Номер 2.84, страница 71 - гдз по алгебре 11 класс учебник Арефьева, Пирютко

Алгебра, 11 класс Учебник, авторы: Арефьева Ирина Глебовна, Пирютко Ольга Николаевна, издательство Народная асвета, Минск, 2020, бирюзового цвета

Авторы: Арефьева И. Г., Пирютко О. Н.

Тип: Учебник

Издательство: Народная асвета

Год издания: 2020 - 2026

Цвет обложки: бирюзовый, зелёный с графиком

ISBN: 978-985-03-3165-6

Популярные ГДЗ в 11 классе

Глава 2. Показательная функция. Параграф 5. Показательные уравнения - номер 2.84, страница 71.

№2.84 (с. 71)
Условие. №2.84 (с. 71)
скриншот условия
Алгебра, 11 класс Учебник, авторы: Арефьева Ирина Глебовна, Пирютко Ольга Николаевна, издательство Народная асвета, Минск, 2020, бирюзового цвета, страница 71, номер 2.84, Условие

2.84. Используйте свойства степеней и решите уравнение:

a) $ \frac{1}{8} \cdot \sqrt{2^{x-1}} = 4^{-1.25}; $

б) $ 2^{2x^2+5x-1} = 0.5\sqrt[3]{0.25^{2x}}; $

В) $ 3^{\sqrt{2x-1}} \cdot 27 = 9^{\sqrt{2x-1}}; $

Г) $ 2^{\sqrt{1+8x+2x^2}} = 8 \cdot 2^x. $

Решение. №2.84 (с. 71)
Алгебра, 11 класс Учебник, авторы: Арефьева Ирина Глебовна, Пирютко Ольга Николаевна, издательство Народная асвета, Минск, 2020, бирюзового цвета, страница 71, номер 2.84, Решение Алгебра, 11 класс Учебник, авторы: Арефьева Ирина Глебовна, Пирютко Ольга Николаевна, издательство Народная асвета, Минск, 2020, бирюзового цвета, страница 71, номер 2.84, Решение (продолжение 2)
Решение 2. №2.84 (с. 71)

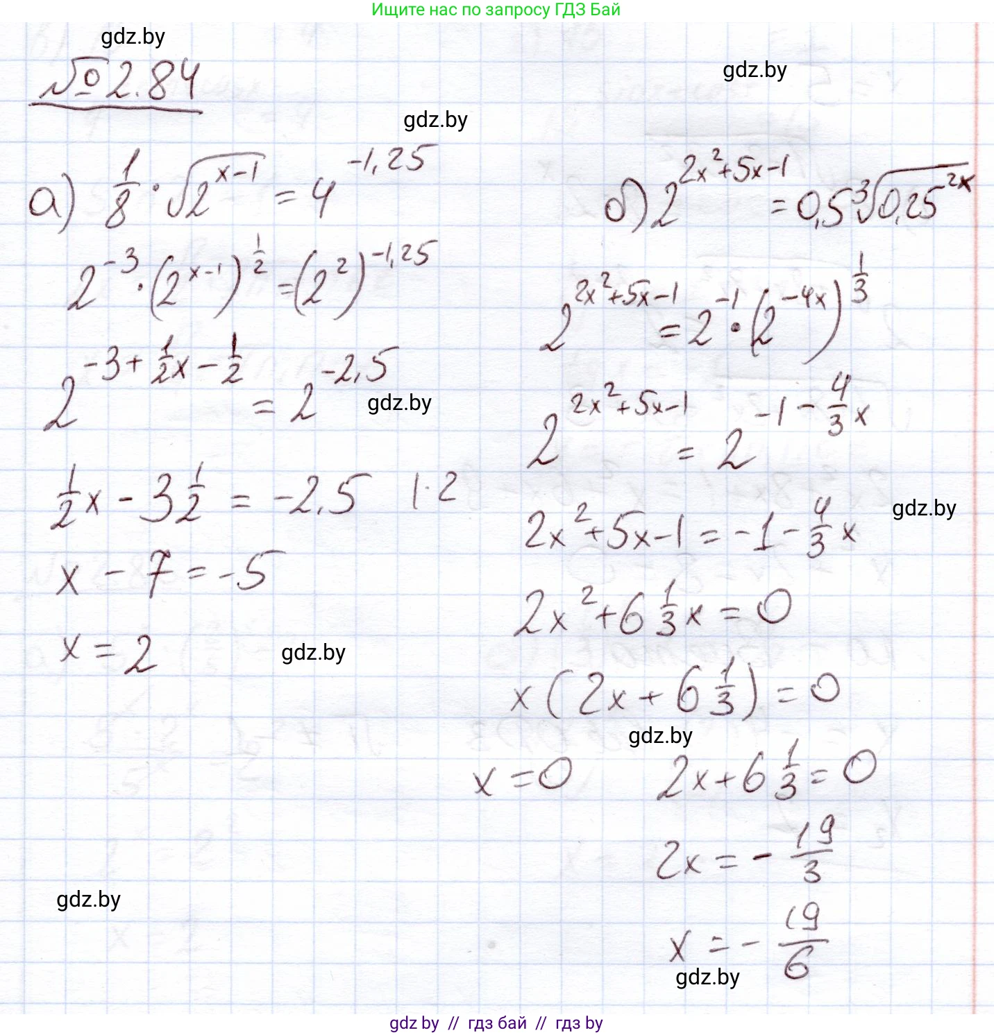
а)

