Номер 3.8, страница 107 - гдз по алгебре 11 класс учебник Арефьева, Пирютко

Алгебра, 11 класс Учебник, авторы: Арефьева Ирина Глебовна, Пирютко Ольга Николаевна, издательство Народная асвета, Минск, 2020, бирюзового цвета

Авторы: Арефьева И. Г., Пирютко О. Н.

Тип: Учебник

Издательство: Народная асвета

Год издания: 2020 - 2026

Цвет обложки: бирюзовый, зелёный с графиком

ISBN: 978-985-03-3165-6

Популярные ГДЗ в 11 классе

Глава 3. Логарифмическая функция. Параграф 7. Свойства логарифмов - номер 3.8, страница 107.

№3.8 (с. 107)
Условие. №3.8 (с. 107)
скриншот условия
Алгебра, 11 класс Учебник, авторы: Арефьева Ирина Глебовна, Пирютко Ольга Николаевна, издательство Народная асвета, Минск, 2020, бирюзового цвета, страница 107, номер 3.8, Условие

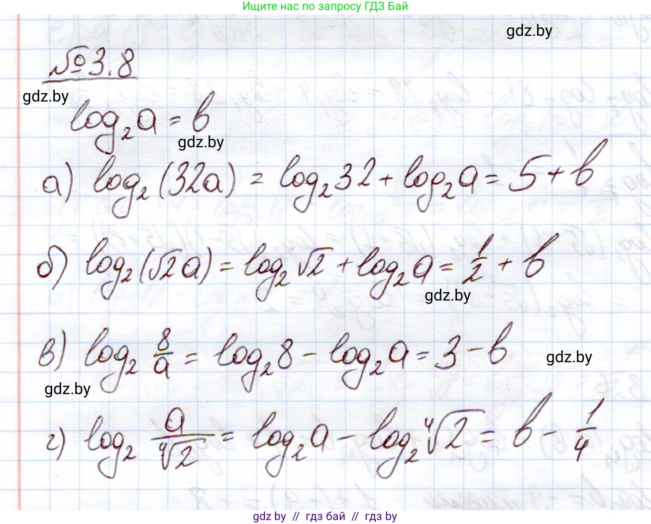
3.8. Известно, что $log_2 a = b$. Выразите через $b$ значение выражения:

а) $log_2 (32a);$

б) $log_2 (\sqrt{2a});$

в) $log_2 \frac{8}{a};$

г) $log_2 \frac{a}{\sqrt[4]{2}}.$

Решение. №3.8 (с. 107)
Алгебра, 11 класс Учебник, авторы: Арефьева Ирина Глебовна, Пирютко Ольга Николаевна, издательство Народная асвета, Минск, 2020, бирюзового цвета, страница 107, номер 3.8, Решение
Решение 2. №3.8 (с. 107)

а)

Для решения используем свойство логарифма произведения: $log_c(xy) = log_c(x) + log_c(y)$.

$log_2(32a) = log_2(32) + log_2(a)$

По условию задачи известно, что $log_2(a) = b$.

Теперь найдем значение $log_2(32)$. Поскольку $32 = 2^5$, то $log_2(32) = log_2(2^5) = 5$.

Подставим полученные значения в исходное выражение:

$log_2(32a) = 5 + b$

Ответ: $5+b$

б)

Используем свойство логарифма произведения: $log_c(xy) = log_c(x) + log_c(y)$.

$log_2(\sqrt{2}a) = log_2(\sqrt{2}) + log_2(a)$

По условию $log_2(a) = b$.

Найдем значение $log_2(\sqrt{2})$. Поскольку $\sqrt{2} = 2^{1/2}$, то $log_2(\sqrt{2}) = log_2(2^{1/2}) = \frac{1}{2}$.

Подставим известные значения в выражение:

$log_2(\sqrt{2}a) = \frac{1}{2} + b$

Ответ: $b + \frac{1}{2}$

в)

Для решения используем свойство логарифма частного: $log_c(\frac{x}{y}) = log_c(x) - log_c(y)$.

$log_2(\frac{8}{a}) = log_2(8) - log_2(a)$

По условию $log_2(a) = b$.

Найдем значение $log_2(8)$. Поскольку $8 = 2^3$, то $log_2(8) = log_2(2^3) = 3$.

Подставим известные значения в выражение:

$log_2(\frac{8}{a}) = 3 - b$

Ответ: $3-b$

г)

Используем свойство логарифма частного: $log_c(\frac{x}{y}) = log_c(x) - log_c(y)$.

$log_2(\frac{a}{4\sqrt{2}}) = log_2(a) - log_2(4\sqrt{2})$

По условию $log_2(a) = b$.

Найдем значение $log_2(4\sqrt{2})$. Для этого представим выражение $4\sqrt{2}$ в виде степени с основанием 2. Мы знаем, что $4 = 2^2$ и $\sqrt{2} = 2^{1/2}$.

Следовательно, $4\sqrt{2} = 2^2 \cdot 2^{1/2} = 2^{2 + \frac{1}{2}} = 2^{5/2}$.

Тогда $log_2(4\sqrt{2}) = log_2(2^{5/2}) = \frac{5}{2}$.

Подставим все известные значения в исходное выражение:

$log_2(\frac{a}{4\sqrt{2}}) = b - \frac{5}{2}$

Ответ: $b - \frac{5}{2}$

Помогло решение? Оставьте отзыв в комментариях ниже.

Присоединяйтесь к Телеграм-группе @gdz_by_belarus

Присоединиться

Мы подготовили для вас ответ c подробным объяснением домашего задания по алгебре за 11 класс, для упражнения номер 3.8 расположенного на странице 107 к учебнику 2020 года издания для учащихся школ и гимназий.

Теперь на нашем сайте ГДЗ.ТОП вы всегда легко и бесплатно найдёте условие с правильным ответом на вопрос «Как решить ДЗ» и «Как сделать» задание по алгебре к упражнению №3.8 (с. 107), авторов: Арефьева (Ирина Глебовна), Пирютко (Ольга Николаевна), учебного пособия издательства Народная асвета.