Номер 3.124, страница 128 - гдз по алгебре 11 класс учебник Арефьева, Пирютко

Алгебра, 11 класс Учебник, авторы: Арефьева Ирина Глебовна, Пирютко Ольга Николаевна, издательство Народная асвета, Минск, 2020, бирюзового цвета

Авторы: Арефьева И. Г., Пирютко О. Н.

Тип: Учебник

Издательство: Народная асвета

Год издания: 2020 - 2026

Цвет обложки: бирюзовый, зелёный с графиком

ISBN: 978-985-03-3165-6

Популярные ГДЗ в 11 классе

Глава 3. Логарифмическая функция. Параграф 8. Логарифмическая функция. Свойства логарифмической функции - номер 3.124, страница 128.

№3.124 (с. 128)
Условие. №3.124 (с. 128)
скриншот условия
Алгебра, 11 класс Учебник, авторы: Арефьева Ирина Глебовна, Пирютко Ольга Николаевна, издательство Народная асвета, Минск, 2020, бирюзового цвета, страница 128, номер 3.124, Условие

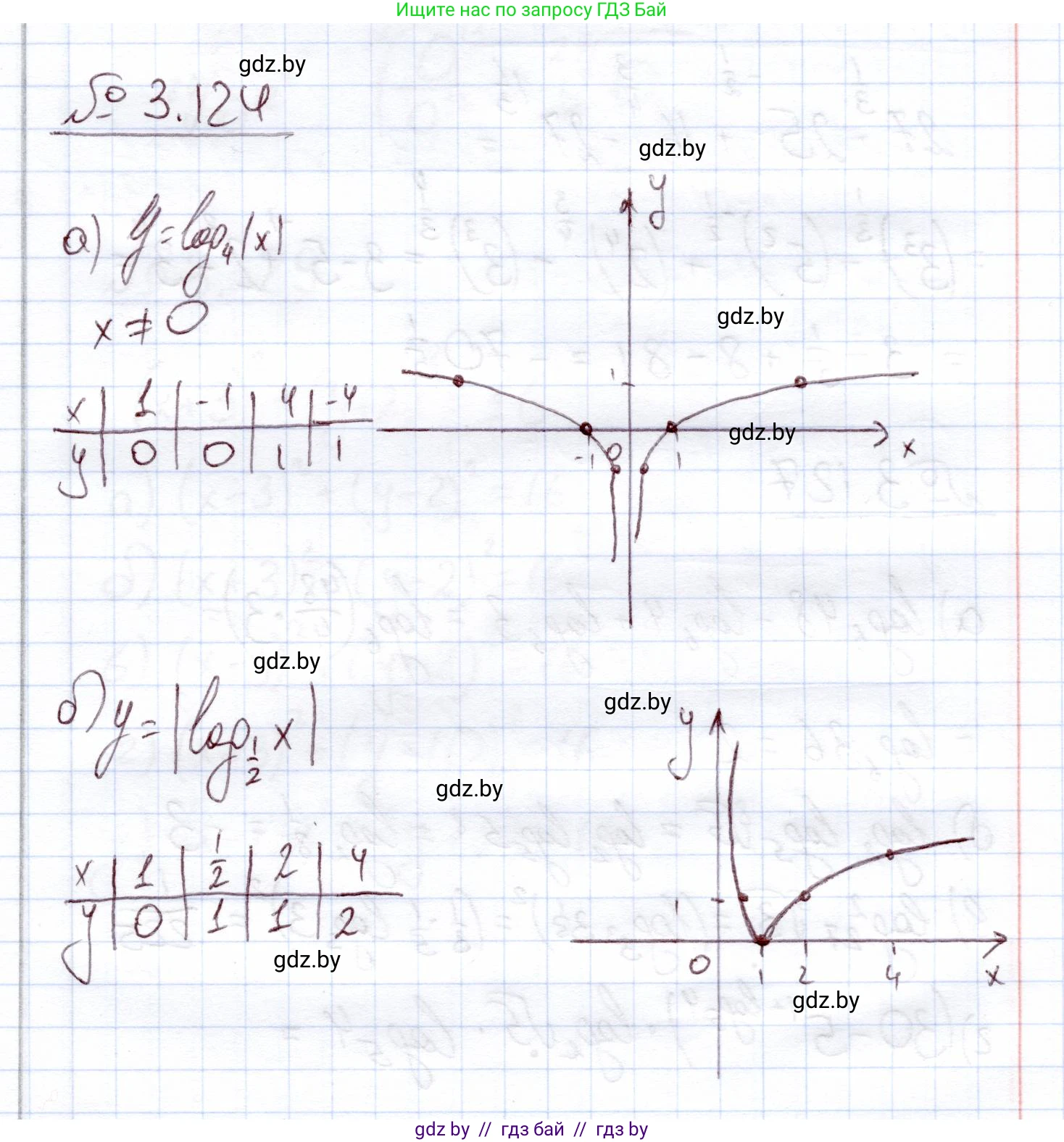
3.124*. Постройте график функции:

a) $y = \log_4 |x|;$

б) $y = \left|\log_{\frac{1}{2}} x\right|.$

Решение. №3.124 (с. 128)
Алгебра, 11 класс Учебник, авторы: Арефьева Ирина Глебовна, Пирютко Ольга Николаевна, издательство Народная асвета, Минск, 2020, бирюзового цвета, страница 128, номер 3.124, Решение
Решение 2. №3.124 (с. 128)
а)

Для построения графика функции $y = \log_4 |x|$ воспользуемся методом преобразования графиков. Построение можно разбить на следующие шаги:

1. Построим график базовой функции $y = \log_4 x$. Это стандартная логарифмическая функция. Ее свойства:

- Область определения: $x > 0$.
- Основание логарифма $4 > 1$, поэтому функция является возрастающей.
- График проходит через ключевые точки: $(1, 0)$, так как $\log_4 1 = 0$; $(4, 1)$, так как $\log_4 4 = 1$; $(1/4, -1)$, так как $\log_4 (1/4) = -1$.
- Ось $Oy$ (прямая $x=0$) является вертикальной асимптотой.