Исходное уравнение: $ \frac{1}{8} \cdot \sqrt{2^{x-1}} = 4^{-1,25} $

Приведем все части уравнения к основанию 2. Для этого представим каждый член уравнения в виде степени двойки:

$ \frac{1}{8} = \frac{1}{2^3} = 2^{-3} $

$ \sqrt{2^{x-1}} = (2^{x-1})^{\frac{1}{2}} = 2^{\frac{x-1}{2}} $

$ 4^{-1,25} = (2^2)^{-1,25} = 2^{2 \cdot (-1,25)} = 2^{-2,5} $

Подставим эти выражения обратно в уравнение:

$ 2^{-3} \cdot 2^{\frac{x-1}{2}} = 2^{-2,5} $

Используя свойство степеней $ a^m \cdot a^n = a^{m+n} $, сложим показатели степеней в левой части:

$ 2^{-3 + \frac{x-1}{2}} = 2^{-2,5} $

Так как основания степеней равны, мы можем приравнять их показатели:

$ -3 + \frac{x-1}{2} = -2,5 $

Теперь решим полученное линейное уравнение относительно $x$:

$ \frac{x-1}{2} = -2,5 + 3 $

$ \frac{x-1}{2} = 0,5 $

$ x-1 = 0,5 \cdot 2 $

$ x-1 = 1 $

$ x = 2 $

Ответ: $x=2$.

б)

Исходное уравнение: $ 2^{2x^2+5x-1} = 0,5\sqrt[3]{0,25^{2x}} $

Приведем все части уравнения к основанию 2:

$ 0,5 = \frac{1}{2} = 2^{-1} $

$ 0,25 = \frac{1}{4} = 2^{-2} $

$ \sqrt[3]{0,25^{2x}} = \sqrt[3]{(2^{-2})^{2x}} = \sqrt[3]{2^{-4x}} = (2^{-4x})^{\frac{1}{3}} = 2^{-\frac{4x}{3}} $

Подставим полученные выражения в уравнение:

$ 2^{2x^2+5x-1} = 2^{-1} \cdot 2^{-\frac{4x}{3}} $

Сложим показатели степеней в правой части:

$ 2^{2x^2+5x-1} = 2^{-1 - \frac{4x}{3}} $

Приравняем показатели степеней:

$ 2x^2+5x-1 = -1 - \frac{4x}{3} $

Решим полученное квадратное уравнение:

$ 2x^2+5x-1 + 1 + \frac{4x}{3} = 0 $

$ 2x^2+5x + \frac{4x}{3} = 0 $

Умножим обе части на 3, чтобы избавиться от дроби:

$ 6x^2 + 15x + 4x = 0 $

$ 6x^2 + 19x = 0 $

Вынесем $x$ за скобки:

$ x(6x+19) = 0 $

Отсюда находим два корня:

$ x_1 = 0 $

$ 6x+19 = 0 \implies 6x = -19 \implies x_2 = -\frac{19}{6} $

Ответ: $x_1=0; x_2=-\frac{19}{6}$.

