поскольку $7^x > 0$ для любого действительного значения $x$, равенство $7^x = -5$ невозможно.
Ответ: корней нет.

ж) В уравнении $3^x = 1$ представим $1$ как степень с основанием $3$. Любое число (кроме нуля) в степени $0$ равно $1$, поэтому $1 = 3^0$. Уравнение принимает вид $3^x = 3^0$. Приравнивая показатели, получаем $x = 0$.
Ответ: $0$.

з) В уравнении $5^x = 3$ число $3$ нельзя представить в виде простой степени с основанием $5$. Для решения таких уравнений используется определение логарифма. Логарифмом числа $b$ по основанию $a$ называется показатель степени, в которую нужно возвести основание $a$, чтобы получить число $b$. То есть, если $a^x = b$, то $x = \log_a b$. Применяя это определение к нашему уравнению, получаем $x = \log_5 3$.
Ответ: $\log_5 3$.

и) Уравнение $10^x = 7$ решается аналогично предыдущему, с помощью логарифма. По определению логарифма, $x = \log_{10} 7$. Логарифм по основанию $10$ также называют десятичным логарифмом и обозначают как $\lg$. Таким образом, $x = \lg 7$.
Ответ: $\lg 7$.

к) В уравнении $(\sqrt{5})^x = 5$ представим левую часть в виде степени с основанием $5$. Так как $\sqrt{5} = 5^{1/2}$, уравнение можно переписать как $(5^{1/2})^x = 5^1$. Используя свойство степени, получаем $5^{x/2} = 5^1$. Приравниваем показатели: $\frac{x}{2} = 1$. Отсюда $x = 2$.
Ответ: $2$.

л) В уравнении $(\sqrt[7]{11})^x = 11$ представим левую часть как степень с основанием $11$. Корень седьмой степени $\sqrt[7]{11}$ можно записать как $11^{1/7}$. Уравнение принимает вид $(11^{1/7})^x = 11^1$. Упрощая левую часть, получаем $11^{x/7} = 11^1$. Приравниваем показатели: $\frac{x}{7} = 1$. Отсюда $x = 7$.
Ответ: $7$.

м) В уравнении $0,01^x = 10$ приведем обе части к основанию $10$. Десятичную дробь $0,01$ можно представить как $\frac{1}{100} = \frac{1}{10^2} = 10^{-2}$. Уравнение принимает вид $(10^{-2})^x = 10^1$. Упрощая левую часть, получаем $10^{-2x} = 10^1$. Приравниваем показатели степеней: $-2x = 1$. Отсюда $x = -\frac{1}{2}$.
Ответ: $-\frac{1}{2}$.

Помогло решение? Оставьте отзыв в комментариях ниже.

Присоединяйтесь к Телеграм-группе @gdz_by_belarus

Присоединиться

Мы подготовили для вас ответ c подробным объяснением домашего задания по алгебре за 11 класс, для упражнения номер 2.74 расположенного на странице 70 к учебнику 2020 года издания для учащихся школ и гимназий.

Теперь на нашем сайте ГДЗ.ТОП вы всегда легко и бесплатно найдёте условие с правильным ответом на вопрос «Как решить ДЗ» и «Как сделать» задание по алгебре к упражнению №2.74 (с. 70), авторов: Арефьева (Ирина Глебовна), Пирютко (Ольга Николаевна), учебного пособия издательства Народная асвета.