2. Теперь перейдем к функции $y = \log_4 |x|$. Эта функция является четной, поскольку $y(-x) = \log_4 |-x| = \log_4 |x| = y(x)$. График четной функции симметричен относительно оси $Oy$.

- Область определения функции: $|x| > 0$, то есть $x \neq 0$, или $x \in (-\infty; 0) \cup (0; +\infty)$.
- Для $x > 0$, имеем $|x| = x$, поэтому функция принимает вид $y = \log_4 x$. Таким образом, в правой полуплоскости ($x > 0$) искомый график совпадает с графиком функции $y = \log_4 x$.
- Для $x < 0$, мы используем свойство четности. График в левой полуплоскости ($x < 0$) получается путем симметричного отражения графика из правой полуплоскости относительно оси $Oy$. Например, точка $(4, 1)$ на правой ветви соответствует точке $(-4, 1)$ на левой, а точка $(1, 0)$ — точке $(-1, 0)$.

Итоговый график состоит из двух симметричных ветвей, расположенных в правой и левой полуплоскостях, с общей вертикальной асимптотой $x=0$.

Ответ: График функции $y = \log_4|x|$ состоит из двух частей: графика функции $y = \log_4 x$ для $x > 0$ и его симметричного отражения относительно оси $Oy$ для $x < 0$.

б)

Для построения графика функции $y = |\log_{\frac{1}{2}} x|$ также воспользуемся преобразованием графика базовой функции.

1. Сначала построим график функции $y = \log_{\frac{1}{2}} x$.

- Область определения: $x > 0$.
- Основание логарифма $a = 1/2$, и так как $0 < 1/2 < 1$, функция является убывающей.
- График проходит через ключевые точки: $(1, 0)$, так как $\log_{\frac{1}{2}} 1 = 0$; $(1/2, 1)$, так как $\log_{\frac{1}{2}} (1/2) = 1$; $(2, -1)$, так как $\log_{\frac{1}{2}} 2 = -1$; $(4, -2)$, так как $\log_{\frac{1}{2}} 4 = -2$.
- Ось $Oy$ (прямая $x=0$) является вертикальной асимптотой.

2. Теперь применим преобразование модуля ко всей функции: $y = |f(x)|$, где $f(x) = \log_{\frac{1}{2}} x$.

- Область определения функции $y = |\log_{\frac{1}{2}} x|$ та же, что и у $y = \log_{\frac{1}{2}} x$, то есть $x > 0$.
- По определению модуля, значения $y$ всегда будут неотрицательными ($y \ge 0$), и график будет расположен не ниже оси $Ox$.
- Часть графика $y = \log_{\frac{1}{2}} x$, которая находится выше или на оси $Ox$ (где $y \ge 0$), остается без изменений. Это происходит при $\log_{\frac{1}{2}} x \ge 0$. Так как основание $1/2 < 1$, это неравенство равносильно $0 < x \le (\frac{1}{2})^0 = 1$. Итак, на интервале $(0, 1]$ график $y = |\log_{\frac{1}{2}} x|$ совпадает с графиком $y = \log_{\frac{1}{2}} x$.
- Часть графика $y = \log_{\frac{1}{2}} x$, которая находится ниже оси $Ox$ (где $y < 0$), симметрично отражается относительно оси $Ox$. Это происходит при $\log_{\frac{1}{2}} x < 0$, что равносильно $x > 1$. В этом случае график строится как $y = - \log_{\frac{1}{2}} x$. Используя свойство логарифма $- \log_a b = \log_{1/a} b$, получаем $y = \log_2 x$. Итак, при $x > 1$ наш график совпадает с графиком $y = \log_2 x$.

Таким образом, итоговый график состоит из двух частей, "склеенных" в точке $(1, 0)$. Для $x \in (0, 1]$ это часть убывающего графика $y = \log_{\frac{1}{2}} x$. Для $x > 1$ это часть возрастающего графика $y = \log_2 x$. Вертикальная асимптота $x=0$ сохраняется. Ключевые точки на итоговом графике: $(1/2, 1)$, $(1, 0)$, $(2, 1)$, $(4, 2)$.

Ответ: График функции $y = |\log_{\frac{1}{2}} x|$ получается из графика $y = \log_{\frac{1}{2}} x$ следующим образом: часть графика, лежащая над осью $Ox$ или на ней (для $0 < x \le 1$), остается без изменений, а часть, лежащая под осью $Ox$ (для $x > 1$), симметрично отражается относительно оси $Ox$.

Помогло решение? Оставьте отзыв в комментариях ниже.

Присоединяйтесь к Телеграм-группе @gdz_by_belarus

Присоединиться

Мы подготовили для вас ответ c подробным объяснением домашего задания по алгебре за 11 класс, для упражнения номер 3.124 расположенного на странице 128 к учебнику 2020 года издания для учащихся школ и гимназий.

Теперь на нашем сайте ГДЗ.ТОП вы всегда легко и бесплатно найдёте условие с правильным ответом на вопрос «Как решить ДЗ» и «Как сделать» задание по алгебре к упражнению №3.124 (с. 128), авторов: Арефьева (Ирина Глебовна), Пирютко (Ольга Николаевна), учебного пособия издательства Народная асвета.