в)

Исходное уравнение: $ 3^{\sqrt{2x-1}} \cdot 27 = 9^{\sqrt{2x-1}} $

Найдем область допустимых значений (ОДЗ). Выражение под корнем должно быть неотрицательным:

$ 2x-1 \ge 0 \implies 2x \ge 1 \implies x \ge \frac{1}{2} $

Приведем все части уравнения к основанию 3:

$ 27 = 3^3 $

$ 9 = 3^2 $, следовательно $ 9^{\sqrt{2x-1}} = (3^2)^{\sqrt{2x-1}} = 3^{2\sqrt{2x-1}} $

Подставим в уравнение:

$ 3^{\sqrt{2x-1}} \cdot 3^3 = 3^{2\sqrt{2x-1}} $

Разделим обе части уравнения на $ 3^{\sqrt{2x-1}} $ (это выражение всегда больше нуля):

$ 3^3 = \frac{3^{2\sqrt{2x-1}}}{3^{\sqrt{2x-1}}} $

Используя свойство $ \frac{a^m}{a^n} = a^{m-n} $, получаем:

$ 3^3 = 3^{2\sqrt{2x-1} - \sqrt{2x-1}} $

$ 3^3 = 3^{\sqrt{2x-1}} $

Приравняем показатели степеней:

$ 3 = \sqrt{2x-1} $

Возведем обе части в квадрат:

$ 3^2 = (\sqrt{2x-1})^2 $

$ 9 = 2x-1 $

$ 10 = 2x $

$ x=5 $

Проверим, удовлетворяет ли корень ОДЗ: $ 5 \ge \frac{1}{2} $. Условие выполняется.

Ответ: $x=5$.

г)

Исходное уравнение: $ 2^{\sqrt{1+8x+2x^2}} = 8 \cdot 2^x $

ОДЗ: $ 1+8x+2x^2 \ge 0 $.

Приведем правую часть к основанию 2:

$ 8 \cdot 2^x = 2^3 \cdot 2^x = 2^{3+x} $

Уравнение принимает вид:

$ 2^{\sqrt{1+8x+2x^2}} = 2^{3+x} $

Приравняем показатели степеней:

$ \sqrt{1+8x+2x^2} = 3+x $

Для решения этого иррационального уравнения необходимо, чтобы правая часть была неотрицательной (так как квадратный корень не может быть отрицательным):

$ 3+x \ge 0 \implies x \ge -3 $

Возведем обе части в квадрат:

$ (\sqrt{1+8x+2x^2})^2 = (3+x)^2 $

$ 1+8x+2x^2 = 9+6x+x^2 $

Перенесем все члены в левую часть и приведем подобные:

$ 2x^2 - x^2 + 8x - 6x + 1 - 9 = 0 $

$ x^2 + 2x - 8 = 0 $

Решим квадратное уравнение. По теореме Виета, сумма корней равна -2, а произведение -8. Корни:

$ x_1 = 2 $, $ x_2 = -4 $

Проверим найденные корни на соответствие условию $ x \ge -3 $.

Для $ x_1=2 $: $ 2 \ge -3 $. Условие выполняется, корень подходит.

Для $ x_2=-4 $: $ -4 \ge -3 $. Условие не выполняется, это посторонний корень.

Проверим также ОДЗ $ 1+8x+2x^2 \ge 0 $ для корня $ x=2 $:

$ 1+8(2)+2(2^2) = 1+16+8 = 25 \ge 0 $. Условие выполняется.

Таким образом, единственным решением является $ x=2 $.

Ответ: $x=2$.

Помогло решение? Оставьте отзыв в комментариях ниже.

Присоединяйтесь к Телеграм-группе @gdz_by_belarus

Присоединиться

Мы подготовили для вас ответ c подробным объяснением домашего задания по алгебре за 11 класс, для упражнения номер 2.84 расположенного на странице 71 к учебнику 2020 года издания для учащихся школ и гимназий.

Теперь на нашем сайте ГДЗ.ТОП вы всегда легко и бесплатно найдёте условие с правильным ответом на вопрос «Как решить ДЗ» и «Как сделать» задание по алгебре к упражнению №2.84 (с. 71), авторов: Арефьева (Ирина Глебовна), Пирютко (Ольга Николаевна), учебного пособия издательства Народная асвета.